吊装工程中的如何计算吊车支腿反力
- 吊车支腿反力的作用
吊车支腿反力是起重机(吊车)在作业时,支腿对地面施加的压力,同时也是地面通过支腿对吊车施加的反作用力。
支腿反力可用于验算地面及地基是否满足吊装工况,地面或基础是否会出现沉降或塌陷。也可用于反映吊车的稳定性,如支腿反力出现负值,则起重机就会出现翘起或倾翻。
2. 支腿反力的计算原理和方法
支腿反力计算的力学原理:吊车工作时,起重臂和吊物的重量会产生倾覆力矩(力矩 = 力 × 力臂)。支腿反力通过提供反向支撑力,抵消这一力矩。
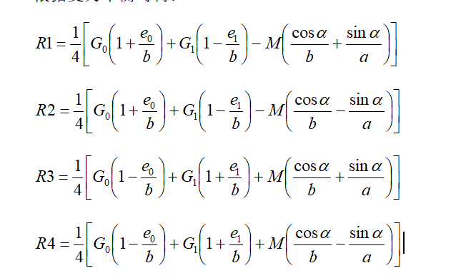
支腿反力的计算,一般参照卢耀祖、郑有畛,《汽车起重机底架刚度对支腿反力的影响[J]》工程机械,1987(8)论文提供的计算公式进行简化计算,假设4条支腿支撑在同一水平面内(如图1),它们的刚度相同且支撑地面的刚度也相同。按如下公式进行计算:
图1 支腿反力简图
根据受力平衡可得:
实际工程应用中,由于以上吊车的参数较难准确得到,并且吊车吊装过程中会转臂,角度会存在多种变化,因此按此公式进行计算,不仅计算量较大,周期长,而且效率低,容易出错。因此我们通常采用专用的软件进行计算。
3. 使用吊装助理进行支腿反力计算
3.1 吊车选择完毕后,直接点击支腿反力计算,吊车和吊装参数自动传递。
3.2 仅需填写吊臂至车尾的投影角度,点击自动计算,就可以得到四条支腿的反力。
可按参数,点击有限元分析,得到有限元的分析的支腿反力,进行对比验证。

3.3 可调整支垫板的尺寸,输入吊物和车臂受到的风载荷,计算支腿地面的压强及核算稳定性。
3.4 可根据回转角度和趴臂长短,计算支腿反力的极值。
3.5 可生成图文并茂的计算书,作为吊装方案的附件,以应对专家评审。

3.6 可将计算结果直接传递地基承载力计算模块,进行地基承载力核算。


714

被折叠的 条评论
为什么被折叠?



