【试剂详情】
|
英文名称 |
Pyrene-PEG-Pyrene,Py-PEG-Py,Bis Py-PEG |
|
中文名称 |
聚乙二醇二芘丁酸酯,芘丁酸酯-聚乙二醇-芘丁酸酯 |
|
外观性状 |
由分子量决定,固体或者液体。 |
|
分子量 |
0.4k,0.6k,1k,2k,3.4k,5k,10k(可定制) |
|
溶解性 |
溶于水, 溶于DMF、DMSO等部分有机溶液 |
|
规格 |
可按需包装定制 |
|
纯度 |
95%+ |
|
储存条件 |
干燥、避光,温度不超-20℃ |
|
注意事项 |
现配现用,不可频繁解冻 |
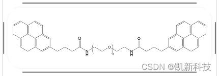
【结构式】西安凯新生物科技Py-PEG-Py结构式

【试剂介绍】
Pyrene-PEG-Pyrene(也被称为聚乙二醇二芘丁酸酯或Py-PEG-Py)是一种新型的生物可降解高分子材料,由两个吡啶基团(Pyrene)和一个聚乙二醇链(PEG)连接而成。这种材料具有独特的化学结构和优良的生物相容性,可以在医药、生物技术和组织工程等领域发挥重要作用。
Pyrene-PEG-Pyrene还可以用于生物成像技术,如荧光成像和磁共振成像。在荧光成像中,它可以作为荧光探针,监测细胞或组织的生理和病理变化。在磁共振成像中,它可以作为磁共振对比剂,提高成像的分辨率和对比度。
此外,Pyrene-PEG-Pyrene还可以作为支架材料,为细胞提供生长和分化的环境,促进组织的再生和修复。同时,它也可以用于合成高分子材料,如聚合物和复合材料,或者作为纳米粒子的稳定剂。在环保领域。
【相关试剂】
Pyrene-PEG-Pyrene
Py-PEG-Py
Bis Py-PEG
Pyrene-PEG-DBCO
DBCO-PEG-Pyrene
Pyrene-PEG-Aminooxy
Pyrene-PEG-Azide
Pyrene-PEG-N3
Pyrene-PEG-Thiol
Pyrene-PEG-SH
Pyrene-PEG-DSPE
DSPE-PEG-Pyrene
Pyrene-PEG-NHS
mPEG-Pyrene
Pyrene-PEG-COOH
Pyrene-PEG-Acid
注:该试剂仅用于的科学研究,不能用于人体实验或其他治疗型用途。
本文试剂资料由西安凯新生物科技小华编辑整理。

被折叠的 条评论
为什么被折叠?



