混合态系综表示:

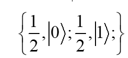
eg1:系综

1/2的概率,处于

1/2的概率,处于

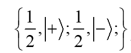
eg2:系综

1/2的概率,处于

1/2的概率,处于

混合态的密度矩阵

混合态系综是统计物理中的重要概念,它描述了系统可能处于多种状态的概率分布。例如,一个系统有50%的可能性处于状态A,50%的可能性处于状态B。这种概率分布可以由混合态的密度矩阵来表示,它是量子力学中研究不纯态系统的关键工具。在量子信息处理和量子计算领域,混合态的研究对于理解和操作复杂量子系统至关重要。

eg1:系综

1/2的概率,处于

1/2的概率,处于

eg2:系综

1/2的概率,处于

1/2的概率,处于

混合态的密度矩阵

2224
406
389

被折叠的 条评论
为什么被折叠?