1.带入排除法:

例题:






第二节:数字特性法:





整数特性:


倍数特性:(必须都是整数)
有些不一定是整数


例题:














3.方程法:












不定方程:
顺序:

1.利用奇偶特性解方程

2.利用因子倍数解方程

尾数法:10y的尾数是确定的

例题:













第五节:工程问题:

类型 1:给定时间形





效率制约型:












注意同时开工,同时结束



第二节:行程问题



等距离平均速度:




流水行船:



相遇追击:
相遇

追击:



环形跑道:




两端相遇:









排列组合:




排列:有顺序


组合:无顺序


例题:

从108里面竞选三个人当代表:C108 3
从108里面选三个人竞选大当家,二当家,三当家 :C108 3 X A 3 3 = A 108 3
公式:

选出3个人打水,剩下7个人打游戏,跟选出7个人大游戏,剩3个人打水一样
C m m = 1;
总结:

例题排列:


解法2:

解法3:


捆绑法-相邻问题:将必须捆绑在一起的两个人看成一个人



插空法-不相邻问题:

先排剩下四个,然后从五个空里面选俩空插入
例题:

插板法:




错位排列:


例题:






概率问题:

逆向计算型:

例题:




解析:第一个人可选的位置总数有八个,满足条件的有八个,第二个人可选的位置总数有7个,满足条件的只有一个,分步相乘
同理:







经理利润题目:





分段计费:





最大值问题:



最值问题:
最不利构造: 确保某种情况一定发生




例题:




数列构造:

注意这些人分的都不同



例题:

先排序,构造,求和,反向取数
注意这道题并没有说每个人分的不同

例题:



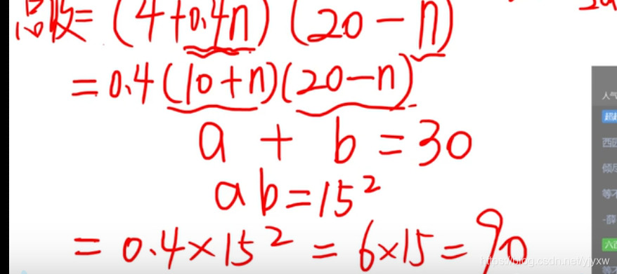
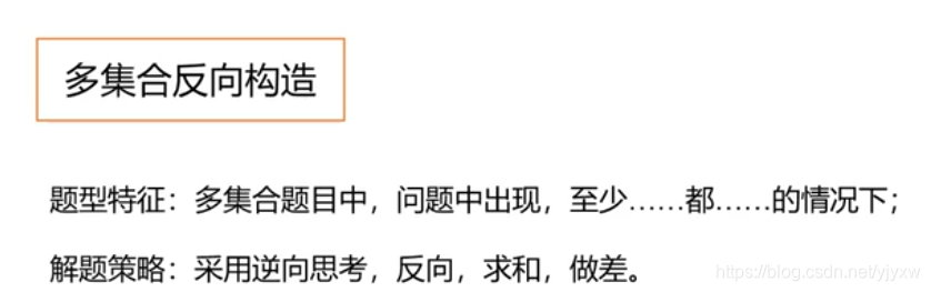
多集合反向构造:

例题:



容斥原理:

公式法:

例题:





画图法解决:

三集合问题:


非标:

例题:



画图法:





几何问题:



例题:



体积:



角度:




相似三角形:


几何构造:

例题:

路线1:

路线二:




年龄问题:






溶液问题:






牛吃草问题:






循环周期类问题:




星期日期问题:





14天中肯定有两个周一,周二,周三,周日
21天中肯定有三个周一,周二,周三....周日



比赛问题:










统筹优化:

平均一下


钟表问题:


求某时刻角度问题:
先找一个准点。想象成追击问题




植树问题:



剪绳问题:


函数问题:

数列:





天平问题:

空瓶换酒:


方阵问题:
本文详细介绍了多种数学应用题目的解题方法,包括带入排除法、数字特性法、方程法、工程问题、行程问题、排列组合、概率问题以及各类特殊问题的解决策略,如最值问题、几何问题、年龄问题等,旨在帮助读者掌握高效解题技巧。
1392

被折叠的 条评论
为什么被折叠?



