原题描述
给你链表的头节点 head ,每 k 个节点一组进行翻转,请你返回修改后的链表。
k 是一个正整数,它的值小于或等于链表的长度。如果节点总数不是 k 的整数倍,那么请将最后剩余的节点保持原有顺序。
你不能只是单纯的改变节点内部的值,而是需要实际进行节点交换。
示例 1:

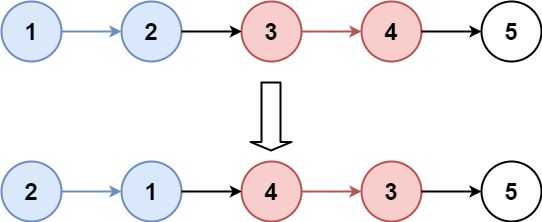
输入:head = [1,2,3,4,5], k = 2
输出:[2,1,4,3,5]
示例 2:

输入:head = [1,2,3,4,5], k = 3
输出:[3,2,1,4,5]
提示:
链表中的节点数目为 n
1 <= k <= n <= 5000
0 <= Node.val <= 1000
来源:力扣(LeetCode)
链接:https://leetcode-cn.com/problems/reverse-nodes-in-k-group
著作权归领扣网络所有。商业转载请联系官方授权,非商业转载请注明出处。
题解
class Solution:
def reverseKGroup(self, head: Optional[ListNode], k: int) -> Optional[ListNode]:
tmp_head = ListNode(-1)
tmp_head.next = head
pre = tmp_head
while head:
tail = pre
for i in range(k):
tail = tail.next
if not tail:
return tmp_head.next
next_node = tail.next
head,tail = self.revers(head, tail)
pre.next = head
tail.next = next_node
pre = tail
head = next_node
return tmp_head.next
def revers(self,head:ListNode,tail:ListNode):
pre = tail.next
tmp_head = head
while pre != tail:
next_node = tmp_head.next
tmp_head.next = pre
pre = tmp_head
tmp_head = next_node
return tail,head

438

被折叠的 条评论
为什么被折叠?



