数据库中的存储结构是怎么样的?
首先我们平时的数据查询结果集,都是以行为最小单位的,但是实际上,我们数据库的读取并不是以行为单位的,否则一次读取(也就是一次 I/O 操作)只能处理一行数据,效率会非常低。因此在数据库中,不论读一行,还是读多行,都是将这些行所在的页进行加载。也就是说,数据库管理存储空间的基本单位是页(Page)。
当然了我们数据库中存储的结构不仅仅有页,还包括区、段、表,他们的关系如图
我们从图中可以看到,一个表空间包括了一个或多个段,一个段包括了一个或多个区,一个区包括了多个页,而一个页中可以有多行记录。
下面我们面对这几个概念做一个简单的讲解。
区(Extent)是比页大一级的存储结构,在 InnoDB 存储引擎中,一个区会分配 64 个连续的页。因为 InnoDB 中的页大小默认是 16KB,所以一个区的大小是 64*16KB=1MB。
段(Segment)由一个或多个区组成,区在文件系统是一个连续分配的空间(在 InnoDB 中是连续的 64 个页),不过在段中不要求区与区之间是相邻的。段是数据库中的分配单位,不同类型的数据库对象以不同的段形式存在。当我们创建数据表、索引的时候,就会相应创建对应的段,比如创建一张表时会创建一个表段,创建一个索引时会创建一个索引段。
表空间(Tablespace)是一个逻辑容器,表空间存储的对象是段,在一个表空间中可以有一个或多个段,但是一个段只能属于一个表空间。数据库由一个或多个表空间组成,表空间从管理上可以划分为系统表空间、用户表空间、撤销表空间、临时表空间等。
在 InnoDB 中存在两种表空间的类型:共享表空间和独立表空间。如果是共享表空间就意味着多张表共用一个表空间。如果是独立表空间,就意味着每张表有一个独立的表空间,也就是数据和索引信息都会保存在自己的表空间中。独立的表空间可以在不同的数据库之间进行迁移。
查看InnoDB表空间类型的命令如下:
show variables like 'innodb_file_per_table';
执行SQL后我们能看到 innodb_file_per_table=ON,这就意味着每张表都会单独保存为一个.ibd 文件。
数据页中的结构是怎样的
刚才我们说过,数据库的读取是以页为单位的,所以这是一个非常重要的数据库存储结构,如果按照类型划分,可以分为以下几类:
数据页:比如我们的B+树节点
系统页
Undo页
事务页
表页的大小限定了表行的最大长度,不同 DBMS 的表页大小不同。比如在 MySQL 的 InnoDB 存储引擎中,默认页的大小是 16KB,我们可以通过下面的命令来进行查看:
show variables like ‘%innodb_page_size%’;
数据库 I/O 操作的最小单位是页,与数据库相关的内容都会存储在页结构里。数据页包括以下七个部分
文件头(File Header)
页头(Page Header)
最大最小记录(Infimum+supremum)
用户记录(User Records)
空闲空间(Free Space)
页目录(Page Directory)
文件尾(File Tailer)
为了更形象地展示数据页地结构,我们以图片地形式看看:
既然我们讲了详细的数据页结构,那么接下来肯定是要了解,各个部分的作用都是什么了。
1.文件通用部分:包括文件头和文件尾。它们类似集装箱,将页的内容进行封装,通过文件头和文件尾校验的方式来确保页的传输是完整的。(保证页的完整性)
扩展:
在文件头中有两个字段,分别是 FIL_PAGE_PREV 和 FIL_PAGE_NEXT,它们的作用相当于指针,分别指向上一个数据页和下一个数据页。连接起来的页相当于一个双向的链表.需要说明的是采用链表的结构让数据页之间不需要是物理上的连续,而是逻辑上的连续。
使用举例:
我们之前讲到过 Hash 算法,这里文件尾的校验方式就是采用 Hash 算法进行校验。举个例子,当我们进行页传输的时候,如果突然断电了,造成了该页传输的不完整,这时通过文件尾的校验和(checksum 值)与文件头的校验和做比对,如果两个值不相等则证明页的传输有问题,需要重新进行传输,否则认为页的传输已经完成。
2.记录部分:页的主要作用是存储记录,所以“最小和最大记录”和“用户记录”部分占了页结构的主要空间。另外空闲空间是个灵活的部分,当有新的记录插入时,会从空闲空间中进行分配用于存储新记录

