二叉树
概念
二叉树是一种非常重要的数据结构,非常多其他数据结构都是基于二叉树的基础演变而来的。对于二叉树,有深度遍历和广度遍历,深度遍历有前序、中序以及后序三种遍历方法,广度遍历即我们寻常所说的层次遍历。由于树的定义本身就是递归定义,因此採用递归的方法去实现树的三种遍历不仅easy理解并且代码非常简洁,而对于广度遍历来说,须要其他数据结构的支撑。比方堆了。所以。对于一段代码来说,可读性有时候要比代码本身的效率要重要的多。
把它叫做“树”是因为它看起来像一棵倒挂的树,也就是说它是根朝上,而叶朝下的。它具有以下的特点:
(01) 每个节点有零个或多个子节点;
(02) 没有父节点的节点称为根节点;
(03) 每一个非根节点有且只有一个父节点;
(04) 除了根节点外,每个子节点可以分为多个不相交的子树。
四种基本的遍历思想
前序遍历:根结点 —> 左子树 —> 右子树
中序遍历:左子树—> 根结点 —> 右子树
后序遍历:左子树 —> 右子树 —> 根结点
层次遍历:仅仅需按层次遍历就可以
比如。求以下二叉树的各种遍历

前序遍历:1 2 4 5 7 8 3 6
中序遍历:4 2 7 5 8 1 3 6
后序遍历:4 7 8 5 2 6 3 1
层次遍历:1 2 3 4 5 6 7 8
树的基本术语
若一个结点有子树,那么该结点称为子树根的"双亲",子树的根是该结点的"孩子"。有相同双亲的结点互为"兄弟"。一个结点的所有子树上的任何结点都是该结点的后裔。从根结点到某个结点的路径上的所有结点都是该结点的祖先。
结点的度:结点拥有的子树的数目。
叶子:度为零的结点。
分支结点:度不为零的结点。
树的度:树中结点的最大的度。
层次:根结点的层次为1,其余结点的层次等于该结点的双亲结点的层次加1。树的高度:树中结点的最大层次。
无序树:如果树中结点的各子树之间的次序是不重要的,可以交换位置。有序树:如果树中结点的各子树之间的次序是重要的, 不可以交换位置。森林:0个或多个不相交的树组成。对森林加上一个根,森林即成为树;删去根,树即成为森林。
二叉树的五种基本形态:

二叉树的性质
二叉树有以下几个性质:TODO(上标和下标)
性质1:二叉树第i层上的结点数目最多为 2{i-1} (i≥1)。
性质2:深度为k的二叉树至多有2{k}-1个结点(k≥1)。
性质3:包含n个结点的二叉树的高度至少为log2 (n+1)。
性质4:在任意一棵二叉树中,若终端结点的个数为n0,度为2的结点数为n2,则n0=n2+1。
二叉树实现
from graphviz import Digraph
import uuid
from random import sample
# 二叉树类
class BTree(object):
# 初始化
def __init__(self, data=None, left=None, right=None):
self.data = data # 数据域
self.left = left # 左子树
self.right = right # 右子树
self.dot = Digraph(comment='Binary Tree')
# 前序遍历
def preorder(self):
if self.data is not None:
print(self.data,end=' ')
if self.left is not None:
print(self.left,end=' ')
if self.right is not None:
self.right.preorder()
# 中序遍历
def inorder(self):
if self.left is not None:
print(self.left,end=' ')
if self.data is not None:
print(self.data,end=' ')
if self.right is not None:
self.right.inorder()
# 后序遍历
def postorder(self):
if self.left is not None:
self.left.postorder()
if self.right is not None:
self.right.postorder()
if self.data is not None:
print(self.data, end=' ')
# 层序遍历
def levelorder(self):
# 返回某个节点的左子树
def LChild_Of_Node(node):
return node.left if node.left is not None else None
# 返回某个节点的右子树
def RChild_Of_Node(node):
return node.right if node.right is not None else None
# 层序遍历列表
level_order = []
# 是否添加根节点的数据
if self.data is not None:
level_order.append([self])
#二叉树的高度
height = self.height()
if height >= 1:
# 对第二层及其以后的层数进行操作, 在level_order中添加节点而不是数据
for _ in range(2, height + 1):
level = [] # 该层的节点
for node in level_order[-1]:
# 如果左孩子非空,则添加左孩子
if LChild_Of_Node(node):
level.append(LChild_Of_Node(node))
# 如果右孩子非空,则添加右孩子
if RChild_Of_Node(node):
level.append(RChild_Of_Node(node))
# 如果该层非空,则添加该层
if level:
level_order.append(level)
for i in range(0, height): # 层数
for index in range(len(level_order[i])):
level_order[i][index] = level_order[i][index].data
return level_order
#二叉树高度
def height(self):
# 空的树高度为0, 只有root节点的树高度为1
if self.data is None:
return 0
elif self.left is None and self.right is None:
return 1
# 根节点下只有一个分支
elif self.left is None and self.right is not None:
return 1+self.right.height()
elif self.right is None and self.left is not None:
return 1+self.left.height()
else:
return 1+max(self.left.height(),self.right.height())
# 二叉树的叶子节点
def leaves(self):
if self.data is None:
return None
elif self.left is None and self.right is None:
print(self.data, end=' ')
elif self.left is None and self.right is not None:
self.right.leaves()
elif self.right is None and self.left is not None:
self.left.leaves()
else:
self.left.leaves()
self.right.leaves()
#二叉树可视化
def print_tree(self, save_path='./Binary_Tree.gv', label=False):
#略
上述实现的功能:
1.初始化方法:该树存放的数据为data,左子树,右子树为left和right,默认均为None;
2.preorder()方法:递归实现二叉树的先序遍历;
3.inorder()方法:递归实现二叉树的中序遍历;
4.postorder()方法:递归实现二叉树的后序遍历;
5.levelorder()方法:递归实现二叉树的层序遍历;
6.height()方法:计算二叉树的高度;
7.leaves()方法:计算二叉树的叶子结点;
实例二叉树
若我们需要实现图3的示例二叉树,完整的Python代码如下:
from Binary_Tree import BTree
# 构造二叉树, BOTTOM-UP METHOD
right_tree = BTree(6)
right_tree.left = BTree(2)
right_tree.right = BTree(4)
left_tree = BTree(5)
left_tree.left = BTree(1)
left_tree.right = BTree(3)
tree = BTree(11)
tree.left = left_tree
tree.right = right_tree
left_tree = BTree(7)
left_tree.left = BTree(3)
left_tree.right = BTree(4)
right_tree = tree # 增加新的变量
tree = BTree(18)
tree.left = left_tree
tree.right = right_tree
print('先序遍历为:')
tree.preorder()
print()
print('中序遍历为:')
tree.inorder()
print()
print('后序遍历为:')
tree.postorder()
print()
print('层序遍历为:')
level_order = tree.levelorder()
print(level_order)
print()
height = tree.height()
print('树的高度为%s.' % height)
print('叶子节点为:')
tree.leaves()
print()
# 利用Graphviz进行二叉树的可视化
tree.print_tree(save_path='E://BTree.gv', label=True)
输出结果如下
先序遍历为:
18 7 3 4 11 5 1 3 6 2 4
中序遍历为:
3 7 4 18 1 5 3 11 2 6 4
后序遍历为:
3 4 7 1 3 5 2 4 6 11 18
层序遍历为:
[[18], [7, 11], [3, 4, 5, 6], [1, 3, 2, 4]]
树的高度为4.
叶子节点为:
3 4 1 3 2 4
可视结果

总结
二叉树是很多重要算法及模型的基础,比如二叉搜索树(BST),哈夫曼树(Huffman Tree),CART决策树等。
在Python中,已有别人实现好的二叉树的模块,它是binarytree模块,其官方文档的网址为:https://pypi.org/project/binarytree/。其使用的例子如下:

遍历方法:

1.前序遍历
对于当前节点,先输出该节点,然后输出他的左孩子,最后输出他的右孩子。以上图为例,递归的过程如下:
(1):输出 1,接着左孩子;
(2):输出 2,接着左孩子;
(3):输出 4,左孩子为空,再接着右孩子;
(4):输出 6,左孩子为空,再接着右孩子;
(5):输出 7,左右孩子都为空,此时 2 的左子树全部输出,2 的右子树为空,此时 1 的左子树全部输出,接着 1 的右子树;
(6):输出 3,接着左孩子;
(7):输出 5,左右孩子为空,此时 3 的左子树全部输出,3 的右子树为空,至此 1 的右子树全部输出,结束。
2.中序遍历
对于当前结点,先输出它的左孩子,然后输出该结点,最后输出它的右孩子。以上图为例:
(1):1–>2–>4,4 的左孩子为空,输出 4,接着右孩子;
(2):6 的左孩子为空,输出 6,接着右孩子;
(3):7 的左孩子为空,输出 7,右孩子也为空,此时 2 的左子树全部输出,输出 2,2 的右孩子为空,此时 1 的左子树全部输出,输出 1,接着 1 的右孩子;
(4):3–>5,5 左孩子为空,输出 5,右孩子也为空,此时 3 的左子树全部输出,而 3 的右孩子为空,至此 1 的右子树全部输出,结束。
3.后序遍历
对于当前结点,先输出它的左孩子,然后输出它的右孩子,最后输出该结点。依旧以上图为例:
(1):1->2->4->6->7,7 无左孩子,也无右孩子,输出 7,此时 6 无左孩子,而 6 的右子树也全部输出,输出 6,此时 4 无左子树,而 4 的右子树全部输出,输出 4,此时 2 的左子树全部输出,且 2 无右子树,输出 2,此时 1 的左子树全部输出,接着转向右子树;
(2):3->5,5 无左孩子,也无右孩子,输出 5,此时 3 的左子树全部输出,且 3 无右孩子,输出 3,此时 1 的右子树全部输出,输出 1,结束。
4.根据前序遍历中序遍历推导树的结构
已知:
前序遍历: GDAFEMHZ
中序遍历: ADEFGHMZ
求后序遍历
首先,要先画出这棵二叉树,怎么画呢?根据上面说的我们一步一步来……
1.先看前序遍历,前序遍历第一个一定是根节点,那么我们可以知道,这棵树的根节点是G,接着,我们看中序遍历中,根节点一定是在中间访问的,那么既然知道了G是根节点,则在中序遍历中找到G的位置,G的左边一定就是这棵树的左子树,G的右边就是这棵树的右子树了。
2.我们根据第一步的分析,大致应该知道左子树节点有:ADEF,右子树的节点有:HMZ。同时,这个也分别是左子树和右子树的中序遍历的序列。
3.在前序遍历遍历完根节点后,接着执行前序遍历左子树,注意,是前序遍历,什么意思?就是把左子树当成一棵独立的树,执行前序遍历,同样先访问左子树的根,由此可以得到,左子树的根是D,第2步我们已经知道左子树是ADEF了,那么在这一步得到左子树的根是D,请看第4步。
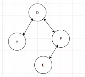
4.从第2步得到的中序遍历的节点序列中,找到D,发现D左边只有一个A,说明D的左子树只有一个叶子节点,D的右边呢?我们可以得到D的右子树有EF,再看前序遍历的序列,发现F在前,也就是说,F是先前序遍历访问的,则得到E是F的左子树,只有一个叶子节点。
5.到这里,我们可以得到这棵树的根节点和左子树的结构了。如下图:

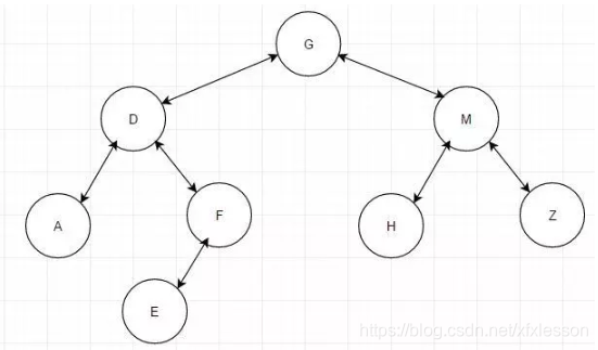
6.接着看右子树,在第2步的右子树中序遍历序列中,右子树是HMZ三个节点,那么先看前序遍历的序列,先出现的是M,那么M就是右子树的根节点,刚好,HZ在M的左右,分别是它的左子树和右子树,因此,右子树的结构就出来了:

7.到这里,我们可以得到整棵树的结构:

5.根据树的中序遍历后序遍历推导树的结构
中序遍历:ADEFGHMZ
后序遍历:AEFDHZMG
1.根据后序遍历的特点(左右中),根节点在结尾,确定G是根节点。根据中序遍历的特点(左中右),确定ADEF组成左子树,HMZ组成右子树。
2.分析左子树。ADEF这四个元素在后序遍历(左右中)中的顺序是AEFD,在中序遍历(左中右)中的顺序是ADEF。根据后序遍历(左右中)的特点确定D是左子树的节点,根据中序遍历(左中右)的特点发现A在D前面,所以A是左子树的左叶子,EF则是左子树的右分枝。
EF在后序(左右中)和中序(左中右)的相对位置是一样的,所以EF关系是左右或者左中,排除左右关系(缺乏节点),所以EF关系是左中。

3.分析右子树。HMZ这三个元素在中序遍历(左中右)的顺序是HMZ,在后序遍历(左右中)的顺序是HZM。根据后序遍历(左右中)的特点,M在尾部,即M是右子树的节点。再根据中序遍历(左中右)的特点,确定H(M的前面)是右子树的左叶子,Z(M的后面)是右子树的右叶子。
所以右子树的形状

4.最后得出整棵树的形状

6.思路
存在中序遍历条件时候,可以找到根节点划分左右根支(前序遍历的头是根节点,后序遍历的尾是根节点)。即:
中序遍历划分为 [ 左子树 | 根节点 | 右子树 ]
前序遍历划分为 [ 根节点 | 左子树 | 右子树 ]
自此可确定 三个节点的关系 :
1.树的根节点、2.左子树根节点、3.右子树根节点(即前序遍历中左(右)子树的首个元素)
本文详细介绍了二叉树的概念、四种基本遍历方法(前序、中序、后序、层次遍历)及其应用,并通过实例展示了如何根据遍历来推导二叉树结构。此外,还探讨了二叉树的性质和基本术语,以及如何在Python中实现二叉树的各种遍历操作。
850

被折叠的 条评论
为什么被折叠?



