
作者:火焰神
前言
随着5G时代到来,智能手机、平板电脑已是老百姓的日常必备掌中宝,强大的功能极大地方便了人们的生活和交互。其中,拍照功能必不可少,该功能也是各大手机厂商竞相追逐的PK项。后置四摄、一亿相素、大光圈、逆光拍照、微云台、全景微距、OIS防抖、柔光自拍、照亮你的美......这些宣传关键字大家已经都耳熟能详。可是有多少人知道一张好照片背后的功臣呢?本篇,小为为你揭秘!

闪光灯
要实现好的拍摄效果,除了要有强大的SENSOR和算法外,还需要一个最佳配角——闪光灯。后摄双色温闪光灯、前置补光灯......正是有了它们的加持,才会实现更好的光影效果,才能在伸手不见五指的黑夜照亮你的美。
闪光灯类别

单闪

双闪

前置闪光
闪光灯一般分为单闪和双闪,一般直接贴片在PCBA主板上或者贴在FPC上通过BTB、弹片形式与PCBA相连。
闪光灯基本参数包括光强、光通量、色温、正向电压、正向电流等。其中闪光灯驱动IC端最受关注的是VF(正向电压)和IF(正向电流),VF和IF对应曲线关系如下图:

VF一般要以IF在某个电流条件下来界定,如图该灯VF@IF参数:3.13V@1A。灯的VF一般分BIN,根据不同的BIN等级代表不同的VF范围,如下图:

闪光灯驱动IC
闪光灯选定之后,需要选择与之匹配的闪光灯驱动IC,主流的闪光灯驱动IC按升压方式分为两种:Charge Pump(电容电荷泵升压)、Boost(电感升压)。
为什么闪光灯驱动IC需要升压呢?其实这是因为闪光灯电流通常在1A以上,在1A的IF下,灯的VF一般达到3.4V以上,加之锂电池电压通常可低至3.4V以及闪光灯驱动内部开关管及电流源的压降,直驱时无法达到理想的1A状态,所以在VIN较低时就需要升压电路将灯阳极电压提高。
艾为两种闪光灯驱动外围电路比较(AW3641E & AW3644):

Charge Pump

Boost
优劣势对比如下:

从上表可以看出:
驱动电流方面,BOOST可以到1.5A甚至2A,而Charge Pump型一般只能做到1A以下。效率方面,Boost型也是明显高于Charge Pump型。
除了驱动能力强之外,对电流的控制能力也是Boost明显占优。由于Boost型是I²C控制,可以根据环境光强随时控制改变闪光电流大小,AW3644最低档可以低至11.35mA@Flash mode,128级的调光等级,每级11.72mA的调光步进更能适应各种亮度环境下的拍摄。
Boost型闪光灯驱动优势

以AW3644为例


关键PIN脚介绍:
·HWEN:硬件使能脚,GPIO控制,关断状态功耗低至小于0.1uA;
·TORCH/TEMP:硬件手电筒使能脚与NTC复用引脚,GPIO控制,当内部使能寄存器打开时进入手电筒模式; 当用于TEMP模式时,通过内部电流型NTC来检测,当超出阀值时则进入STANBY;不使用该功能时可以NC;
·STROBE:硬件闪光使能脚,引脚可接GPIO或者PWM口,通常用于IR模式。IR模式时寄存器使能STROBE TYPE并配置到IR模式,通过外部PWM口信号实现连续闪光,IR模式下仍然遵循FLASH电流和TIME OUT保护时间配置;
·TX:射频信号同步脚。使用该功能时,当射频处于工作时隙,闪光灯驱动会自动降低闪光电流至TORCH电流,以防止系统过载拉跨系统电源,当TX信号 回归低电平时,电流自动回归到FLASH电流。不使用TX功能时,可以直接NC。
闪光灯驱动模式控制:

☆FLASH:闪光灯模式,关键配置项:闪光电流、闪光保护时间、LED使能、FSW(2M/4M)、限流保护(1.9A/2.8A)、IVFM、UVLO
☆TORCH:手电筒模式,关键配置项:TORCH电流、TORCH RAMP、LED使能
☆IR:红外模式,关键配置项:STROBE使能、STROBE触发方式、FLASH电流、LED使能、PWM频率、PWM占空比
☆STANDBY:待机模式
功能框图:

