数据分析统计学原理第十一章:总体方差的统计推断 | 我的统计学原理复习日记

一个总体方差的统计推断

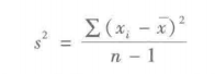
样本方差是总体方差的点估计

在这里插入图片描述在这里插入图片描述在这里插入图片描述
区间估计
利用卡方分布建立总体方差的置信区间估计
在这里插入图片描述

根据下式可以得到区间估计
在这里插入图片描述

上式可转变为
在这里插入图片描述

则总体方差的区间估计式为
在这里插入图片描述

假设检验
在这里插入图片描述

评论 1
添加红包

请填写红包祝福语或标题

红包个数最小为10个

红包金额最低5元

当前余额3.43前往充值 >
需支付:10.00
成就一亿技术人!
领取后你会自动成为博主和红包主的粉丝 规则
hope_wisdom
发出的红包
实付
使用余额支付
点击重新获取
扫码支付
钱包余额 0

抵扣说明:

1.余额是钱包充值的虚拟货币,按照1:1的比例进行支付金额的抵扣。
2.余额无法直接购买下载,可以购买VIP、付费专栏及课程。

余额充值