广度优先搜索算法(也称宽度优先搜索,缩写BFS)是图里面常用的一种遍历算法。这一算法也是很多重要的图的算法的原型。Dijkstra单源最短路径算法和Prim最小生成树算法都采用了和广度优先搜索类似的思想。广度优先算法属于一种盲目搜寻法,目的是系统地展开并检查图中的所有节点,以找寻结果。换句话说,它并不考虑结果的可能位置,彻底地搜索整张图,直到找到结果为止。基本过程,BFS是从根节点开始,沿着树(图)的宽度遍历树(图)的节点。如果所有节点均被访问,则算法中止。一般用数据结构队列来辅助实现BFS算法。
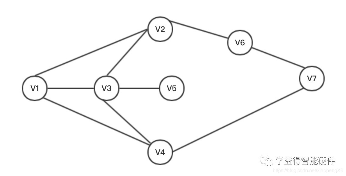
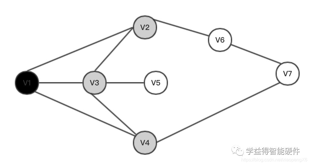
下面给出了一个例子,给大家详细的解析下广度优先是怎么搜索的。给出如图的图形结构(初始化全是白色),寻找v1到v7的最短路径:

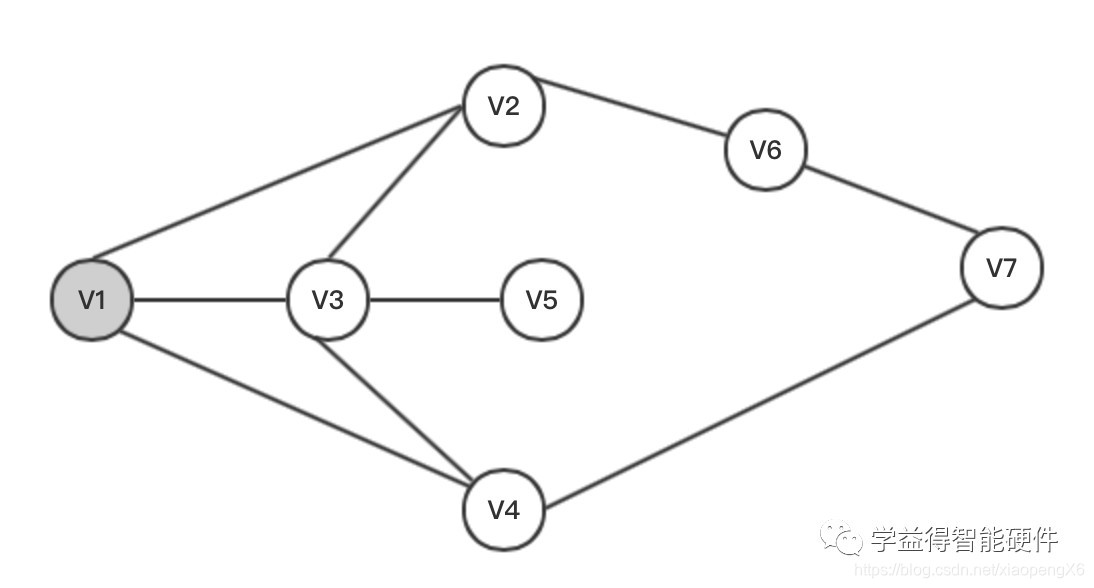
1、访问起点v1(灰色),并且把起点v1的位置信息做进队操作。

2、已经访问了v1(黑色),下面可能的路径有三个,v2、v3、v4(灰色),把三个节点的位置信息同样的做进队操作。此时队列里面的路径已经有三个:v1->v2、v1->v3、v1->v4。
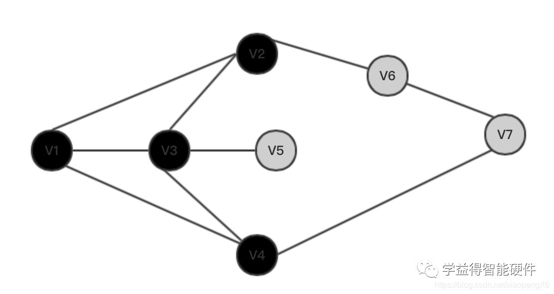
3、对于v2而言,下面可能的路径有两个,v6和v3,但是v3已经访问过了,所以暂时忽略它。于是v6的位置信息进队。同样的,对v5和v7也做进队操作。此时队列里面有三条路径:v1->v2->v6、v1->v3->v5、v1->v4->v7。

