[] https://www.leiphone.com/news/201705/v10u2BOvGHEbzBpV.html
写在前面:囫囵吞枣看完SVM,个人感觉如果不好好理解一些概念,或说如果知其然而不知其所以然的话,不如不看。因此我想随便写一写,把整个思路简单地整理一遍。: )
SVM与神经网络
支持向量机并不是神经网络,这两个完全是两条不一样的路吧。不过详细来说,线性SVM的计算部分就像一个单层的神经网络一样,而非线性SVM就完全和神经网络不一样了(是的没错,现实生活中大多问题是非线性的),详情可以参考知乎答案。
这两个冤家一直不争上下,最近基于神经网络的深度学习因为AlphaGo等热门时事,促使神经网络的热度达到了空前最高。毕竟,深度学习那样的多层隐含层的结构,犹如一个黑盒子,一个学习能力极强的潘多拉盒子。有人或许就觉得这就是我们真正的神经网络,我们不知道它那数以百千计的神经元干了什么,也不理解为何如此的结构能诞生如此美好的数据 —— 犹如复杂性科学般,处于高层的我们并不能知道底层的”愚群“为何能涌现。两者一比起来,SVM似乎也没有深度学习等那么令人狂热,连Hinton都开玩笑说SVM不过是浅度学习(来自深度学习的调侃)。
不然,个人觉得相对于热衷于隐含层的神经网络,具有深厚的数学理论的SVM更值得让我们研究。SVM背后伟大的数学理论基础可以说是现今人类的伟大数学成就,因此SVM的解释性也非神经网络可比,可以说,它的数学理论让它充满了理性,这样的理性是一个理工科生向往的。就如,你渴望知道食物的来源以确定食物是否有毒,如果有毒是什么毒,这样的毒会在人体内发生了什么反应以致于让你不适 —— 我的理性驱使我这么想,一个来路不明的食物是不能让我轻易接受的。
SVM是什么
简单点讲,SVM 就是个分类器,它用于回归的时候称为SVR(Support Vector Regression),SVM和SVR本质上都一样。下图就是SVM分类:

(边界上的点就是支持向量,这些点很关键,这也是”支持向量机“命名的由来)
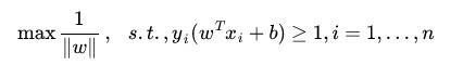
SVM的目的:寻找到一个超平面使样本分成两类,并且间隔最大。而我们求得的w就代表着我们需要寻找的超平面的系数。
用数学语言描述:

这就是SVM的基本型。
SVM的基本型在运筹学里面属于二次规划问题,而且是凸二次规划问题(convex quadratic programming)。
二次规划
二次规划的问题主要用于求最优化的问题,从SVM的求解公式也很容易看出来,我们的确要求最优解。
简介:
在限制条件为

的条件下,找一个n 维的向量 x ,使得

为最小。
其中,c为n 维的向量,Q为n × n 维的对称矩阵,A为m × n 维的矩阵,b为m 维的向量。
其中,根据优化理论,如果要到达最优的话,就要符合KKT条件(Karush-Kuhn-Tucker)。
KKT
KKT是在满足一些有规则的条件下,一个非线性规则问题能有最优解的一个充分必要条件。也就是说,只要约束条件按照这个KKT给出的规则列出,然后符合KKT条件的,就可以有最优解。这是一个广义化拉格朗日乘数的成果。
把所有的不等式约束、等式约束和目标函数全部写为一个式子:
L(a, b, x)= f(x) + a*g(x)+b*h(x)
KKT条件是说最优值必须满足以下条件:
● L(a, b, x)对x求导为零
● h(x) = 0
● a*g(x) = 0
对偶问题
将一个原始问题转换为一个对偶问题,懂的人知道对偶问题不过是把原始问题换了一种问法,从另一角度来求问题的解,其本质上是一样的。就好像我不能证明我比百分之五的人丑,但是我能证明我比百分之九十五的人帅,那样就够了。那么,为啥要用对偶问题,直接求原始问题不好吗?参考一下为什么我们要考虑线性规划的对偶问题?
而二次规划的对偶问题也是二次规划,性质、解法和原来一样,所以请放心。(只做简要介绍)
最后训练完成时,大部分的训练样本都不需要保留,最终只会保留支持向量。这一点我们从图上也能看得出来,我们要确定的超平面只和支持向量有关不是吗?

