第1章 概述
1.1 计算机网络的作用
21世纪的重要特征:数字化、信息化、网络化
三大类网络:通信网络、有线电视网络、计算机网络(核心)。计算机网络逐渐融合了通信网络和有线电视网络的功能,即”三网融合“
Internet:标准译为”因特网“,但更常用”互联网“,意为由数量极大的各种计算机网络互连起来的
互联网具有两个重要基本特点:连通性和共享。互联网之所以能够向用户提供许多服务就是因为互联网具有这两个重要基本特点
连通性:上网用户之间,不管相距多远,都可以非常便捷、非常经济地交换各种信息;
共享:资源共享,可以是信息共享、软件共享、也可以是硬件共享
互联网+:意思是”互联网+各种传统行业“
1.2 互联网概述
计算机网络(网络):由若干结点和连接这些结点的链路组成。结点可以是计算机、集线器、交换机、路由器等。
主机:与网络相连的计算机常称为主机
互连网:网络之间通过路由器互连起来,构成一个覆盖范围更大的计算机网络,即为互连网。互连网是“网络的网络”。
internet(互连网):通用名词,泛指由多个计算机网络互连而成的计算机网络;
Internet(互联网):专用名词,指的是全球最大的、开放的、由众多网络相互连接而成的特定互连网,它采用TCP/IP协议族作为通信规则,前身是美国的ARPANET。
计算机网络基础结构发展的三个阶段:1. 单个网络ARPANET向互连网的发展,互联网的雏形。1983年TCP/IP协议成为ARPANET的标准协议,所有使用该协议的计算机都能够利用互连网相互通信,因而1983年成为互联网的诞生时间;2. 建成了三级结构的互联网:主干网、地区网、校园网;3. 多层次ISP结构的互联网;
ISP:互联网服务提供商(Internet Service Provider),例如我国的中国移动、电信、联通等;IP地址管理机构将一批IP地址租赁给ISP,ISP拥有IP地址、通信线路、路由器等连网设备。“上网”就是指“通过某ISP获得的IP地址接入到互联网”。
三层ISP结构:根据覆盖面积大小和拥有的IP地址数目划分为:主干ISP、地区ISP、本地ISP。本地ISP给用户提供直接的服务。