3.索引部分:这部分重点指的是页目录,它起到了记录的索引作用,因为在页中,记录是以单向链表的形式进行存储的。单向链表的特点就是插入、删除非常方便,但是检索效率不高,最差的情况下需要遍历链表上的所有节点才能完成检索,因此在页目录中提供了二分查找的方式,用来提高记录的检索效率。这个过程就好比是给记录创建了一个目录。
a.将所有的记录分成几个组,这些记录包括最小记录和最大记录,但不包括标记为“已删除”的记录。
b.第 1 组,也就是最小记录所在的分组只有 1 个记录;最后一组,就是最大记录所在的分组,会有 1-8 条记录;其余的组记录数量在 4-8 条之间。这样做的好处是,除了第 1 组(最小记录所在组)以外,其余组的记录数会尽量平分。
c.在每个组中最后一条记录的头信息中会存储该组一共有多少条记录,作为 n_owned 字段。
d.页目录用来存储每组最后一条记录的地址偏移量,这些地址偏移量会按照先后顺序存储起来,每组的地址偏移量也被称之为槽(slot),每个槽相当于指针指向了不同组的最后一个记录。如下图所示:
页目录存储的就是槽,槽相当于分组记录的索引。我们通过槽查找记录,实际上就是在做二分查找。
这里我们结合上图举例说明:
5 个槽的编号分别为 0,1,2,3,4,我想查找主键为 9 的用户记录,我们初始化查找的槽的下限编号,设置为 low=0,然后设置查找的槽的上限编号 high=4,然后采用二分查找法进行查找。
首先找到槽的中间位置 p=(low+high)/2=(0+4)/2=2,这时我们取编号为 2 的槽对应的分组记录中最大的记录,取出关键字为 8。因为 9 大于 8,所以应该会在槽编号为 (p,high]的范围进行查找
接着重新计算中间位置 p’=(p+high)/2=(2+4)/2=3,我们查找编号为 3 的槽对应的分组记录中最大的记录,取出关键字为 12。因为 9 小于 12,所以应该在槽 3 中进行查找。
遍历槽 3 中的所有记录,找到关键字为 9 的记录,取出该条记录的信息即为我们想要查找的内容。
此处的过程,可能会引起疑惑,二分查找的前提是有序,那为什么能确定页里面的数据一定是有序的呢?这个就要联系到之前所说的索引了,之前我们说过主键索引只有一个,是因为物理存储的排序方式只有一种,索引的作用之一就是排序,所以我们这里可以知道页里面的数据就是有序的。
从数据页的角度看 B+ 树是如何进行查询的
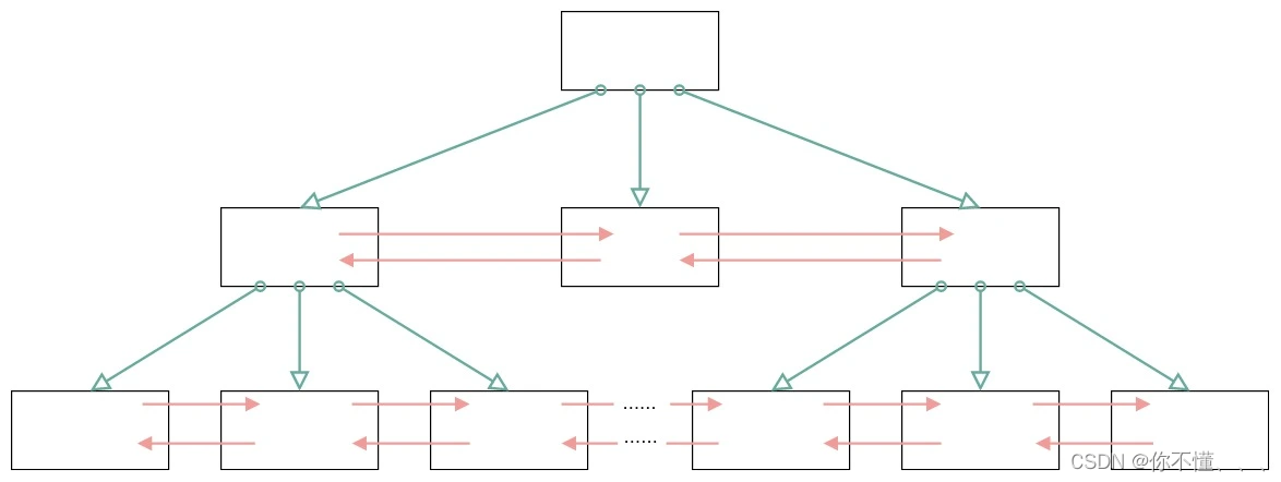
MySQL 的 InnoDB 存储引擎采用 B+ 树作为索引,而索引又可以分成聚集索引和非聚集索引(二级索引),这些索引都相当于一棵 B+ 树,如图所示。一棵 B+ 树按照节点类型可以分成两部分:
叶子节点,B+ 树最底层的节点,节点的高度为 0,存储行记录。
非叶子节点,节点的高度大于 0,存储索引键和页面指针,并不存储行记录本身。
在一棵 B+ 树中,每个节点都是一个页,每次新建节点的时候,就会申请一个页空间。同一层上的节点之间,通过页的结构构成一个双向的链表(页文件头中的两个指针字段)。非叶子节点,包括了多个索引行,每个索引行里存储索引键和指向下一层页面的页面指针。最后是叶子节点,它存储了关键字和行记录,在节点内部(也就是页结构的内部)记录之间是一个单向的链表,但是对记录进行查找,则可以通过页目录采用二分查找的方式来进行。
当我们从页结构来理解 B+ 树的结构的时候,可以帮我们理解一些通过索引进行检索的原理:
B+ 树是如何进行记录检索的?
如果通过 B+ 树的索引查询行记录,首先是从 B+ 树的根开始,逐层检索,直到找到叶子节点,也就是找到对应的数据页为止,将数据页加载到内存中,页目录中的槽(slot)采用二分查找的方式先找到一个粗略的记录分组,然后再在分组中通过链表遍历的方式查找记录。
普通索引和唯一索引在查询效率上有什么不同?
唯一索引就是在普通索引上增加了约束性,也就是关键字唯一,找到了关键字就停止检索。而普通索引,可能会存在用户记录中的关键字相同的情况,根据页结构的原理,当我们读取一条记录的时候,不是单独将这条记录从磁盘中读出去,而是将这个记录所在的页加载到内存中进行读取。InnoDB 存储引擎的页大小为 16KB,在一个页中可能存储着上千个记录,因此在普通索引的字段上进行查找也就是在内存中多几次“判断下一条记录”的操作,对于 CPU 来说,这些操作所消耗的时间是可以忽略不计的。所以对一个索引字段进行检索,采用普通索引还是唯一索引在检索效率上基本上没有差别。
总结







被折叠的 条评论
为什么被折叠?



