1.1 自然语言处理模型
在自然语言处理中,语言模型是一个非常重要的模型,它用于计算“一句话是合理的”的概率。例如,P(我喜欢吃饭)>P(我你哦)。“我喜欢吃饭”为常见句。“我你哦”作为病句,几乎不会出现,其概率应该如何计算呢?“我喜欢吃饭”对应于4个词,w_1=“我”,w_2=“喜欢”,w_3=“吃”,w_4=“饭”,概率记为 P(w_1 w_2 w_3 w_4),即顺序排列的一系列词所对应的联合概率密度分布。需要注意的是,概率和词的顺序有关,即“饭喜欢吃我”对应于概率 P(w_4 w_2 w_3 w_1) 且 P(w_1 w_2 w_3 w_4)≠P(w_4 w_2 w_3 w_1)。P(w_1 w_2 w_3 w_4) 可用贝叶斯定理进行化简,如下式所示。
P(w_1 w_2 w_3 w_4 )=P(w_1 )×P(w_2│w_1 )×P(〖w_3 |w〗_1 w_2 )×P(w_4│w_1 w_2 w_3 )
其中:P(w_1) 表示词 w_1 出现的概率;P(w_2 |w_1) 表示第一个词为 w_1 时,第二个词为 w_2 的概率;P(〖w_3 |w〗_1 w_2) 表示前两个词为 w_1 和 w_2 时,下一个词为 w_3 的概率……依此类推。
不失一般性地,对于由 n 个词构成的句子,语言模型可以写成如下形式。

上式在估计概率时有一个明显的缺陷,就是运算量过大。例如,中文有200000个常见词,那么在估计 P(〖w_3 |w〗_1 w_2) 时,w_1、w_2、w_3 各有200000种可能性,因此,需要估计 200000^3 个概率(这几乎是一项不可能完成的工作)。而且,随着句子中词数的增加,P(w_i |w_1⋯w_(i-1) ) 所对应的概率数量将以指数级增长。
为了简化问题,假设一个词的概率仅由其前面的 n-1 个词决定,这种模型称为n-gram模型(n-1 个前面的词和待预测词本身)。假设一个词出现的概率仅受其前一个词的影响,此时模型称为2-gram模型,公式如下。
P(w_1 w_2 w_3 w_4 )=P(w_1)×P(w_2 |w_1)×P(w_3 |w_2)×P(w_4 |w_3)
不失一般性地,2-gram可以写成如下形式。
P(w_1 w_2⋯w_n )=∏_(i=1)^n▒P(w_i |w_(i-1) )
特别地,P(w_1 |w_0 )=P(w_1 )。此时,待估计的概率有 200000^2 个,且不受句子长度的影响,n-gram语言模型具备了可操作性。
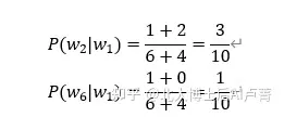
那么,概率该如何计算呢?类似于朴素贝叶斯算法,通过数据统计,将频率值作为概率的估计值。例如,估计2-gram模型的相关参数,语料中有以下4句话。

w_1 一共出现了4次,w_2 紧接着 w_1 出现的次数为2次,因此
P(w_2│w_1 )=2/4
同理,可得 P(w_3│w_1 )=1/4。因为在语料中 w_6 从未紧接着 w_1 出现,所以 P(w_6│w_1 )=0。
将语言模型的概率写成公式,具体如下。
P(w_2│w_1 )=(count(〖w_2;w〗_1))/(∑_w▒〖count(w;w_1)〗)
其中,count(w;w_1) 表示 w_1 后面为 w 的次数,∑_w▒ 表示遍历所有的 w_1 后面的那个词。
P(w_6│w_1 )=0 真的准确吗?不一定,很可能因为数据量不够或数据选择有偏差而导致计算错误。由此可知,在直接使用频率作为概率进行估计时,如果有些小概率情况没有在语料中出现,其概率就会直接被计算为0。为了避免出现这个问题,可以使用平滑法,具体如下。
P(w_2│w_1 )=(δ+count(〖w_2;w〗_1))/(δV+∑_w▒〖count(w;w_1)〗)
其中,δ 是人为设置的超参数,V 为词表中的总词数。
用平滑法重新估计概率。因为在本例的语料库中一个有6个词,所以 V=6。将 δ 设为1,有

