一、Delicious
最直觉、最简单的算法,莫过于按照单位时间内用户的投票数进行排名。得票最多的项目,自然就排在第一位。
旧版的Delicious,有一个"热门书签排行榜",就是这样统计出来的。

它按照"过去60分钟内被收藏的次数"进行排名。每过60分钟,就统计一次。
这个算法的优点是比较简单、容易部署、内容更新相当快;缺点是,一方面,排名变化不够平滑,前一个小时还排名靠前的内容,往往第二个小时就一落千丈,另一方面,缺乏自动淘汰旧项目的机制,某些热门内容可能会长期占据排行榜前列。
二、Hacker News
Hacker News是一个网络社区,可以张贴链接,或者讨论某个主题。

每个帖子前面有一个向上的三角形,如果你觉得这个内容很好,就点击一下,投上一票。根据得票数,系统自动统计出热门文章排行榜。但是,并非得票最多的文章排在第一位,还要考虑时间因素,新文章应该比旧文章更容易得到好的排名。
Hacker News使用Paul Graham开发的Arc语言编写,源码可以从arclanguage.org下载。它的排名算法是这样实现的:
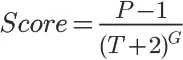
将上面的代码还原为数学公式:
其中,
P表示帖子的得票数,减去1是为了忽略发帖人的投票。
T表示距离发帖的时间(单位为小时),加上2是为了防止最新的帖子导致分母过小(之所以选择2,可能是因为从原始文章出现在其他网站,到转贴至Hacker News,平均需要两个小时)。
G表示"重力因子"(gravityth power),即将帖子排名往下拉的力量,默认值为1.8,后文会详细讨论这个值。
从这个公式来看,决定帖子排名有三个因素:
第一个因素是得票数P。
在其他条件不变的情况下,得票越多,排名越高。
从上图可以看到,有三个同时发表的帖子,得票分别为200票、60票和30票(减1后为199、59和29),分别以黄色、紫色和蓝色表示。在任一个时间点上,都是黄色曲线在最上方,蓝色曲线在最下方。
如果你不想让"高票帖子"与"低票帖子"的差距过大,可以在得票数上加一个小于1的指数,比如(P-1)^0.8。
第二个因素是距离发帖的时间T。
在其他条件不变的情况下,越是新发表的帖子,排名越高。或者说,一个帖子的排名,会随着时间不断下降。
从前一张图可以看到,经过24小时之后,所有帖子的得分基本上都小于1,这意味着它们都将跌到排行榜的末尾,保证了排名前列的都将是较新的内容。
第三个因素是重力因子G。
它的数值大小决定了排名随时间下降的速度。
从上图可以看到,三根曲线的其他参数都一样,G的值分别为1.5、1.8和2.0。G值越大,曲线越陡峭,排名下降得越快,意味着排行榜的更新速度越快。
转载:http://www.ruanyifeng.com/blog/2012/02/ranking_algorithm_hacker_news.html
本文介绍了HackerNews采用的排名算法,该算法综合考虑了帖子的得票数、发布时间及重力因子,确保内容的新鲜度与热度。通过数学公式详细解释了各参数的作用,展示了不同设置下排名的变化趋势。



5153

被折叠的 条评论
为什么被折叠?



