文章目录
前言
在上一篇博客中我们详细介绍了C++多态的内容,这部分知识点非常重要,请大家务必掌握!在这篇文章中我们来详细讲解二叉搜索树的内容,接下来一起来看看吧!
一. 二叉搜索树的概念
二叉搜索树又称二叉排序树,它或者是一棵空树,或者是具有以下性质的二叉树:
- 若它的左子树不为空,则左子树上所有结点的值都小于等于根结点的值
- 若它的右子树不为空,则右子树上所有结点的值都大于等于根结点的值
- 它的左右子树也分别为二叉搜索树
- 二叉搜索树中可以支持插入相等的值,也可以不支持插入相等的值,具体看使用场景定义,后续我们学习map/set/multimap/multiset系列容器底层就是二叉搜索树,其中map/set不支持插入相等值,multimap/multiset支持插入相等值

二. 二叉搜索树的性能分析
最优情况下,二叉搜索树为完全二叉树(或者接近完全二叉树),其高度为: log2 N
最差情况下,二叉搜索树退化为单支树(或者类似单支),其高度为: N
所以综合而言二叉搜索树增删查改时间复杂度为: O(N)
那么这样的效率显然是无法满足我们需求的,我们后续课程需要继续讲解二叉搜索树的变形,平衡二叉搜索树AVL树和红黑树,才能适用于我们在内存中存储和搜索数据。
另外需要说明的是,二分查找也可以实现 O(log2 N) 级别的查找效率,但是二分查找有两大缺陷:
- 需要存储在支持下标随机访问的结构(顺序结构)中,并且有序。
- 插入和删除数据效率很低,因为存储在下标随机访问的结构中,插入和删除数据一般需要挪动数据。
这里也就体现出了平衡二叉搜索树的价值。

三. 二叉搜索树的插入
插入的具体过程如下:
- 树为空,则直接新增结点,赋值给root指针
- 树不空,按二叉搜索树性质,插入值比当前结点大往右走,插入值比当前结点小往左走,找到空位置,插入新结点。
- 如果支持插入相等的值,插入值跟当前结点相等的值可以往右走,也可以往左走,找到空位置,插入新结点。(要注意的是要保持逻辑一致性,插入相等的值不要一会往右走,一会往左走)

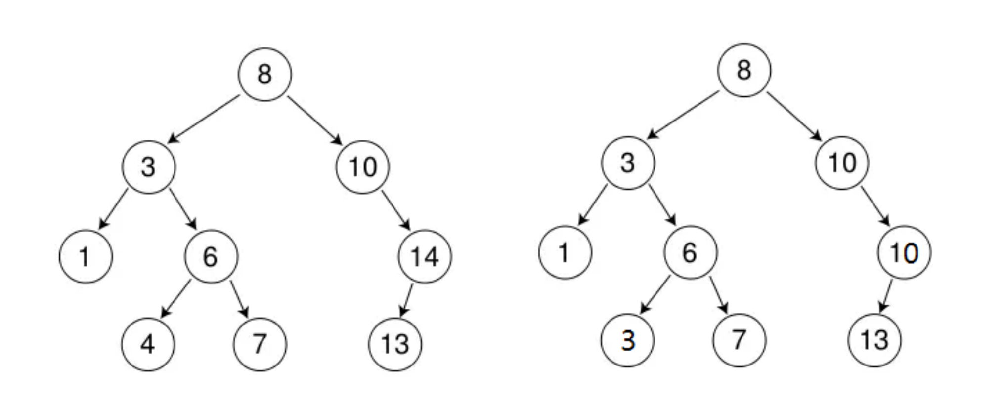
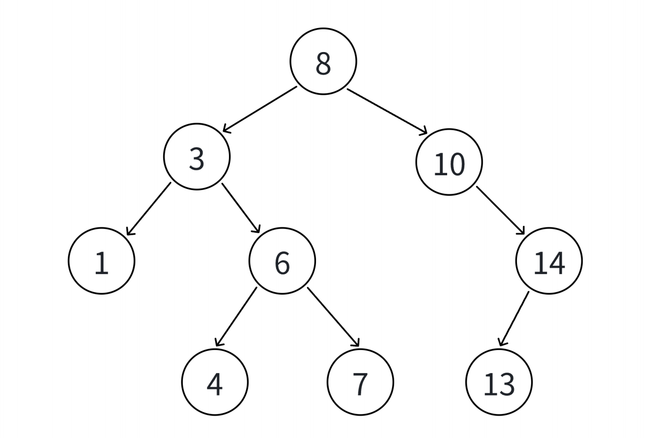
int a[] = {8, 3, 1, 10, 6, 4, 7, 14, 13};