本节讲解了自然语言处理中语言模型的作用和计算方式。需要注意的是,在真实的自然语言中,n-gram算法有一定的局限性。例如,在“我喜欢吃苹果,它酸甜、营养、解渴”这句话中,决定“解渴”的词并不是它前面的“营养”“酸甜”“它”,而是“苹果”。这就是自然语言处理中的长距离依赖问题。
n-gram模型为了解决长距离依赖问题,只能增大 n 的值,但这会给概率估计造成困难。在n-gram语言模型中,通常取 n=2(n=3 就到达极限了)。
统计语言模型的一个缺点是,缺乏对语义信息的利用。在使用概率进行统计时,词之间是完全独立的。例如,P(西瓜|吃) 和 P(香瓜|吃) 的计算是完全独立的,概率估计无法利用“西瓜”和“香瓜”这两个词的相似性。不过,尽管在一些场景中使用n-gram算法时效果会打折扣,但它仍然是一个可以落地的方法,且实践证明,它的精度损失在可接受范围内。
本节介绍的语言模型是从统计学的角度实现的,虽然简单,但效果有限。接下来,我们将从机器学习的角度讨论如何构建语言模型。
1.2 one-hot编码和embedding技术
语言模型的核心是通过前词预测后词出现的概率,这在机器学习中是一个典型的多分类问题。假设词表中有 V 个词:输入词可以使用one-hot方式进行编码,即每个输入词对应于一个 V 维向量,输入词所对应的向量串联起来就可以作为输入特征;输出也是一个 V 维向量。
例如,使用3-gram模型预测 P(w_3 |w_1 w_2),网络结构如图10-1所示。输入为 2V 维的向量(其中,一个 V 维表示词 w_1,另一个 V 维表示词 w_2),它们使用全连接的方式与输出相连。输出为 V 维向量,表示一共要预测 V 个词的概率。由于输入为 2V 维,输出为 V 维,输入和输出采用全连接方式,因此,一共需要训练 2V^2 个参数。与使用统计方法进行概率估计需要计算 V^3 个概率相比,参数数量下降到原来的 2/V。
参数数量下降的原因是:在使用统计方法时,P(w_3 |w_1 w_2) 和 P(w_3 |w_1 w_4) 的计算毫无关系;在使用神经网络预测概率时,共同的词 w_1 所使用的one-hot编码及其所连接的输出层参数是相同的,因此,可以认为 P(w_3 |w_1 w_2) 和 P(w_3 |w_1 w_4) 共享了一部分参数,而这将使参数的数量减少。但是,对于“西瓜”和“香瓜”这两个词,由于它们对应于不同的one-hot编码,所以模型无法体现它们的语义相似性。
现在,2V^2 的参数量依然很大,需要继续简化(可以从词的表示形式着手)。one-hot主要有以下缺陷。
向量过于稀疏,每个词仅有一位非0。当词的数量较多时,会造成存储空间的浪费。
向量没有语义,所有输入词之间的向量差异都是一样的。

图10-1
因此,可以使用一种稠密的方法来代替one-hot。例如,使用128维的稠密向量表示一个词,这个向量叫作embedding。此时,采用上述神经网络结构,用3-gram模型进行预测,全连接参数的数量为 2×128×V 个。一般来说,embedding需要通过训练得到,因此这里一共有 128×V 个参数。模型结构如图10-2所示。

图10-2
3-gram模型的语义表达能力有限,但如果使用更长的模型,那么模型参数的数量会相应增加。例如,使用n-gram模型,全连接参数的数量为 (n-1)×128×V 个,参数的数量会随 n 的增加成线性增加,当 n 的值较大时也会面临参数数量过多的问题,使模型在长序列的语境中能力受限。
为了消除词数增加带来的参数数量增加问题,可以将输入词所对应的向量按位相加,得到一个128维的向量(将其作为输入),输出为 V 维的向量,网络结构如图10-3所示。

