最小二乘法拟合圆原理与实现以及在点云数据中的应用
最小二乘法拟合圆原理
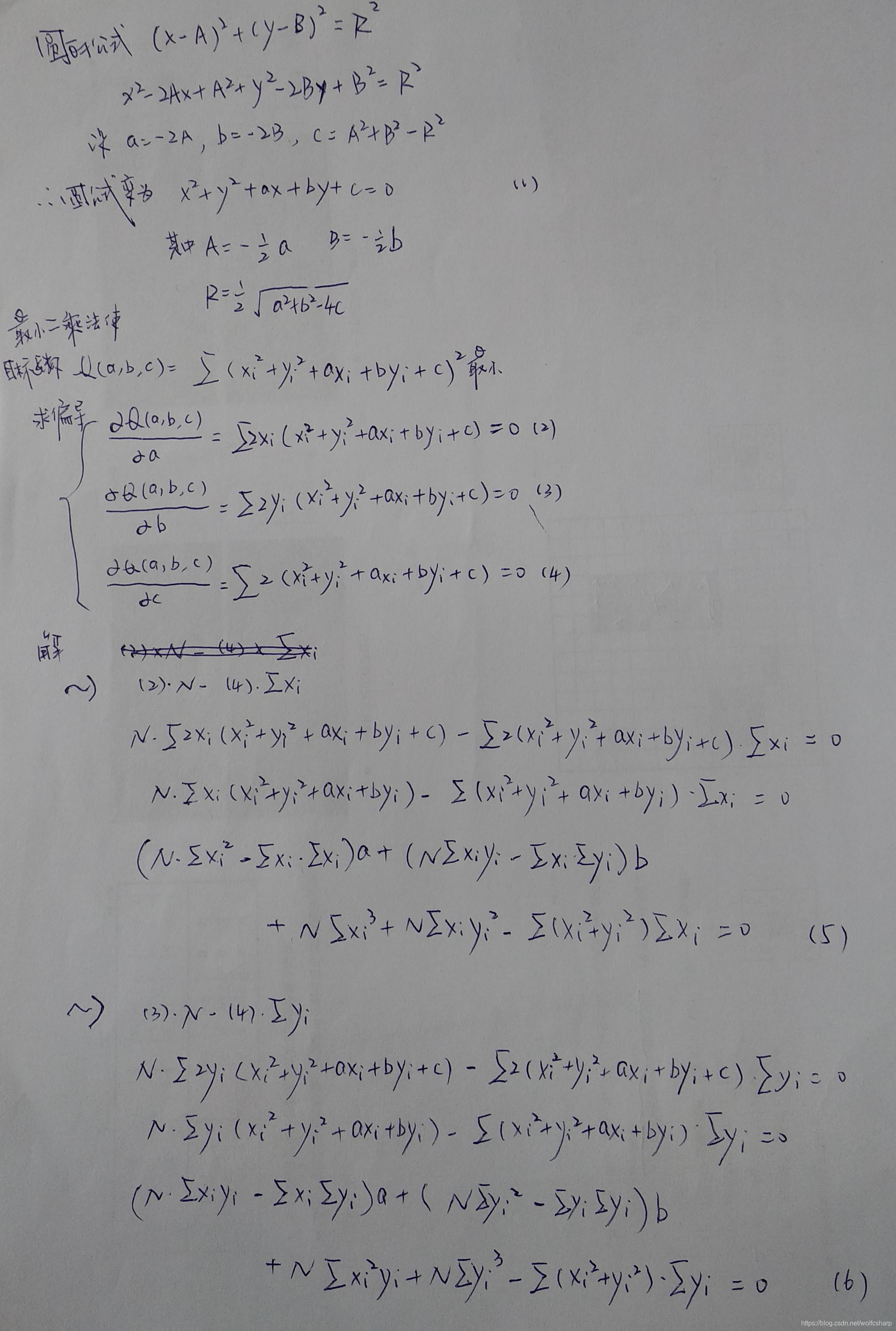
我把原理和公式手推了一遍,如下:

参考blog:
最小二乘法拟合圆公式推导及其实现
最小二乘法拟合圆
C++代码实现with PCL库
bool circleFit(pcl::PointCloud<pcl::PointXYZRGB>::Ptr points_cloud, double *circle_X, double *circle_Y, double *circle_R)
{
int N = points_cloud->size();
if (N < 3)return false;
double sum_X1 = 0.0;
double sum_Y1 = 0.0;
double sum_X2 = 0.0;
double sum_Y2 = 0.0;
double sum_X3 = 0.0;
double sum_Y3 = 0.0;
double sum_X1Y1 = 0.0;
double sum_X1Y2 = 0.0;
double sum_X2Y1 = 0.0;
for (int i = 0; i < N; i++)
{
double x = points_cloud->points[i].x;
double y = points_cloud->points[i].y;
sum_X1 += x;
sum_X2 += x*x;
sum_X3 += x*x*x;
sum_Y1 += y;
sum_Y2 += y*y;
sum_Y3 += y*y*y;
sum_X1Y1 += x*y;
sum_X1Y2 += x*y*y;
sum_X2Y1 += x*x*y;
}
double C = N*sum_X2 - sum_X1*sum_X1;
double D = N*sum_X1Y1 - sum_X1*sum_Y1;
double E = N*sum_X3 + N*sum_X1Y2 - (sum_X2 + sum_Y2)*sum_X1;
double G = N*sum_Y2 - sum_Y1*sum_Y1;
double H = N*sum_X2Y1 + N*sum_Y3 - (sum_X2 + sum_Y2)*sum_Y1;
double a = (H*D - E*G) / (C*G - D*D);
double b = (H*C - E*D) / (D*D - G*C);
double c = -(sum_X2 + sum_Y2 + a*sum_X1 + b*sum_Y1) / N;
*circle_X = -0.5*a;
*circle_Y = -0.5*b;
*circle_R = 0.5*sqrt(a*a + b*b - 4 * c);
return true;
}
在点云模型中的应用
拟合经过边缘检测的鞋子点云,鞋头部分与鞋跟部分

博客介绍了最小二乘法拟合圆的原理,博主手动推导了原理和公式。还给出了使用PCL库的C++代码实现,并阐述了其在点云模型中的应用,如对经过边缘检测的鞋子点云进行拟合,涉及鞋头和鞋跟部分。
1649

被折叠的 条评论
为什么被折叠?