四. 二叉搜索树的查找
- 从根开始比较,查找x,x比根的值大则往右边走查找,x比根值小则往左边走查找。
- 最多查找高度次,走到为空,还没找到,这个值不存在。
- 如果不支持插入相等的值,找到x即可返回
- 如果支持插入相等的值,意味着有多个x存在,一般要求查找中序的第一个x。如下图,查找3,要找到1的右孩子的那个3返回

五. 二叉搜索树的删除
首先查找元素是否在二叉搜索树中,如果不存在,则返回false。
如果查找元素存在则分以下四种情况分别处理:(假设要删除的结点为N)
- 要删除结点N左右孩子均为空
- 要删除的结点N左孩子为空,右孩子结点不为空
- 要删除的结点N右孩子为空,左孩⼦结点不为空
- 要删除的结点N左右孩子结点均不为空
对应以上四种情况的解决方案:
- 把N结点的父亲对应孩子指针指向空,直接删除N结点(情况1可以当成2或者3处理,效果是⼀样的)
- 把N结点的父亲对应孩子指针指向N的右孩子,直接删除N结点
- 把N结点的父亲对应孩子指针指向N的左孩子,直接删除N结点
- 无法直接删除N结点,因为N的两个孩子无处安放,只能用替换法删除。找N左子树的值最大结点R(最右结点)或者N右子树的值最小结点R(最左结点)替代N,因为这两个结点中任意一个,放到N的位置,都满足二叉搜索树的规则。替代N的意思就是N和R的两个结点的值交换,转而变成删除R结点,R结点符合情况2或情况3,可以直接删除。



六. 二叉搜索树的实现代码
SearchBinaryTree.h
namespace Key {
template<class K>
struct BSTNode
{
K _key;
BSTNode<K>* _left;
BSTNode<K>* _right;
BSTNode(const K& key)
:_key(key),
_left(nullptr),
_right(nullptr)
{
}
};
template<class K>
class BSTree {
typedef BSTNode<K> Node;
public:
BSTree() = default;
~BSTree()
{
Destory(_root);
_root = nullptr;
}
bool InSert(const K& key)
{
if (_root == nullptr)
{
_root = new Node(key);
return true;
}
Node* parent = nullptr;
Node* cur = _root;
while (cur != nullptr)
{
if (cur->_key < key)
{
parent = cur;
cur = cur->_right;
}
else if (cur->_key > key)
{
parent = cur;
cur = cur->_left;
}
else {
return false;
}
}
cur = new Node(key);
if (parent->_key < key) {
parent->_right = cur;
}
else {
parent->_left = cur;
}
return true;
}
bool Find(const K& key)
{
Node* cur = _root;
while (cur)
{
if (cur->_key > key) {
cur = cur->_left;
}
else if (cur->_key < key) {
cur = cur->_right;
}
else {
return true;
}
}
return false;
}
bool Erase(const K& key)
{
Node* parent = nullptr;
Node* cur = _root;
while (cur)
{
if (cur->_key > key) {
parent = cur;
cur = cur->_left;
}
else if (cur->_key < key) {
parent = cur;
cur = cur->_right;
}
else {
// 0-1个孩子的情况
// 删除情况1 2 3均可以直接删除,改变父亲对应孩子指针指向即可
if (cur->_left == nullptr)
{
if (parent == nullptr) {
_root = cur->_right;
}
else {
if (parent->_left == cur) {
parent->_left = cur->_right;
}
else {
parent->_right = cur->_right;
}
}
delete cur;
return true;
}
else if (cur->_right == nullptr) {
if (parent == nullptr) {
_root = cur->_left;
}
else {
if (parent->_left == cur) {
parent->_left = cur->_left;
}
else {
parent->_right = cur->_left;
}
}
delete cur;
return true;
}
else {
// 两个孩子的情况
// 删除情况4,替换法删除
// 假设这里我们取右子树的最小结点作为替代结点去删除
// 这里尤其要注意右子树的根就是最小的情况处理,对应删除8的情况
//找到右子树的最小(最左)节点
Node* RightMin = cur->_right;
Node* RightMinParent = cur; // 一定要把cur给rightMinParent
while (RightMin->_left)
{
RightMinParent = RightMin;
RightMin = RightMin->_left;
}
//替换为右子树最左节点的值
cur->_key = RightMin->_key;
//如果最左节点的有右子树,将它合并到父节点
if (RightMinParent->_left == RightMin) {
RightMinParent->_left = RightMin->_right;
}
else {
RightMinParent->_right = RightMin->_right;
}
//删除节点
delete RightMin;
return true;
}
}
}
return false;
}
void InOrder()
{
_InOrder(_root);
cout << endl;
}
private:
void _InOrder(Node* root)
{
if (root == nullptr) {
return;
}
_InOrder(root->_left);
cout << root->_key << " ";
_InOrder(root->_right);
}
void Destory(Node* root)
{
if (root == nullptr) {
return;
}
Destory(root->_left);
Destory(root->_right);
delete root;
}
Node* Copy(Node* root)
{
if (root == nullptr) {
return nullptr;
}
Node* newRoot = new Node(root->_key);
newRoot->_left = Copy(root->_left);
newRoot->_right = Copy(root->_right);
return newRoot;
}
Node* _root = nullptr;
};
}
Test.cpp
测试:
#include "SearchBinaryTree.h"
int main()
{
int a[] = { 8,3,1,10,1,6,4,7,14,13 };
Key::BSTree<int> t;
for (auto& e : a)
{
t.InSert(e);
}
t.InOrder();
for (auto& e : a)
{
t.Erase(e);
t.InOrder();
}
return 0;
}