图10-3
此时,无论输入词的数量有多少,它们所对应的向量都会相加,最终参与全连接的输入向量都为128维,全连接参数的数量为 128×V 个,与输入的词的个数无关。这样做的缺点是忽略了词的顺序,例如 w_1 w_2 和 w_2 w_1 所对应的向量的和是一样的。因此,该方法在局部是词袋模型。在大多数情况下,适当打乱词的顺序不会严重影响语义,例如“就算我按不序顺话说你能看也懂”。
在使用3-gram模型进行预测时,对于“我 喜欢 猫 温顺 可爱”,如果用“我”和“喜欢”这两个词对“猫”进行预测,就会漏掉一部分有用的信息(“猫”后面出现的“温顺”“可爱”等词对“猫”的预测有帮助)。因此,n-gram模型在预测时只能利用上文,无法利用下文,缺乏对信息的有效利用。现在,我们对n-gram模型进行改造,不仅使用上文中的词,也使下文中的词,对目标词进行预测,具体如下。

“猫”称为中心词。用于预测中心词的词,例如“我”“喜欢”“温顺”“可爱”,称为上下文。上下文考虑的范围称为窗口长度(Window Size),本例的窗口长度为2(中心词的前面有2个词,后面有2个词)。模型如图10-4所示。

图10-4

模型的参数仍然使用梯度下降法进行训练,在训练时需要对模型进行改造(将在10.3节专门讲解)。每个词所对应的词向量(〖embedding〗_1~〖embedding〗_V)是通过训练得到的。
使用上述模型,除了能对中心词进行预测,还能通过模型训练得到每个词所对应的向量。上述模型称为Word2vec。在实际应用中,使用模型进行预测的情况不多,反而是训练出来的 〖embedding〗_1~〖embedding〗_V 大放异彩,用途广泛。
在Word2vec中,用周边词预测中心词的模式称为CBOW(Continuous Bag of Words)。除了CBOW模式,还可以用中心词分别预测上下文中的词,该模式称为Skip-gram。
在Skip-gram模式中,一个句子将变成多个训练样本,每个训练样本用于预测一个周边词(模型的输入为一个词)。例如,当“我 喜欢 猫 温顺 可爱”的窗口长度为2(考虑前一个词和后一个词)时,对应的训练样本为以下4个,模型如图10-5所示。
猫→我
猫→喜欢
猫→温顺
猫→可爱

图10-5
Skip-gram模式和CBOW模式有什么区别呢?仍然以“我 喜欢 猫 温顺 可爱”为例进行分析。
在CBOW模式中,“我”“喜欢”“温顺”“可爱”都用来预测“猫”。如果使用误差反向更新这4个词的embedding,那么这4个词被误差调整的力度是相同的。就像一位老师(预测“猫”)同时给4个学生(4个输入词)讲课,每个学生接收的信息是相同的。
在Skip-gram模式中,使用“猫”分别预测目标词“我”“喜欢”“温顺”“可爱”,从而对输入词“猫”的embedding进行调整。可见,Skip-gram是一个细粒度的学习方法(就像请4位老师分别对4门功课进行定制教学)。不过,与CBOW相比,Skip-gram的训练次数较多,花费的时间较长。
那么,Word2vec是监督模型还是非监督模型呢?Word2vec模型作为一个分类模型,是一个典型的监督模型。但是,Word2vec不需要标注语料,只要拿到正常的语料数据(例如新闻、短句等)就可以生成训练样本,训练样本在某种程度上是海量的且无须人工标注。正因为这个特点,Word2vec具备监督学习和无监督学习的优点,在企业中得到了广泛的应用。
1.3 哈夫曼树和负采样
1.3.1 哈夫曼树
训练Word2vec模型是一个典型的多分类任务,类别数为词的总数 V。在中文中,常用的词有约20万个,因此,W 将是一个异常庞大的矩阵。例如,词的embedding为16维,词表中词的总数为10万个,那么 W 共有16万个参数,在进行前向运算和反向更新参数时运算量极大(每次迭代都要对16万个参数进行更新)。如此大的运算量在实际训练中几乎是不可能完成的。
为了降低运算量,可将多分类任务通过哈夫曼(Huffman)树转换成一系列二分类任务。哈夫曼树是一棵二叉树,每个词在树上的位置由它的词频决定,高频词在浅层,低频词在深层。根据词频构建哈夫曼树是一个非常成熟的算法,感兴趣的读者可以查阅相关资料。哈夫曼树和Word2vec模型结合的一个示例,如图10-6所示。

