
作者:保罗
昨天,小为推出了艾为方向盘智能交互解决方案(戳此回顾:从特斯拉Yoke方向盘看方向盘智能交互解决方案),众多真艾粉表示没看过瘾。为了响应大家的呼声,技术宅小为重出“江湖”。今天,小为要跟大家好好唠唠方向盘智能交互方案背后的技术原理:智能表面解决方案与LED驱动方案背后的技术原理。
核“芯”内容导读
1.智能表面解决方案
·触摸按键与压力传感器实现原理
·电阻式传感器实现原理
·Haptic(触觉反馈)原理
2.LED驱动解决方案
·PWM调光
·调节的恒流源调光
01 智能表面解决方案
艾为智能表面打造了一个包含“从交互输入(压力/触摸)到反馈输出(振动)”的一体化人机交互解决方案,覆盖触摸按键、压力检测、离手检测等技术,主要适用于汽车方向盘、汽车内饰以及其他可代替传统机械按键所形成的人际交互应用场景。
触摸按键与压力传感器实现原理
☆触摸按键实现原理

自容触摸按键一般通过测量触摸传感器与电路地之间的电容改变量实现,触摸传感器通常为PCB焊盘或者弹簧、导电海绵等。
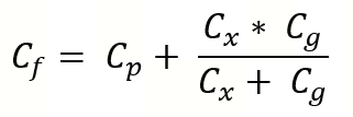
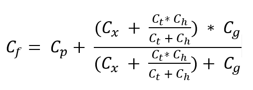
当没有人体接触触摸传感器时,触摸芯片所检测到的电容值Cf为:

Cf:触摸芯片最终检测到的外部电容
Cp:触摸传感器与电路地之间的寄生电容
Cx:触摸传感器与大地(地球)之间的等效电容
Cg:大地(地球)与电路地之间的等效电容
人体在触摸应用中可以被等效为一个电阻与电容串联,当人手靠近或者接触触摸按键时,相当于在触摸传感器与大地(地球)之间并联了一个人体的等效电路模型,当触摸传感器表面有介质时,同时增加一个等效电容Ct,从而改变了触摸芯片最终检测到的等效电容Cf,触发按键按下事件。

Ct:手指与触摸焊盘之间的等效电容(与触摸传感器与手指之间距离与材料的电介质常数相关,此电容常见为设备的外壳)

触摸芯片内部通过AFE电路驱动触摸传感器实现电容检测,并使用高精度ADC进行数模转换,通过芯片内置的DSP进行一系列触摸信号处理算法后得到外部的原始值、变化值与其他中断、状态等数字信号。
触摸驱动程序通过比较外部电容变化值与用户预设的触发阈值进行事件判断,并通知用户程序何时发生触发事件。

☆压力传感器采用电容检测实现原理:

压力检测实现方案的结构包括:压力传导机构 + 可轻微形变的金属薄片 + PCB上的触摸焊盘
可轻微形变的金属薄片整体盖在触摸焊盘之上,但是与之不接触,二者之间形成了一个约几十pF的等效电容,极板之间的介质为空气。电容值的计算公式如下:

C: 电容值
S: 两极板之间正对面积
εr:电介常数
k:静电力常量
d: 两极板之间距离
当可微形变的金属薄片由于压力发生形变时,改变的参数只有d(极板间距离),且电容值的大小与两极板之间的距离成反比:

所以当手指的压力通过压力传导机构传导至压力传感器表面,让压力传感器产生轻微形变,减少压力传感器表面与底部触摸铜箔间的距离,从而增大二者之间形成的电容值,使用awinic接近检测芯片AW93208QNR的互容检测方式,可精准检测金属薄片与触摸铜箔之间形成的电容值,从而判断当前压力大小。
AW93208QNR作为一款利用电容检测原理实现接近与触摸检测的芯片不仅可以实现汽车方向盘上的单击、滑条与压力检测功能,也支持其他应用方向上的2D触摸面板设计。
电阻式传感器实现原理
压力检测的另一种实现方式是采用惠斯通电桥作为压力传感器并配合专用的驱动芯片使用。
惠斯通电桥根据可变电阻的数量分为单臂式、双臂式和全桥式,本文中只介绍单臂式的基本原理。