(你看,只和支持向量有关)
然而,问题又出现了(新解法的出现总是因为新问题的出现),对于SVM的对偶问题,通过二次规划算法来求解的计算规模和训练样本成正比,开销太大。换句话来说,输入数据小的时候还好,不过小数据几乎没啥用,但是数据量大起来又计算量太大,所以就得寻找一种适合数据量大而且计算量小的解法,这个就是SMO。
SMO
SMO,Sequential Minimal Optimization,针对SVM对偶问题本身的特性研究出的算法,能有效地提高计算的效率。SMO的思想也很简单:固定欲求的参数之外的所有参数,然后求出欲求的参数。
例如,以下是最终求得的分类函数,也就是我们SVM的目标:

SMO 算法每次迭代只选出两个分量 ai 和 aj 进行调整,其它分量则保持固定不变,在得到解 ai 和 aj 之后,再用 ai 和 aj 改进其它分量。
如何高效也能通过 SMO 算法的思想看得出来 —— 固定其他参数后,仅优化两个参数,比起之前优化多个参数的情况,确实高效了。然而,与通常的分解算法比较,它可能需要更多的迭代次数。不过每次迭代的计算量比较小,所以该算法表现出较好的快速收敛性,且不需要存储核矩阵,也没有矩阵运算。说白了,这样的问题用 SMO 算法更好。
核函数
我们的SVM目的其实也简单,就是找一个超平面,引用一张图即可表述这个目的:

然而现实任务中,原始样本空间也许并不能存在一个能正确划分出两类样本的超平面,而且这是很经常的事。你说说要是遇到这样的数据,怎么划分好呢:

告诉我你的曲线方程吧,傻了吧~
于是引入了一个新的概念:核函数。它可以将样本从原始空间映射到一个更高维的特质空间中,使得样本在这个新的高维空间中可以被线性划分为两类,即在空间内线性划分。这个过程可以观看视频感受感受,由于是 youtube 所以我截一下图:
这是原始数据和原始空间,明显有红蓝两类:

通过核函数,将样本数据映射到更高维的空间(在这里,是二维映射到三维):

而后进行切割:

再将分割的超平面映射回去:


大功告成,这些就是核函数的目的。
再进一步,核函数的选择变成了支持向量机的最大变数(如果必须得用上核函数,即核化),因此选用什么样的核函数会影响最后的结果。而最常用的核函数有:线性核、多项式核、高斯核、拉普拉斯核、sigmoid核、通过核函数之间的线性组合或直积等运算得出的新核函数。(这里只涉及概念,不涉及数学原理)
软间隔
知道了上面的知识后,你不是就觉得SVM分类就应该是这样的:

然而这也不一定是这样的,上图给出的是一种完美的情况,多么恰巧地两类分地很开,多么幸运地能有一个超平面能将两个类区分开来!要是这两个类有一部分掺在一起了,那又该怎么分啊:

有时候如果你非要很明确地分类,那么结果就会像右边的一样 —— 过拟合。明显左边的两个都比过拟合好多了,可是这样就要求允许一些样本不在正确的类上,而且这样的样本越少越好,”站错队“的样本数量要通过实际来权衡。这就得用上”软间隔“,有软间隔必然有硬间隔,应间隔就是最开始的支持向量机,硬间隔支持向量机只能如此”明确“地分类。特意找来了这个数学解释:

其中一个样本要是”站错队“就要有损失,我们的目的就是:找出总损失值最小并且能大概分类的超平面。而计算一个样本的损失的损失函数也有很多种,例如:hinge损失、指数损失、対率损失等。
以上只是简单地把我学习 SVM 的思路整理了一遍,若有错误之处还请指正。
雷锋网(公众号:雷锋网)相关阅读:
基于Spark如何实现SVM算法?这里有一份详尽的开发教程(含代码)
Facebook AI 队伍再次扩充 聘用业界大拿Vladimir Vapnik
本文介绍了支持向量机(SVM)的基本概念、数学原理及应用。涵盖了SVM与神经网络的区别、二次规划、KKT条件、对偶问题、SMO算法、核函数选择等内容。
1356