七. 二叉搜索树key和key/value使用场景
7.1 key搜索场景
只有key作为关键码,结构中只需要存储key即可,关键码即为需要搜索到的值,搜索场景只需要判断key在不在。key的搜索场景实现的二叉树搜索树支持增删查,但是不支持修改,修改key破坏搜索树结构了。
场景1:小区无人值守车库,小区车库买了车位的业主车才能进小区,那么物业会把买了车位的业主的车牌号录入后台系统,车辆进入时扫描车牌在不在系统中,在则抬杆,不在则提示非本小区车辆,无法进入。
场景2:检查一篇英文 章单词拼写是否正确,将词库中所有单词放入二叉搜索树,读取文章中的单词,查找是否在二叉搜索树中,不在则波浪线标红提示。
7.2 key/value搜索场景
每一个关键码key,都有与之对应的值value,value可以任意类型对象。树的结构中(结点)除了需要存储key还要存储对应的value,增/删/查还是以key为关键字走二叉搜索树的规则进行比较,可以快速查找到key对应的value。key/value的搜索场景实现的二叉树搜索树支持修改,但是不支持修改key,修
改key破坏搜索树性质了,可以修改value。
场景1:简单中英互译字典,树的结构中(结点)存储key(英文)和vlaue(中文),搜索时输入英文,则同时查找到了英文对应的中文。
场景2:商场无人值守车库,入口进场时扫描车牌,记录车牌和入场时间,出口离场时,扫描车牌,查找入场时间,用当前时间-入场时间计算出停车时长,计算出停车费用,缴费后抬杆,车辆离场。
场景3:统计一篇文章中单词出现的次数,读取一个单词,查找单词是否存在,不存在这个说明第一次出现,(单词,1),单词存在,则++单词对应的次数。
7.3 key/value二叉搜索树代码实现
SearchBinaryTree.h
namespace _Key_Value
{
template<class K, class V>
struct BSTNode
{
K _key;
V _value;
BSTNode<K, V>* _left;
BSTNode<K, V>* _right;
BSTNode(const K& key, const V& value)
:_key(key),
_value(value),
_left(nullptr),
_right(nullptr)
{
}
};
template<class K, class V>
class BSTree {
typedef BSTNode<K, V> Node;
public:
BSTree() = default;
BSTree(const BSTree<K,V>& t)
{
_root = Copy(t._root);
}
BSTree<K, V>& operator=(BSTree<K, V> t)
{
std::swap(_root, t._root);
return *this;
}
~BSTree()
{
Destory(_root);
_root = nullptr;
}
bool InSert(const K& key, const V& value)
{
if (_root == nullptr)
{
_root = new Node(key, value);
return true;
}
Node* parent = nullptr;
Node* cur = _root;
while (cur != nullptr)
{
if (cur->_key < key)
{
parent = cur;
cur = cur->_right;
}
else if (cur->_key > key)
{
parent = cur;
cur = cur->_left;
}
else {
return false;
}
}
cur = new Node(key, value);
if (parent->_key < key) {
parent->_right = cur;
}
else {
parent->_left = cur;
}
return true;
}
Node* Find(const K& key)
{
Node* cur = _root;
while (cur)
{
if (cur->_key > key) {
cur = cur->_left;
}
else if (cur->_key < key) {
cur = cur->_right;
}
else {
return cur;
}
}
return nullptr;
}
bool Erase(const K& key)
{
Node* parent = nullptr;
Node* cur = _root;
while (cur)
{
if (cur->_key > key) {
parent = cur;
cur = cur->_left;
}
else if (cur->_key < key) {
parent = cur;
cur = cur->_right;
}
else {
if (cur->_left == nullptr)
{
if (parent == nullptr) {
_root = cur->_right;
