c语言 问题1:
计算1-1/x+1/xx-1/xx*x……

(-1)^1/1 = -1
任何除0以外的数的0次方都是1,0的0次方没有意义。

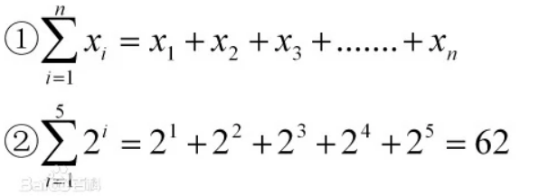
∑下面的小字,如i=1表示从i=1开始求和
上面的小字,如n表示求和到n为止
比如下面写i=1,上面写n,后面写xi(i是下角标)
表示从x1+x2+…+xn
例如1+2+3+4+…+100=5050可以写成
比如下面写i=5,上面写n,后面写xi
表示从x5+x6+…+xn
Sigma(大写Σ,小写σ),是第十八个希腊字母。 在希腊语中,如果一个单字的最末一个字母是小写sigma,要把该字母写成Sigma的小写另一种。在现代的希腊数字代表6。
“西格玛”是希腊字母,也有念作“西玛”“希玛”等各种读法,符号是∑,英文译音是Sigma, 表示数学中的求和号,是数学中常用的符号,主要用于求多项数的和,用∑表示
这篇博客探讨了C语言中的求和公式,包括Σ符号的使用以及指数运算的规则。文章详细解释了任何非零数字的0次方为1的原理,并指出0的0次方未定义。此外,还举例展示了如何用Σ表示序列求和,如1+2+...+100等于5050。同时,讨论了负一的分数次幂和分数次幂的计算方法。

被折叠的 条评论
为什么被折叠?