图10-6
可以看出,哈夫曼树取代了拥有海量参数的全连接矩阵 W。在哈夫曼树中,每个非叶子节点对应于一个逻辑回归(二分类),s 对应于向上侧子树(右子树)走的概率,1-s 对应于向下侧子树(左子树)走的概率。
在使用哈夫曼树进行指定词的概率预测时,从根节点出发,在每个节点计算向左走或向右走的概率。将这些通过计算得到的概率相乘,就能得到最终的预测概率。

因为高频词位于树的浅层,所以预测时需要游走的非叶子节点较少,对应的运算量较小,同时,因为概率项的乘积较小,所以最终的预测概率较大;低频词位于树的深层,对应的计算量较大,最终的预测概率较小。
在训练阶段,当目标词为“我”时,将 Loss=-lnP(我|context) 作为损失函数,最大化 P(我|context) 等价于最小化 Loss,即

可以看出,在训练时只会更新对应的参数 w_1 和 w_2,与训练全连接矩阵 W 相比,运算量减少了。除了需要训练 w_1 和 w_2,还需要训练 context 所对应的词向量,公式如下。
∂Loss/∂h=(1/(1+exp(-w_1 h) )-1) w_1^T+1/(1+exp(-w_2 h) ) w_2^T
在使用CBOW模式时,输入是多个词;在使用Skip-gram模式时,输入是一个词。将输入的词记为集合 context。在使用CBOW模式时,context 的大小为 2×窗口长度;在使用Skip-gram模式时,context 的大小为1。易得

