声明:问题描述来源leetcode
实际上和leetcode102的层序遍历是一样的题目
一、问题描述:
513. 找树左下角的值
难度中等399
给定一个二叉树的 根节点 root,请找出该二叉树的 最底层 最左边 节点的值。
假设二叉树中至少有一个节点。
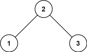
示例 1:

输入: root = [2,1,3]
输出: 1
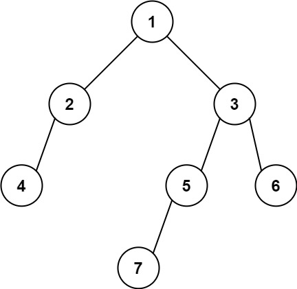
示例 2:

输入: [1,2,3,4,null,5,6,null,null,7]
输出: 7
提示:
- 二叉树的节点个数的范围是
[1,104] -231 <= Node.val <= 231 - 1
二、题解:
思路1
前序遍历,讲每一层数据放入一个子链表里,从左到右依次排列
class Solution {
List<List<Integer>> lists = new LinkedList<>();
public int findBottomLeftValue(TreeNode root) {
lists.add(new LinkedList<>());
searchGoalByOrder(0,root);
return lists.get(lists.size() - 1).get(0);
}
private void searchGoalByOrder(int order, TreeNode root) {
lists.get(order).add(root.val);
if (root.left != null){
if (order + 1 > lists.size() - 1) lists.add(new LinkedList<>());
searchGoalByOrder(order + 1,root.left);
}
if (root.right != null){
if (order + 1 > lists.size() - 1) lists.add(new LinkedList<>());
searchGoalByOrder(order + 1,root.right);
}
}
}
思路2
分析上面的,因为一个子链表只需要看最左边的元素,因此,当一个链表添加了第一个树节点的val值,就拒绝该层的其他树节点的val值即可,省去不必要的插入的操作,降低空间复杂度和时间复杂的。
优化
class Solution {
List<Integer> list = new LinkedList<>();
public int findBottomLeftValue(TreeNode root) {
searchGoalByOrder(0,root);
return list.get(list.size() - 1);
}
private void searchGoalByOrder(int order, TreeNode root) {
if (list.size() <= order) list.add(root.val);
if (root.left != null) searchGoalByOrder(order + 1, root.left);
if (root.right != null) searchGoalByOrder(order + 1, root.right);
}
}
end

本文介绍了一种寻找二叉树最底层最左边节点值的方法。通过两种不同的递归策略实现:一是利用前序遍历将每层节点值存入列表再返回最底层左侧值;二是优化空间复杂度,仅记录每层的第一个节点值。
1525

被折叠的 条评论
为什么被折叠?



