【试剂详情】
|
英文名称 |
Biotin-PEG-Hy,Biotin-PEG-Hydrazide |
|
中文名称 |
生物素聚乙二醇酰肼,生物素PEG酰肼 |
|
外观性状 |
由分子量决定,固体或者液体。 |
|
分子量 |
0.4k,0.6k,1k,2k,3.4k,5k,10k(可定制) |
|
溶解性 |
溶于水, 溶于DMF、DMSO等部分有机溶液 |
|
规格 |
可按需包装定制 |
|
纯度 |
95%+ |
|
储存条件 |
干燥、避光,温度不超-20℃ |
|
注意事项 |
现配现用,不可频繁解冻 |
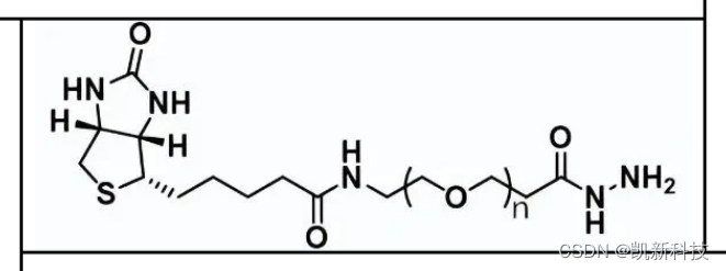
【结构式】西安凯新生物科技Biotin-PEG-Hydrazide结构式
【试剂介绍】
Biotin-PEG-Hydrazide,也被称为生物素-聚乙二醇-酰肼,是一种独特的异双功能聚乙二醇衍生物。在生物医学、药物传递和纳米技术等领域具有广泛的应用前景。
Biotin-PEG-Hydrazide的酰肼基团使其成为一种高效的连接试剂,能够与醛和酮的羰基发生反应,将末端炔基连接到生物分子上。此外,生物素部分使得该化合物能够通过生物素/链霉亲和素结合测定法轻松检测,为分子靶标检测提供了便利。
在应用方面,Biotin-PEG-Hydrazide可用于制备各种生物大分子复合物,如蛋白质-DNA复合物、蛋白质-RNA复合物和蛋白质-抗体复合物等。此外,它还可以用于制备脂质体、纳米颗粒等,为药物传递和纳米技术提供了新的可能性。
【相关试剂】
二乙二醇单十六醚
Peg-2 cetyl ether
CAS号:5274-61-3
分子式:C20H42O3
O-(2-氨基乙基)-O′-(2-叠氮乙基)九聚乙二醇
Azido-PEG10-amine
CAS号:912849-73-1
分子式:C22H46N4O10
Biotin-PEG-Biotin
CAS号:194920-55-3
分子式:C26H44N6O6S2
PEG-16 Oleyl ether
CAS号:25190-05-0
分子式:C20H40O2
四臂-聚乙二醇-Nor
4-arm-PEG-Nor
CAS号:1449275-04-0
O,O'-双(2-羧乙基)十二烷基乙二醇
AmbotzPEG1091
CAS号:892155-64-5
分子式:C30H58O17
注:该试剂仅用于的科学研究,不能用于人体实验或其他治疗型用途。
本文试剂资料由西安凯新生物科技小华编辑整理。
606

被折叠的 条评论
为什么被折叠?