}
else {
if (parent->_left == cur) {
parent->_left = cur->_right;
}
else {
parent->_right = cur->_right;
}
}
delete cur;
return true;
}
else if (cur->_right == nullptr) {
if (parent == nullptr) {
_root = cur->_left;
}
else {
if (parent->_left == cur) {
parent->_left = cur->_left;
}
else {
parent->_right = cur->_left;
}
}
delete cur;
return true;
}
else {
//找到右子树的最小(最左)节点
Node* RightMin = cur->_right;
Node* RightMinParent = cur;
while (RightMin->_left)
{
RightMinParent = RightMin;
RightMin = RightMin->_left;
}
//替换为右子树最左节点的值
cur->_key = RightMin->_key;
//如果最左节点的有右子树,将它合并到父节点
if (RightMinParent->_left == RightMin) {
RightMinParent->_left = RightMin->_right;
}
else {
RightMinParent->_right = RightMin->_right;
}
//删除节点
delete RightMin;
return true;
}
}
}
return false;
}
void InOrder()
{
_InOrder(_root);
cout << endl;
}
private:
void _InOrder(Node* root)
{
if (root == nullptr) {
return;
}
_InOrder(root->_left);
cout << root->_key << " " << root->_value << endl;
_InOrder(root->_right);
}
void Destory(Node* root)
{
if (root == nullptr) {
return;
}
Destory(root->_left);
Destory(root->_right);
delete root;
}
Node* Copy(Node* root)
{
if (root == nullptr) {
return nullptr;
}
Node* newRoot = new Node(root->_key, root->_value);
newRoot->_left = Copy(root->_left);
newRoot->_right = Copy(root->_right);
return newRoot;
}
Node* _root = nullptr;
};
}
Test.cpp
测试1:
#include "SearchBinaryTree.h"
int main()
{
_Key_Value::BSTree<string, string> dict;
dict.InSert("left", "左边");
dict.InSert("right", "右边");
dict.InSert("insert", "插入");
dict.InSert("string", "字符串");
string str;
while (cin >> str)
{
auto ret = dict.Find(str);
if (ret) {
cout << ret->_key << "->" << ret->_value << endl;
}
else {
cout << "无此单词,请重新输入" << endl;
}
}
return 0;
}

测试2:
#include "SearchBinaryTree.h"
int main()
{
string arr[] = { "苹果", "西瓜", "苹果", "西瓜", "苹果", "苹果", "西瓜", "苹果", "香蕉", "苹果", "香蕉" };
_Key_Value::BSTree<string, int> countTree;
for (const auto& str : arr)
{
auto ret = countTree.Find(str);
if (ret == nullptr) {
countTree.InSert(str, 1);
}
else {
ret->_value++;
}
}
countTree.InOrder();
return 0;
}

最后
本篇关于C++二叉搜索树的内容到这里就结束了,其中还有很多细节值得我们去探究,需要我们不断地学习。如果本篇内容对你有帮助的话就给一波三连吧,对以上内容有异议或者需要补充的,欢迎大家来讨论!
1149

被折叠的 条评论
为什么被折叠?