1.3.2 负采样
在Word2vec中,除了使用哈夫曼树,还可以使用流行的负采样方法来训练模型。
在讲解负采样前,我们回顾一下Softmax函数的训练过程。例如,在Word2vec中,使用由输入向量 embedding 相加得到的向量 h 来预测目标。传统预测方法的公式如下(忽略偏置)。
h=∑_(i∈context)▒〖embedding〗_i
d=Wh=[■(w_1 h@⋮@w_V h)]=[█(■(d_1@d_2@⋮)@d_V )]
y^'=Softmax(d)=1/(∑_(i=1)^V▒e^(w_i h) ) [■(e^(w_1 h)@⋮@e^(w_V h) )]
其中
W=[■(w_11&⋯&w_1f@⋮&⋱&⋮@w_V1&⋯&w_Vf )]=[■(w_1@⋮@w_V )]
W 的第 i 行所对应的行向量 w_i 用于预测词 i 出现的“比重”,即词 i 出现的未归一化概率
为 e^(w_i h)。∑_(i=1)^V▒e^(w_i h) 为归一化因子。
当预测的目标为 w_3 时,使用KL距离作为损失函数,公式如下。
Loss=-log e^(d_3 )/(∑_(i=1)^V▒e^(d_i ) )
与常见的多分类任务相比,在这里,因为 V 的值常高达几十万,∑_(i=1)^V▒e^(d_i ) 涉及的运算量
巨大,在实际应用中几乎不具备可操作性,所以,我们不一定要将所有的 e^(d_i ) 计算出来,只需要随机选择其中的一部分进行训练,就能在类别较多时达到降低运算量的目的。这种技术称为负采样,即随机选择部分类别作为负样本。
在进行负采样时,不需要完整地计算 d=Wh,只需要挑选个别的词进行计算。例如,上下文为“context”(输入),待预测词(目标词)为 word_3。随机挑选 word_9 和 word_12 作为负样本(不应该被预测出来的词)。对于 word_3,把预测简化成一个二分类任务(类似于逻辑回归),模型预测概率为
P(word_3 |context)=1/〖1+e〗^(-d_3 )
同理
P(word_9│context)=1/〖1+e〗^(-d_9 )
P(word_12│context)=1/〖1+e〗^(-d_12 )
〖〖 d〗_i=w〗_i h
因此,似然函数为
likehood=P(word_3 |context)(1-P(word_9│context))(1-P(word_12│context))
损失函数为
Loss=-ln(likehood)=-ln 1/(1+e^(-d_3 ) )-ln(1-1/(1+e^(〖-d〗_9 ) ))-ln(1-1/(1+e^(〖-d〗_12 ) ))
〖d_i=w〗_i h
损失函数确定后,就可以计算梯度 ∂Loss/(∂w_3 )、∂Loss/(∂w_9 )、∂Loss/(∂w_12 ) 和 ∂Loss/(∂〖embedding〗_i )(求解方法与哈夫
曼树相同,这里不再赘述)了。最后,使用梯度下降法训练相关参数。
在上例中,因为使用了负采样技术,所以在前向预测阶段无须预测所有类别(V 类)所对应的概率,而是做了3个二分类预测,降低了运算量。另外,在计算梯度时,只对 w_3、w_9、w_12 进行更新(取代了对 W 进行更新),提高了训练速度。
以上介绍了两个词的负采样。在实际应用中,负采样的个数作为超参数,可自行设置。在进行负采样时,每个词被采样的概率的经验公式为
P(w_i )=〖count(w_i)〗^(3/4)/(∑_(j=1)^V▒〖count(w_i)〗^(3/4) )
count(w_i) 为词 w_i 在语料库中出现的次数(由此可知,负采样倾向于高频词)。3/4 次方为经验参数,其目的是提高低频词被选中的概率,背后的思想是:如果高频词没有出现,那么它作为负样本的概率更高。
哈夫曼树和负采样都可以在某种程度上对分类预测进行简化。可能会有读者担心它们对分类结果的准确性造成影响,其实大可不必。正如前面所分析的,训练Word2vec模型的最终目的是使用每个词所对应的embedding(Word2vec在大多数情况下不会用于词的预测)。
1.4 Word2vec的应用
在Word2vec中,每个词所对应的embedding都包含语义信息,因此,可使用embedding来衡量不同词的语义相似度。例如,使用CBOW模式,在训练阶段有如下3条训练数据。
“我”“喜欢”“温顺”“可爱”→“猫”
“我”“爱”“温顺”“可爱”→“猫”
“我”“喜欢”“温顺”“漂亮”→“猫”
虽然上下文中的词各不相同,但其目的都是预测出“猫”。在前两条训练数据中,只有第二个词不同,预测目标是相同的,因此,在训练完成后,“喜欢”和“爱”所对应的词向
量 〖embedding〗_喜欢 和 〖embedding〗_爱 就会很接近,即
<〖embedding〗_喜欢,〖embedding〗_爱>→1
同理,“可爱”和“漂亮”所对应的词向量也会很接近。因此,在计算词之间的相似度时,Word2vec是一个被广泛使用的工具。
除了在自然语言处理领域,Word2vec在其他领域也大受欢迎,大部分序列数据场景都有它的用武之地。例如,在推荐系统中,可以使用Word2vec得到用户点击视频的序列。
ID1,ID3,ID5,ID10⋯
⋯
ID2,ID8,ID7,ID6⋯
其中,ID为视频的唯一标识。可以把ID当作词,把点击序列当作句子,使用Word2vec对点击序列进行训练。
训练完成后,每个ID都对应于一个embedding。可以用embedding计算不同视频的相似度,也可以将其作为视频的特征输入后续模型。
不过,需要注意的是:在使用Word2vec时,即使是同一批语料,分别进行两次训练,得到的embedding也不在同一个语义空间中,因此没有可比性;只有在同一次训练中得到的embedding才有可比性。可见,Word2vec不适合用在增量更新中。如果新增的语料中有新的词,就只能对全部语料重新进行训练。
如果同一批样本数据中出现了明显的隔离现象,那么即使在同一次训练中,也会出现语义空间不同的情况。例如,训练样本由“1-中文新闻,2-英文新闻”两种语料组成,用Word2vec对语料进行训练,得到的中英文embedding不在同一语义空间中,也就是说,不能
用 〖embedding〗_苹果 和 〖embedding〗_apple 来计算中英文的相似度。其原因在于,虽然可以在同
一次训练中训练两种语料,但由于这两种语料之间没有交集,所以等价于对两种语料分别进行训练。
1.5 fastText模型的原理及应用
Word2vec自诞生以来就广受欢迎,并衍生出不少改进版本,其中最成功的当属fastText。
fastText的目的是对文本进行分类,其整体模型结构沿用了Word2vec,只不过最后一层由预测中心词变为预测类别。例如,预测“水煮鱼和红烧肉真好吃”所属的评价分类为“正面”、“中性”还是“负面”。由于fastText是典型的监督学习模型,所以需要使用标注数据。当预测类别较少时,计算性能不再是瓶颈,且我们需要的是准确的预测结果,所以,直接使用Softmax作为激活函数进行预测,模型结构如图10-7所示。

