朴素贝叶斯 - 贝叶斯估计Python复现:
[舟晓南:朴素贝叶斯(Bayes)模型python复现 - 贝叶斯估计;下溢出问题]
在《统计学习方法》一书中,详细说明了后验概率最大化与期望风险最小化之间的关系,深入地说明了后验概率最大化的含义,但其中的推导过程有所省略,这篇文章作为补充说明。
后验概率最大化的含义:
书中提到,朴素贝叶斯法将实例分到后验概率最大的类中,这等价于期望风险最小化。
要明白什么是期望风险最小化,首先要明白什么是期望。
期望是指某件事大量发生后的平均结果,反应了随机变量平均取值的大小。计算期望的公式:

其中x为X的取值,p为在X为该取值的概率,K为x可取值的数量。
期望与平均值之间的关系:
ter)
其中N是实例总数,n是X为x取值时的实例数量。
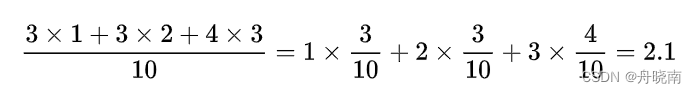
举个例子,在10户人家中有3户拥有1个孩子,有3户拥有2个孩子,有4户拥有3个孩子,则其期望为:

即对家庭的期望是每个家庭有2.1个孩子。
说回期望风险,按照书中的定义,期望风险的含义是:模型关于联合分布的期望损失,学习的目标就是选择期望风险最小的模型。
既然期望风险就是期望损失,那么我们需要定义一个损失函数,用来判断模型的好坏。
假设我们在朴素贝叶斯分类器中使用0-1损失函数:

其中f(X)就是习得的朴素贝叶斯模型。
那么期望风险代表的就是损失的平均值,函数为:

因为期望的定义是值出现的概率乘以具体值之和,所以上式可转换为损失函数与联合概率之积的积分:

在上式的转换中运用了联合概率,边缘概率和条件概率的关系。
我们设
为H(x)。
H(x)中损失函数大于等于0,条件概率P(y|x)大于0,因此H(x)大于0。同时P(x)也大于0,且当X=x时P(x)(先验概率)为常数,因此期望风险最小化可转换为条件期望最小化,即argminH(x)

上式的第二个等式成立,是因为损失函数表示当分类错误时取1,那么我们只需要最小化分类错误的概率,也就是最小化
。
上式最后推导出在朴素贝叶斯分类器中,期望风险最小化等价于后验概率最大化。
同名公众号和知乎:舟晓南
对机器学习,深度学习,python感兴趣,欢迎关注专栏,学习笔记已原创70+篇,持续更新中~ ^_^
学习笔记:数据分析,机器学习,深度学习
https://www.zhihu.com/column/c_1274454587772915712
专栏文章举例:
【机器学习】关于逻辑斯蒂回归,看这一篇就够了!解答绝大部分关于逻辑斯蒂回归的常见问题,以及代码实现 - 知乎 (zhihu.com)
关于 python 二三事
https://www.zhihu.com/column/c_1484952401395941377
专栏文章举例:
记录一下工作中用到的少有人知的pandas骚操作,提升工作效率 - 知乎 (zhihu.com)
关于切片时不考虑最后一个元素以及为什么从0开始计数的问题 - 知乎 (zhihu.com)
关于转行:
舟晓南:如何转行和学习数据分析 | 工科生三个月成功转行数据分析心得浅谈
舟晓南:求职数据分析师岗位,简历应该如何写?|工科生三个月成功转行数据分析心得浅谈
我建了个数据分析,机器学习,深度学习的群~ 需要学习资料,想要加入社群均可私信~
在群里我会不定期分享各种数据分析相关资源,技能学习技巧和经验等等~
详情私信,一起进步吧!
本文探讨了朴素贝叶斯分类器中的后验概率最大化与期望风险最小化之间的关系,通过数学推导展示了二者等价性,并解释了期望风险的概念及在分类任务中的应用。
878

被折叠的 条评论
为什么被折叠?



