给你二叉树的根节点 root ,返回其节点值的 层序遍历 。 (即逐层地,从左到右访问所有节点)。
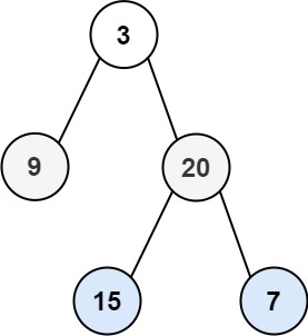
示例 1:

输入:root = [3,9,20,null,null,15,7] 输出:[[3],[9,20],[15,7]]
示例 2:
输入:root = [1] 输出:[[1]]
示例 3:
输入:root = [] 输出:[]
提示:
- 树中节点数目在范围
[0, 2000]内 -1000 <= Node.val <= 100
代码:
/**
* Definition for a binary tree node.
* struct TreeNode {
* int val;
* TreeNode *left;
* TreeNode *right;
* TreeNode() : val(0), left(nullptr), right(nullptr) {}
* TreeNode(int x) : val(x), left(nullptr), right(nullptr) {}
* TreeNode(int x, TreeNode *left, TreeNode *right) : val(x), left(left), right(right) {}
* };
*/
class Solution {
public:
vector<vector<int>> levelOrder(TreeNode* root) {
queue<TreeNode* > qu;
vector<vector<int>> res;
if (root != nullptr) {
qu.push(root);
}
while(!qu.empty()) {
vector<int> tmp;
for (int i = qu.size(); i > 0; i--) {
root = qu.front();
qu.pop();
tmp.push_back(root->val);
if (root->left != nullptr) {
qu.push(root->left);
}
if (root->right != nullptr) {
qu.push(root->right);
}
}
res.push_back(tmp);
}
return res;
}
};
377

被折叠的 条评论
为什么被折叠?