如上图所示,惠斯通电桥由四个电阻组成,R1、R3为压力敏感电阻,R1、R3电阻值根据其所发生的形变而改变。当有压力的时候,R1、R3增大,对应的V+、V-差分电压变大,艾为AW86803QNR-Q1采集微小的电压信号然后放大、处理解析出按键。
Haptic(触觉反馈)原理
智能硬件系统的升级及其软件功能的完善,加速了触觉反馈技术的不断革新。反馈不再仅仅停留在有限的振动提醒层面,而是让消费者切身感受到交互信息带来的逼真振感和交互乐趣,通过刺激触觉去加深用户与交互内容的情感交流和人性化的体验乐趣。
☆触觉的生理特征
触觉是人体发展最早、最基本的感觉,也是人体分布最广、最复杂的感觉系统,是一切神经通路的基础。这主要与它遍布身体的各个部位,从发展之初就与神经系统是一体的有很大关系,触觉的敏锐度会影响大脑辨识能力、身体的灵活及情绪的好坏。

为了通过触觉体验来建立物理隐喻,我们可以利用强度、锐度和粒度的相互作用向用户传达信息。
强度:刺激的强度及力度大小,振幅越大,刺激感知越强烈。
粒度:刺激的频率及时间间隔,粒度越小,刺激感知越迅速。
锐度:刺激的柔性与刚性,锐度越高,刺激感知越清晰。

☆触觉反馈技术是什么?
触觉反馈技术 (Haptics or Haptic Feedback) 就是通过作用力、振动等一系列动作为使用者再现触感,通过触觉体验传递更具有价值且更逼真的信息。
▼ Haptic Vibration & Haptic FeedBack▼

☆触觉反馈系统构成
一个成熟的Haptic系统由三部分组成:
·高性能的Haptic Driver IC
·实现独立振动的振动器(如LRA)
·实现自定义功能的Haptic接口

线性马达(Linear Resonant Actuator,简称LRA)触觉振动器是一个由弹簧、质量块和线圈组成的弹簧系统。弹簧将线圈悬浮在线性马达内部,当线圈中有电流流过时,线圈会产生磁场。线圈和带有磁性的质量块相连,当流过线圈的电流改变时,磁场的方向和强弱也会改变,质量块就会在变化的磁场中上下移动。这种运动被人们感知就会产生触觉效果。
触觉反馈技术中另一个重要组成部分就是线性马达驱动芯片。线性马达驱动芯片内部数字接+主控+脉宽调制信号生成器组成,部分线性马达需要芯片内部具有Boost电路。如下图所示为艾为AW86907QNR-Q1的内部基本结构框图:

主控模块处理主机发送过来的马达驱动波形,通过脉宽调制信号生成器来驱动H桥模块,从而使线性马达产生相应的振动状态。
02 LED驱动解决方案
LED属于电流驱动型器件,当前主要的LED调光方式分为两种:脉宽调制(PWM)调光与可调节的恒流源调光。

☆PWM调光
以固定周期不同占空比的数字信号驱动晶体管基极或MOS管栅极,实现其周期内的不同导通时间,从而实现对LED发光强度的控制。

PWM调光的主要优势在于调节精度高、控制方便,由于PWM调光的过程中LED只有100%亮与关闭两种状态,所以在LED驱动过程中不会受到LED驱动电流与LED发光强度的比例非线性问题。
PWM调光同样存在着缺陷:LED实际上是以较快的频率(1KHz – 10KHz之间)闪烁,采用摄像设备对灯光进行拍摄,如果摄像设备的帧率非LED驱动频率的整数倍,则拍摄出的效果可能会存在LED灯光的闪烁。可调恒流源驱动则不存在这个问题。
☆调节的恒流源调光
采用可调节的恒定电流驱动LED,通过改变恒流源的驱动电流大小改变LED的发光强度。

这种调光方式还有一个显著的优势——减小系统EMI,由于无需频繁开通关断外部MOS,从而减小MOS的开通与关断所带来的电源噪声。
目前,在汽车HMI越来越重要的市场环境下,方向盘智能交互技术的进步让汽车变得更加舒适和智能。艾为也将继续完善相关解决方案,以丰富的产品组合加强与汽车客户的技术合作,用更高质、更创新的产品帮助汽车客户实现技术革新,抢占市场先机。
艾为方向盘智能交互方案技术原理揭秘
345

被折叠的 条评论
为什么被折叠?