图10-7
前面提到过,Word2vec是一个词袋模型,它会忽略词出现的顺序。为了解决这个问题,fastText进行了一些改良,对输入增加了n-gram信息。例如,当 n=2 时,输入变为
“水煮鱼”
“和”
“红烧肉”
“真”
“好吃”
“水煮鱼 和”
“和 红烧肉”
“红烧肉 真”
“真 好吃”
增加n-gram信息,在一定程度上增加了词序信息,使模型不再是词袋模型,并对词的出现顺序有了一定的敏感性。但是,使用n-gram的缺点是使词数暴增。例如,词表中原本有10万个词,使用2-gram后,理论上词表中的词为 10×10 万个。
为了解决这个问题,fastText使用散列(Hash)算法对2-gram特征进行压缩,如图10-8所示。

图10-8
在图10-8中:正常的词所对应的embedding有 v_1 个;n-gram所对应的embedding有 v_2 个;每个n-gram通过散列算法映射至 v_2 中的一行,然后将其作为embedding。可见,不同的n-gram可能恰巧对应于同一个embedding,而这将导致特征冲突。不过,实践证明,特征冲突带来的负面影响不大。特征的散列算法是一个非常成熟的特征压缩方法,在其他特征维度很高的场景中也有广泛的应用。
在Word2vec中,语料库中的每个词都是一个基本信息单元(无法再切分),且每个词都对应于一个向量。这种方式忽略了词内部的形态特征。例如,“book”“books”及“阿里巴巴”“阿里”这两个词组中有较多的公共字符(它们的内部形态类似,语义极为接近)。然而,在Word2vec中,词是最小的语义单元,词的内部形态信息被忽略了。
为了解决这个问题,fastText使用子词模型来表示词。子词模型是一种字符级的n-gram模型。以词“阿里巴巴”为例,可以先将其转换为“<阿里巴巴>”,“<”表示词的起始位置,“>”表示词的结束位置。取 n=2 和 n=3,即提取字符级的2-gram和3-gram作为该词的子词,该词本身则作为一个特殊子词。在这里,“<”和“>”也算作字符,因为起始字符和结束字符本身也是一种语义。词“阿里巴巴”可以分解为如下子词。
2-gram:<阿,阿里,里巴,巴巴,巴>。
3-gram:<阿里,阿里巴,里巴巴,巴巴>。
特殊子词:<阿里巴巴>。
在训练模型时,子词也作为输入一并输入模型,每个子词都有对应的embedding。
子词模型可以从构词形态上学习到词的语义。例如,词“女朋友”“女友”的2-gram子词都包含“<女”和“友>”这两个子词。在分类任务中,如果这两个词分别作为输入,则有可能其部分输入是相同的。
另外,子词模型可以解决未登录词的问题。例如,“阿里文娱”这个词从未出现在训练语料中,但训练语料中包含“阿里巴巴”“腾讯文娱”“文娱”之类的词。那么,通过子词模型的学习,可以得到“阿里文娱”的各个子词的子词向量,把它们相加,就可以得到未登录词“阿里文娱”所对应的词向量了。
在fastText中,子词使用的n-gram的长度对应于 min n 和 max n 两个超参数,它们分别约束了最短子词和最长子词。不过,如果模型的输入是ID之类的特征,那么其子词将没有任何语义特征,此时应通过超参数来取消子词,即 min n=max n=0。
(由于平台稿件格式问题,公式格式不能正确写上;如若读写困难可后台私信我要完整电子版)
对机器学习感兴趣的读者可以去主页关注我;本人著有《速通深度学习》以及《速通机器学习数学基础》二书,想要完整版电子档可以后台私信我;实体版已出版在JD上有售,有兴趣的同学可以自行搜索了解
想一起学习机器学习的话也可以后台私信,本人所做机器学习0基础教程已有60余章还未公开;想了解的话也是后台私信或者评论区留言。
本文围绕自然语言处理展开,介绍了语言模型的作用、计算方式及局限性,如n-gram模型虽可简化问题但有长距离依赖问题。还阐述了one-hot编码和embedding技术,引出Word2vec模型,包括CBOW和Skip-gram模式。此外,介绍了哈夫曼树和负采样以降低运算量,最后讲解了fastText模型的原理及应用。
6328

被折叠的 条评论
为什么被折叠?