4、此时已经访问了v7,于是搜索可以结束。队列里面存放了三条路径只有一条路径包含了v7,而且我们可以肯定的是,该路径也是最短的路径。
看完这个例子,不知道大家有没有感触,总结一下,广度优先算法就是齐头并进,按照所有可能一起搜索下去。而且深度优先算法则跟它完全相反,认准一条路一直走下去,行不通再回来。
下面我们再次借用走迷宫的问题,只不过我们这次配合队列,使用广度优先搜索算法找到一条最佳路径。还是先看下问题:
问题描述:
以一个m*n的矩阵(二维数组)表示迷宫,0和1分别表示迷宫中的通路和障碍。迷宫问题要求求出从入口(0,0)到出口(m,n)的一条通路,或得出没有通路的结论。基本要求:首先实现一个以顺序表作存储结构的队列模型,然后编写一个求迷宫问题的非递归程序,求得最佳通路。其中:(x,y)指示迷宫中的一个坐标,pre表示该节点从哪个节点走过来。左上角(0,0)为入口,右下角(m,n)为出口。
#include <stdio.h>
#define SIZE 1024
struct Box //表示一个格子的位置信息
{
int x; //横坐标
int y; //纵坐标
int pre; //前一个格子再在队列里面存放的位置(下标)
};
typedef struct Box Box;
//顺序队列存放路径的信息
struct Queue
{
Box data[SIZE];
int front;
int rear;
};
typedef struct Queue Queue;
#include <stdio.h>
#define SIZE 1024
struct Box //表示一个格子的位置信息
{
int x; //横坐标
int y; //纵坐标
int pre; //前一个格子再在队列里面存放的位置(下标)
};
typedef struct Box Box;
//顺序队列存放路径的信息
struct Queue
{
Box data[SIZE];
int front;
int rear;
};
typedef struct Queue Queue;
int map[6][6] = {
{0, 0, 0, 1, 1, 1},
{1, 1, 0, 0, 0, 0},
{1, 1, 0, 1, 1, 0},
{1, 1, 0, 0, 0, 0},
{1, 1, 1, 0, 1, 1},
{1, 1, 1, 0, 0, 1},
};
//初始化顺序队列
int InitQueue(Queue *q)
{
q->front = q->rear = -1;
return 1;
}
//进队操作
int push(Queue *q, Box b)
{
if (q->rear == SIZE - 1)
{
return 0;
}
(q->rear)++;
q->data[q->rear] = b;
return 1;
}
//判断队列是否为空
int EmptyQueue(Queue *q)
{
return (q->front == q->rear) ? 1 : 0;
}
//出队操作(只是操作对头指针,元素实际还保留在队列中)
int pop(Queue *q, Box *b)
{
if (q->front == q->rear)
{
return 0;
}
(q->front)++;
*b = q->data[q->front];
return 1;
}
//打印路径
void ShowPath(Queue *q, int front)
{
int p = front, tmp;
while (p != 0)
{
tmp = q->data[p].pre;
q->data[p].pre = -1;
p = tmp;
}
int i;
for (i = 0; i <= q->rear; i++)
{
if (q->data[i].pre == -1)
{
printf("(%d, %d)->", q->data[i].x, q->data[i].y);
}
}
printf("\n");
}
//入口(0,0) 出口(5,4)
int Walk(Queue *q, int x1, int y1, int x2, int y2)
{
Box now;
int i, j, i0, j0;
now.x = x1;
now.y = y1;
now.pre = -1;
push(q, now); //入口信息入队
map[x1][y1] = -1;
while (EmptyQueue(q) != 1)
{
pop(q, &now);
i = now.x;
j = now.y;
if (i == x2 && j == y2) //出口
{
ShowPath(q, q->front);
return 1;
}
int dir;
for (dir = 0; dir < 4; dir++) //循环四次,遍历四个方向 上 右 下 左
{
switch(dir)
{
case 0: //方向上
i0 = i - 1;
j0 = j;
break;
case 1: //方向又
i0 = i;
j0 = j + 1;
break;
case 2: //方向下
i0 = i + 1;
j0 = j;
break;
case 3: //方向左
i0 = i;
j0 = j - 1;
break;
}
//判断该点是否可走
if (i0 >= 0 && j0 >= 0 && i0 <= 5 && j0 <= 5 && map[i0][j0] == 0) //格子可以走
{
now.x = i0;
now.y = j0;
now.pre = q->front;
push(q, now);
map[i0][j0] = -1; //该点已经走过
}
}
}
return 0;
}
int main()
{
Queue queue;
InitQueue(&queue);
if (Walk(&queue, 0, 0, 5, 4) == 0)
{
printf("路径不存在\n");
}
return 0;
}
更多精彩视频、文章、嵌入式学习资料,微信关注 『学益得智能硬件』!

广度优先搜索算法详解
254

被折叠的 条评论
为什么被折叠?



