给你单链表的头节点 head ,请你反转链表,并返回反转后的链表。
示例 1:

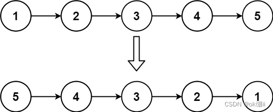
输入:head = [1,2,3,4,5]
输出:[5,4,3,2,1]
示例 2:

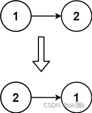
输入:head = [1,2]
输出:[2,1]
示例 3:
输入:head = []
输出:[]
提示:
链表中节点的数目范围是 [0, 5000]
-5000 <= Node.val <= 5000
题解:
/**
* Definition for singly-linked list.
* public class ListNode {
* int val;
* ListNode next;
* ListNode() {}
* ListNode(int val) { this.val = val; }
* ListNode(int val, ListNode next) { this.val = val; this.next = next; }
* }
*/
class Solution {
public ListNode reverseList(ListNode head) {
if (head == null) {
return head;
}
ListNode pre = null;
ListNode curr = head;
while (curr != null) {
ListNode temp = curr.next;
curr.next = pre;
pre = curr;
curr = temp;
}
return pre;
}
}
这篇博客详细介绍了如何使用迭代方式反转单链表,包括具体的Java代码实现和示例输入输出。通过示例代码,可以清晰地理解链表反转的过程,适合想要提升数据结构与算法能力的读者。
787

被折叠的 条评论
为什么被折叠?



