1 概述
在数据库中,除传统的计算资源(如CPU、RAM、I/O等)的争用以外,数据也是一种供许多用户共享的资源。为保证数据的一致性,需要对并发操作进行控制,因此产生了锁 。同时锁机制也为实现MySQL的各个隔离级别提供了保证。锁冲突也是影响数据库并发访问性能的一个重要因素。所以锁对数据库而言显得尤其重要,也更加复杂。
2 MySQL并发事务访问相同记录
并发事务访问相同记录的情况大致可以划分为3种:
2.1 读-读情况
读-读情况,即并发事务相继读取相同的记录 。读取操作本身不会对记录有任何影响,并不会引起什么问题,所以允许这种情况的发生。
2.2 写-写情况
写-写情况,即并发事务相继对相同的记录做出改动。
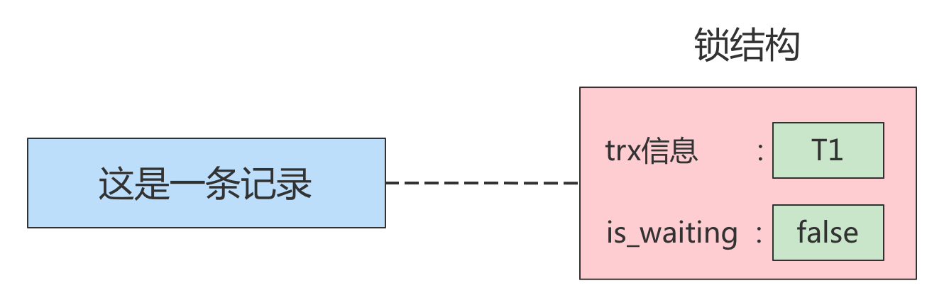
在这种情况下会发生脏写的问题,任何一种隔离级别都不允许这种问题的发生。所以在多个未提交事务相继对一条记录做改动时,需要让它们排队执行 ,这个排队的过程其实是通过锁来实现的。这个所谓的锁其实是一个内存中的结构 ,在事务执行前本来是没有锁的,也就是说一开始是没有锁结构和记录进行关联的,如图所示:

当一个事务想对这条记录做改动时,首先会看看内存中有没有与这条记录关联的锁结构 ,当没有的时候就会在内存中生成一个锁结构与之关联。比如,事务T1 要对这条记录做改动,就需要生成一个锁结构与之关联:



小结几种说法:
- 不加锁
意思就是不需要在内存中生成对应的锁结构 ,可以直接执行操作。
- 获取锁成功,或者加锁成功
意思就是在内存中生成了对应的锁结构 ,而且锁结构的 is_waiting 属性为 false ,也就是事务可以继续执行操作。
- 获取锁失败,或者加锁失败,或者没有获取到锁
意思就是在内存中生成了对应的锁结构,不过锁结构的属性为 true ,也就是事务需要等待,不可以继续执行操作。
2.3 读-写或写-读情况
读-写或写-读 ,即一个事务进行读取操作,另一个进行改动操作。这种情况下可能发生脏读 、 不可重
复读 、 幻读的问题。
各个数据库厂商对SQL标准的支持都可能不一样。比如 MySQL 在 REPEATABLE READ 隔离级别上就已经
解决了幻读问题。
2.4 并发问题的解决方案
怎么解决 脏读 、 不可重复读 、 幻读 这些问题呢?其实有两种可选的解决方案:
- 方案一:读操作利用多版本并发控制( MVCC ,下章讲解),写操作进行加锁 。
普通的SELECT语句在READ COMMITTED和REPEATABLE READ隔离级别下会使用到MVCC读取记录。
- 在 READ COMMITTED 隔离级别下,一个事务在执行过程中每次执行SELECT操作时都会生成一 个ReadView,ReadView的存在本身就保证了 事务不可以读取到未提交的事务所做的更改 ,也就 是避免了脏读现象;
- 在 REPEATABLE READ 隔离级别下,一个事务在执行过程中只有 第一次执行SELECT操作 才会 生成一个ReadView,之后的SELECT操作都 复用 这个ReadView,这样也就避免了不可重复读 和幻读的问题。
- 方案二:读、写操作都采用加锁的方式。
- 小结对比发现:
-
- 采用 MVCC 方式的话,读-写 操作彼此并不冲突,性能更高。
- 采用加锁方式的话,读-写 操作彼此需要 ,影响性能。
一般情况下我们当然愿意采用 MVCC 来解决读-写操作并发执行的问题,但是业务在某些特殊情况下,要求必须采用加锁的方式执行。下面就讲解下MySQL中不同类别的锁。
3 锁的不同角度分类
锁的分类图,如下:

3.1 从数据操作的类型划分:读锁、写锁
- 读锁:也称为 共享锁 、英文用 S 表示。针对同一份数据,多个事务的读操作可以同时进行而不会 互相影响,相互不阻塞的。
- 写锁:也称为 排他锁 、英文用 X 表示。当前写操作没有完成前,它会阻断其他写锁和读锁。这样 就能确保在给定的时间里,只有一个事务能执行写入,并防止其他用户读取正在写入的同一资源。
需要注意的是对于 InnoDB 引擎来说,读锁和写锁可以加在表上,也可以加在行上。
1679

被折叠的 条评论
为什么被折叠?



