
二硬脂酰磷脂酰乙醇胺-聚乙二醇-半乳糖、DSPE-PEG2000-galactose
磷脂PEG半乳糖,dspe聚乙二醇galactose
溶剂: 二氯甲烷:甲醇=1:1溶液,氯仿。
性状:基于不同的分子量,呈白色/类白色固体粉末,或粘稠液体。
稳定性:冷藏保存,避免反复冻融。
分子量(PEG ):2000、3400、5000,其他分子量可以定制。
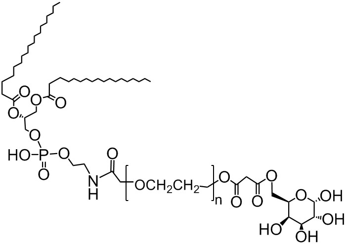
DSPE-PEG-Galactose是一种具有靶向性的纳米材料,其结构包括DSPE(1,2-distearoyl-sn-glycero-3-phosphoethanolamine)和PEG(聚乙二醇)链,以及Galactose(半乳糖)配体。
DSPE-PEG-Galactose的结构中,DSPE是一种磷脂,具有疏水性的脂肪酸尾部和亲水性的磷酸乙醇胺头部。PEG是一种聚合物,具有可调节的链长,能够提供溶解性和生物相容性。Galactose是一种糖类配体,具有与Galactose受体特异结合的能力。
Galactose配体能够与Galactose受体特异结合,使得DSPE-PEG-Galactose能够靶向定位到表达Galactose受体的细胞或组织。DSPE-PEG-Galactose可以与多种Galactose受体结合,举例如下:
1. ASGPR(Asialoglycoprotein receptor):ASGPR是一种在肝脏细胞表面高表达的Galactose受体,它对寡糖和不含N-乙酰半乳糖的糖蛋白具有高亲和力。DSPE-PEG-Galactose可以与ASGPR结合,实现肝细胞的靶向递送和成像。
2. CD22:CD22是一种在B淋巴细胞表面表达的Galactose受体。在B细胞恶性肿瘤中,CD22通常会过度表达。DSPE-PEG-Galactose可以与CD22结合,用于靶向治疗B细胞相关的疾病,如非霍奇金淋巴瘤。
3. LAMP2(lysosome-associated membrane protein 2):LAMP2是一种在肿瘤细胞中高表达的Galactose受体。DSPE-PEG-Galactose可以与LAMP2结合,用于肿瘤细胞的靶向递送和成像。
4. MGL(Macrophage Galactose lectin):MGL是一种在巨噬细胞表面表达的Galactose受体。DSPE-PEG-Galactose可以与MGL结合,用于巨噬细胞的靶向递送和成像。
除了上述的Galactose受体,还有一些其他的Galactose受体在不同的细胞或组织中表达,DSPE-PEG-Galactose也可以与其结合。
DSPE-PEG-Galactose可以作为药物的载体,通过将药物封装在纳米颗粒内部,实现靶向递送和释放。
由于DSPE的疏水性尾部,DSPE-PEG-Galactose能够形成稳定的纳米颗粒,在生物环境中具有较长的循环寿命。
通过调节PEG链的长度和Galactose的表面密度,可以调节DSPE-PEG-Galactose的生物分布、药物释放速率和靶向效果。
同系列试剂推荐:
二硬脂酰基磷脂酰乙醇胺-聚乙二醇-CY7DSPE-PEG-CY7
二硬脂酰基磷脂酰乙醇胺-聚乙二醇-炔基DSPE-PEG-Alkyne
二硬脂酰基磷脂酰乙醇胺-聚乙二醇-葡萄糖DSPE-PEG-Glucose
二硬脂酰基磷脂酰乙醇胺-聚乙二醇-大环配体DSPE-PEG-DOTA
二硬脂酰基磷脂酰乙醇胺-聚乙二醇-聚乙烯亚胺DSPE-PEG-PEI
二硬脂酰基磷脂酰乙醇胺-聚乙二醇-硅烷DSPE-PEG-Silane
二硬脂酰基磷脂酰乙醇胺-聚乙二醇-甘露糖DSPE-PEG-Mannose
二硬脂酰基磷脂酰乙醇胺-聚乙二醇-乳铁蛋白DSPE-PEG-Lactoferrin
二硬脂酰基磷脂酰乙醇胺-聚乙二醇-丙烯酸DSPE-PEG-AC
二硬脂酰基磷脂酰乙醇胺-聚乙二醇-反式环辛烯DSPE-PEG-TCO
二硬脂酰基磷脂酰乙醇胺-聚乙二醇-链霉亲和素DSPE-PEG-Streptavidin
二硬脂酰基磷脂酰乙醇胺-聚乙二醇-靶向穿膜肽DSPE-PEG-cRGD
二硬脂酰基磷脂酰乙醇胺-聚乙二醇-多肽DSPE-PEG-RGD
二硬脂酰基磷脂酰乙醇胺-聚乙二醇-转铁蛋白DSPE-PEG-Transferrin
二硬脂酰基磷脂酰乙醇胺-聚乙二醇-胆固醇DSPE-PEG-Cholesterol
二硬脂酰基磷脂酰乙醇胺-聚乙二醇-二苯基环辛炔DSPE-PEG-DBCO
二硬脂酰基磷脂酰乙醇胺-聚乙二醇-人血清白蛋白DSPE-PEG-HSA
二硬脂酰基磷脂酰乙醇胺-聚乙二醇-磷酸三苯酯DSPE-PEG-TPP
二硬脂酰基磷脂酰乙醇胺-聚乙二醇-醛基DSPE-PEG-CHO
二硬脂酰基磷脂酰乙醇胺-聚乙二醇-吲哚菁绿DSPE-PEG-ICG
本文介绍了DSPE-PEG-Galactose这种具有Galactose配体的磷脂纳米材料,详细阐述了其结构、稳定性、靶向性特点,以及在利用不同Galactose受体进行细胞或组织靶向递送的应用实例。此外,还提到了其作为药物载体的可能性和可通过调整结构参数优化性能的特性。
978

被折叠的 条评论
为什么被折叠?



