目录
一、什么是支持向量机(svm)
支持向量机(Support Vector Machine, SVM)是一种常用的监督学习算法,主要用于二分类问题,但也可以扩展到多分类问题。它可以通过在特征空间中找到一个最优的超平面来进行分类,同时最大化超平面与最近的数据点之间的间隔。
二、推导过程
现在这里有这么一堆点:我们要想办法用一条线把它们分隔开,使线的一边是蓝色点,另一边是绿色点,线该怎么划呢?

我们可以这样随意的画出几条这样的线来:

但是,这些线看起来都离点的距离太近了,划分的效果不是很明显,例如:如果我们现在增加这样一个绿点,它就会被划分到线的另一边去,被视为蓝点一类了,可是根据我们的直观感受,这个新增的绿点应该属于下面这一大群绿点一类。
所以我们现在需要想象画出这样一条线:它能将两类数据正确划分并且间隔最大
于是我们就得到了这个:

其中超平面方程为:
标签问题:在SVM中我们不用0和1来区分,使用+1和-1来区分,这样会更严格。假设超平面可以将训练的样本正确分类,那么对于任意样本:如果y=+1,则称为正例,y= -1,则称为负例。
现在我们就要确定一个函数可以将任意点进行划分:

整合一下我们可以得到:

点到面的距离公式是:
拓展一下,我们就可以得到点到超平面的距离:


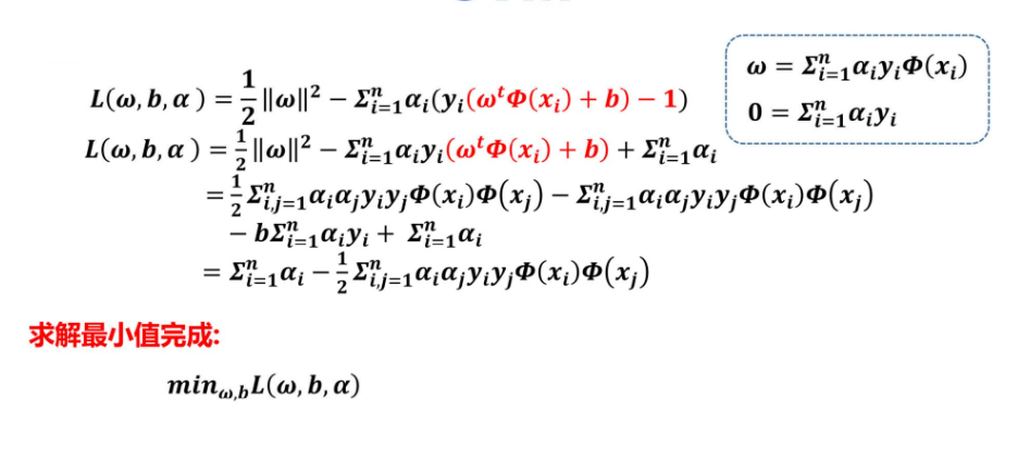
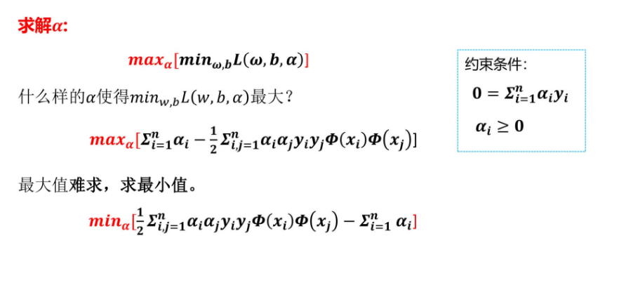
如何找到最优的超平面呢?


超平面可视化:

求解带有约束条件的极值可使用拉格朗日乘子法:
详情可见:【机器学习】拉格朗日乘子法求解最优化问题






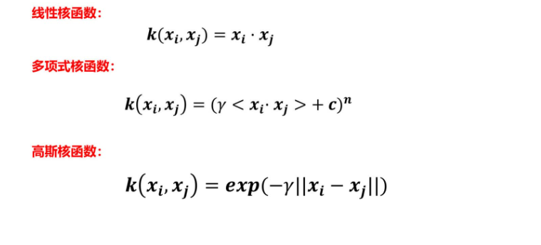
现在我们再来考虑线性不可分的情况:



常用的核函数有以下几个:

关于高斯核函数中γ值的分析:

三、svm的优缺点:
优点:
-
高维数据处理能力: SVM 在高维特征空间中表现出色,适用于处理具有大量特征的数据,如文本分类、图像分类等。
-
泛化能力强: SVM 在训练集之外的数据上通常有很好的泛化性能,能够有效地处理小样本问题。
-
支持非线性分类: 通过使用不同的核函数(如多项式核、高斯核等),SVM 可以处理非线性分类问题,将数据映射到更高维度的空间中进行分类。
-
最大化间隔: SVM 通过最大化超平面与支持向量之间的间隔来选择最佳分类边界,这有助于降低过拟合风险。
-
鲁棒性: SVM 对于异常值的影响较小,因为它主要依赖于支持向量,而不是整个数据集。
-
多类别分类: SVM 可以直接用于多类别分类问题,通过一对一(One-vs-One)或一对其余(One-vs-Rest)策略实现。
缺点:
-
计算复杂性: 在大型数据集上,SVM 的训练时间和内存消耗可能很高,特别是在使用复杂核函数时。
-
参数调优困难: SVM 有一些超参数需要调整,如正则化参数 C 和核函数的选择,选择合适的参数值需要经验或者使用交叉验证。
-
不适合非常大规模的数据: 当数据规模非常大时,SVM 的计算和存储要求可能会成为问题。
-
对非平衡数据敏感: 如果不同类别的样本数量差异很大,SVM 可能会受到不平衡数据分布的影响,需要额外的处理来解决这个问题。
-
黑盒模型: SVM 通常被认为是黑盒模型,难以解释为什么它做出了特定的预测。
总的来说,SVM 是一个强大的机器学习算法,特别适用于高维、小样本、非线性分类问题。然而,在应用时需要考虑计算复杂性、参数调优和数据规模等因素,并根据具体情况选择是否使用 SVM。
本文介绍了支持向量机(SVM)的基本概念,包括其在分类中的工作原理、推导过程,以及高维数据处理、非线性分类等优点,同时讨论了计算复杂性、参数调优等缺点。
9149

被折叠的 条评论
为什么被折叠?



