算法:贝尔曼-福特算法
1.简介
贝尔曼-福特算法(Bellman–Ford algorithm)是一个查找最短路径算法主要优点是支持负权重,但时间复杂度较高,还会有负权环的问题。
如果不需要权重应该使用广度优先或深度优先算法,如果只需要权重没有负权重,应该使用迪杰斯特拉算法,上面三种算法性能都会比贝尔曼-福特算法好很多。
2.图示
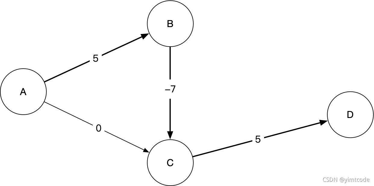
从A去D点路线,A->B->C->D

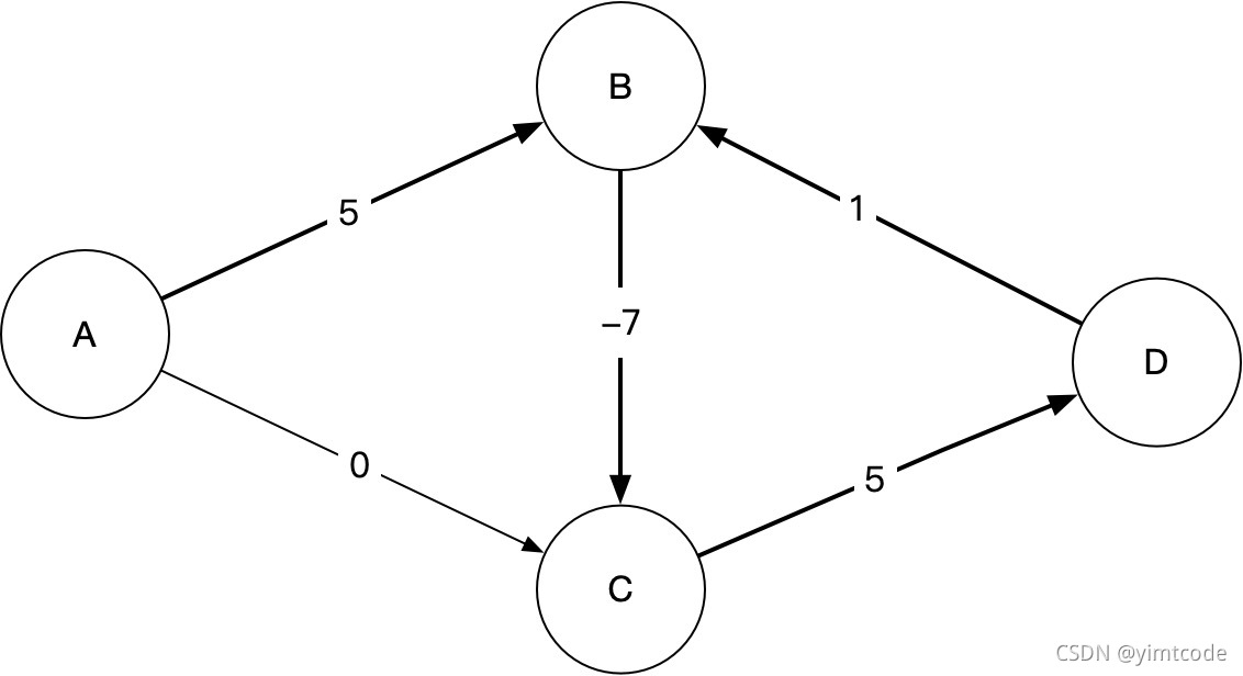
负权环问题
正常情况下A->B->C->D的权重是3,是最近的一条路线。但是如果碰到下面这种情况就会出现回路问题,A->B->C->D时没有问题,下面还会一直D->B->C->D转圈,每转一圈权重就降1出现回路。算法最后需要检查是否出现回路。

3.演示
package main
import (
"fmt"
"math"
)
func main() {
graph := make(map[string]map[string]float32)
graph["A"] = map[string]float32{
"B": 5,
"C": 0,
}
graph["B"] = map[string]float32{
"C": -7,
}
graph["C"] = map[string]float32{
"D": 5,
}
graph["D"] = map[string]float32{
}
distance, parent := bellmanFord(graph, "A")
fmt.Println(distance)
fmt.Println(parent)
}
func bellmanFord(graph map[string]map[string]float32, source string) (distance map[string]float32, parent map[string]string) {
distance = make(map[string]float32)
parent = make(map[string]string)
// 添加当前点到所有节点权重
// 权重为默认类型最大值
for fromName := range graph {
distance[fromName] = math.MaxFloat32
parent[fromName] = ""
}
// 设置自身到自身的权重
distance[source] = 0
for i := 0; i < len(graph)-1; i++ {
for fromName := range graph {
for toName, weight := range graph[fromName] {
currentWeight := distance[fromName] + weight
if distance[toName] > currentWeight {
// 记录最短距离 > 启始到父节点距离 + 父节点到当前子节点距离
distance[toName] = currentWeight
parent[toName] = fromName
}
}
}
}
// 负权环检查
for fromName := range graph {
for toName := range graph[fromName] {
if distance[toName] > distance[fromName] + graph[fromName][toName] {
return nil, nil
}
}
}
return
}
737

被折叠的 条评论
为什么被折叠?



