0.高精度运动控制背景
一般对于半导体制造的光学量测AOI与检测overlay,系统的重复定位精度尤为关键,会直接影响到光学成像的效果,进而影响算法对缺陷的判断。
而光栅尺作为反馈系统会直接影响到运动,间接影响到系统的重复定位精度,光栅尺的选型对于运动以及整机的性能就显得比较重要了。
那么光栅尺有哪些核心性能以及是如何影响整机的性能呢?
1.光栅尺对运动性能的影响
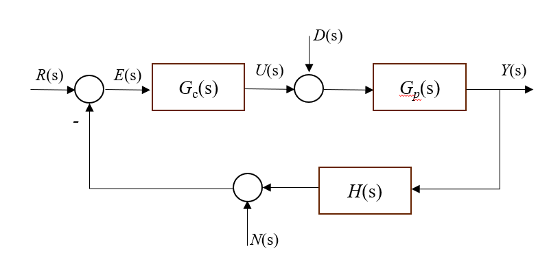
先来看一下简化的运动控制框图:

其中:
1.R(s)是输入的轨迹规划
2.E(s)是光栅尺反馈的位置与轨迹规划的差值,也就是跟随误差
3.是数字控制器的传函
4.U(s)是控制器输出
5.D(s)是系统扰动,一般为地基振动、电气噪声等
6.是plant传函,由运动机构电机+负载机构组成
7.Y(s)是运动系统的输出,与整机系统输出仍存在阿贝误差以及硬件形变等
8.H(s)是反馈系统传函,由于光栅尺的频率非常高,这里的传函一般可以认为是1
9.N(s)是反馈的扰动,一般为光栅尺随机噪声RMS、光栅尺精度以及控制器反馈延时带来的误差等
整理上式可得:

最低0.47元/天 解锁文章
3751

被折叠的 条评论
为什么被折叠?