FLASH模式工作过程
开始,Boost环路不工作,Vout=0V;
配置寄存器进入亮灯 mode,系统会先经历线性充电过程,将Boost的上管PMOS配置为电流源形式,输出线性电流200mA,为OUT电容充电到Vin;
在充电过程中,当Vout<2.2V时,电流源关闭。当Vout>2.2V后,LED电流源被使能,LED电流源的控制环路开始建立工作点,此时LED电流源输出电流为目标值的1/64,但不会开始电流的逐级软启动;
当OUT的电压上升到Vin,Boost的上管PMOS由电流源方式切换为开关常开状态,即pass mode;
电流源开始软启动,Vled电压也会逐渐增加,压差>400mV时,工作在pass mode;
如果LED电流没有达到目标值之前,Vout-Vled<400mV,因此会自动切换至Boost mode,Vout开始上升,Boost的环路会保持Vout-Vled=400mV,OUT与LED电压同步上升,直到LED电流达到目标值。
AW3644除了可以用于闪光、手电筒场景,还能用于红外灯驱动、IR眼动识别,驱动VCSEL测距等功能,可广泛用于ARVR、门锁、扫地机器人等市场领域。
Charge Pump型闪光灯驱动优势

以AW3641E为例

☆控制简单,只需要GPIO控制就可以进入TORCH模式或FLASH模式;
☆ 选型电流要求不高,支持1A以内的闪光灯,控制简单,成本较低;
☆同时集成一线脉冲控制功能,通过不同的上升沿脉冲个数进入不同的电流档位以及有Timeout时间两档可调(220ms/1.2s),相较市面其他Charg Pump型(不能配置电流档位),这是非常大的优势;
☆ EN高,FLASH高,Flash模式 EN高,FLASH低,Torch模式;
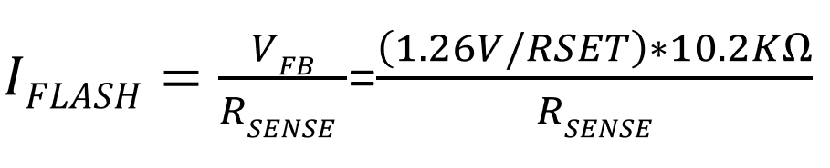
☆电流计算公式:


☆一线脉冲控制,电流8档可调,Timeout时间2档可调,方便灵活。
FAQ环节
Q
闪光灯驱动的BOOST功率电感如何选型?
A: 因为其是独立1.5A的驱动力,2路便接近3A,建议选用Isat>3.5A的电感,2520以上封装,感值1uH。
Q
如果不用TORCH/TEMP、STROBE、TX功能,这三个PIN脚如何处理?
A: 可以直接NC。
Q
如果闪光灯驱动用着用着不亮了,如何快速定位分析?
A: 首先检查IC各管脚二极管特性是否异常;其次,判断闪光灯是否有松动造成LED脚开路,可以通过读取0X0A/0X0B两个错误状态寄存器的值来判断原因;检查 LED灯珠是否损坏;检测电感/外围电容是否异常,可以外围器件交叉验证。
Q
VIN是否需要串磁珠和电容去EMI?
A: 一般不需要,因为闪光灯是ms级,虽然存在EMI,但是只在工作的几百ms内,一般不会对板上构成影响。Torch模式虽然常亮,但由于电流在300mA左右,不需要升压即可驱动,没有EMI风险。
Q
VIN电压推荐范围?
A: VIN-0.4V-VF是PASS MODE和BOOST MODE的切换电压点,灯的VF在不同电流下一般落在3.2V-3.8V之间,加上VIN管脚自身的耐压,所以推荐VIN的电压3.4V以上,5.5V以下最佳。
Q
VIN电容选取多大合适?
A: 由于系统是瞬间大电流,防止电压DROP过大,一般推荐10uF~100uF之间。
Q
如果只有一颗灯,LED1/LED2能否并在一起?
A: 可以并一起。内部电流源架构,由于1个通道的电流能力是有限的,有时候只有一个LED灯但为了加强驱动力,是可以并一起的,但对应的电流配置时需要配置成LED1=LED2,且ILED=1/2*目标电流值。
Q
如果只有一颗灯,LED2是否可以NC?
A: 可以,因为软件可以配置为不使能。
Q
LED阳极是否可以并电容?
A: 可以,但要注意限定容值。艾为闪光灯驱动具有LED短路保护功能,在LED Driver电流开启后,若LED电压在256us内不能达到0.5V,则认为LED短路,典型情况下LED最小的Torch电流5.4mA,如果容值大于2.7uF,可能造成LED短路的判断;另外,如果在LED端加入电容,相当于在环路上额外加入一个大的极点,对环路稳定性有较大影响,所以不建议加超过10nF以上的电容。
Q
LED阳极是否需要并TVS?
A: 可以结合实际需要,如果闪光灯的结构密封性不足容易引入静电,可以并上TVS,建议TVS钳位电压低于9V。
扫描下方二维码
获取更多FAQ内容

联系我们
&
更多资讯
详细了解更多“艾为产品”
请拨
021-54271166
或发送邮件至
Sales@awinic.com
进行咨询
345

被折叠的 条评论
为什么被折叠?