IXP:互联网交换点(Internet eXchange Point),允许两个网络直接相连并交换分组,而不再需要通过第三个网络转发分组。IXP结构复杂,典型的IXP由一个或多个网络交换机组成,工作在数据链路层,这些网络交换机通过局域网互连起来;
互联网管理机构:ISOC(互联网协会,Internet Society),下有一个技术组织 IAB(Internet Architecture Board),负责管理互联网有关协议的开发;
互联网标准:以RFC(Request For Comments)的形式在互联网上发表;并不是所有的RFC都能成为互联网标准。
互联网正式标准的三个阶段:互联网草案(Internet Draft),建议标准(Proposed Standard),互联网标准(Internet Standard)
1.3 互联网的组成
边缘部分:由连接在互联网上的主机组成,是用户直接使用的,进行通信和资源共享
核心部分:由大量网络和连接这些网络的路由器组成,为边缘部分提供服务,如连通性和交换功能
- 边缘部分
端系统:边缘部分的主机,PC、手机、摄像头或大型计算机
计算机之间的通信:主机A的某个进程与主机B的另一个进行通信,分为C/S方式和P2P方式
- 核心部分
重点:路由器
路由器:专用计算机(不能称为主机),用于实现分组交换,即转发收到的分组;
电路交换
交换机:使用电话交换机将众多电话连接起来,构成电信网。
电路交换:双方将建立一条专用的物理通路,独占通信资源。这种经过“建立连接-通话-释放连接”三个步骤的交换方式称为电路交换。
特点:使用交换机;效率低下;
分组交换
分组:使用存储转发技术。要发送的整块数据被称为一个报文(message),将报文分成多个数据段,每个数据段加上含有控制信息的首部(header)后,就构成了一个分组(packet)。分组又称为“包”,首部又称为“包头”;
分组交换:路由器收到一个分组后,先存储一下(内存),根据首部中的目的地址查找转发表,然后通过合适的端口将分组转发给另一个路由器,直至目的地
高速链路:核心部分的路由器之间一般通过高速链路连接,而主机接入到核心部分一般采用速率较低的链路
资源占用:分组在哪段链路上传输才占用这段链路的通信资源,而不会占用端到端的整条链路资源
特点:高效、灵活、迅速、可靠,但具有时延(等待存储转发)和额外的开销
报文交换:和分组交换类似,但是整个报文的存储转发
1.5 计算机网络的分类
- 按照网络的作用范围分类
广域网(WAN,Wide Area Network):互联网的核心部分,可跨国家,远距离传输
城域网(MAN,Metropolitan Area Network):作用范围一般是一个城市,可跨城市,常采用以太网技术
局域网(LAN,Local Area Network):较小范围。如学校和公司的局域网,又称为校园网和企业网
个人区域网(PAN,Personal Area Network):常称为无限个人区域网WPAN(Wireless PAN),范围很小,10m左右
- 按照网络的使用者分类
公用网:电信公司出资建造的大型网络,任何人都可以缴费使用
专用网:某个部门为自身需要建造,不对外界开放
- 接入网
接入网(AN,Access Network),又称为本地接入网或居民接入网,既不属于边缘部分也不属于核心部分。
接入网是从某个用户端系统到第一个路由器之间的一种网络。有多种宽带接入技术。
1.6 计算机网络的性能
速率
速率指的是数据的传送速率,也称为数据率、比特率,单位bit/s(b/s,bps);最重要的指标
4*1010 bit/s 记为 40Gbit/s
网络的速率一般是指额定速率或标称速率
| 单位 | 全称 | 大小 | 中文 |
|---|---|---|---|
| b | bit | 100 | 比特 |
| k | kilo | 103 | 千 |
| M | Mega | 106 | 兆 |
| G | Giga | 109 | 吉 |
| T | Tera | 1012 | 太 |
| P | Peta | 1015 | 拍 |
| E | Exa | 1018 | 艾 |
| Z | Zetta | 1021 | 泽 |
| Y | Yotta | 1024 | 尧 |
在计算速率时,是以10n作为换算,单位是bit
在计算存储时,是以2n作为换算,单位是Byte
带宽
- 某个信号具有的频带宽度
信号的带宽是指该信号所包含的各种不同频率成分所占据的频率范围
例如,在传统的通信线路上传送的电话信号的标准带宽是 3.1kHz,表示从300 Hz到 3.4 kHz,单位是赫兹
信道允许通过的信号频带范围就称为该信道的带宽
- 在计算机网络中,带宽用来表示网络中某通道传送数据的能力
网络带宽表示在单位时间内网络中的某信道所能通过的**“最高数据率”**。单位是数据率的单位bit/s
在“带宽”的上述两种表述中,前者为频域称谓,而后者为时域称谓,其本质是相同的。也就是说,一条通信链路的“带宽”越宽,其所能传输的“最高数据率”也越高
吞吐量
单位时间内通过某个网络(或信道、接口)的实际的数据量
吞吐量受网络的带宽或网络的额定速率的限制。对于 1 Gbit/s 额定速率的以太网,它的吞吐量 <= 1 Gbit/s
时延
指数据从一端到另一端的时间
- 发送时延
是主机或路由器发送数据帧所需要的时间;即从发送第一个比特到发送完最后一个比特的时间;
发送时延发生在机器内部的发送器(一般指网络适配器)中

- 传播时延
电磁波在信道中传播一定的距离需要花费的时间

- 处理时延
主机或路由器在收到分组时要花费一定的时间进行处理
- 排队时延
分组在路由器确定了转发接口后还要在输出队列中排队等待转发
例题:假定有一个长度为100 MB 的数据块,在带宽为1 Mbit/s的信道上连续发送(即发送速率为1Mbit/s),求发送时延?
答案:838.9s
通常所说的“光纤信道的传输速率高”是指可以用很高的速率向光纤信道发送数据
而光纤信道的传播速率实际上还要比铜线的传播速率略低一点。
时延带宽积

将传播时延看作管道的长度,带宽看作管道横截面面积,时延带宽积就相当于管道的体积
它表示信道所能容纳的比特数。又称为“以比特为单位的链路长度”
往返时间RTT
假设A收到确认消息后才能发送下一个数据,等待的往返时间为RTT,那么

利用率
信道利用率:信道有百分之几的时间是被利用的
网络利用率:全网络的信道利用率的加权平均值
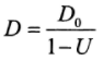
高的信道利用率也会导致时延的增加

D0是空闲的时延,D表示当前时延,U表示网络利用率
1.7 计算机网络体系结构
网络协议(协议):为进行网络中数据交换而建立的规则、标准或约定称为网络协议;(如发送应答就是一个规则)
协议是“水平的”,即协议是控制对等实体之间通信的规则
协议数据单元 PDU (Protocola Data Unit):OSI把对等层次之间传送的数据单位称为该层的 PDU,这是水平的
服务数据单元SDU (Service Data Unit):OSI 把层与层之间交换的数据的单位称为SDU,这是垂直的
语法: 数据与控制信息的结构或格式
语义: 需要发出何种控制信息,完成何种动作以及作出何种响应
同步: 事件实现顺序的详细说明
计算机网络体系结构:计算机网络的各层及其协议的集合就是网络的体系结构。
注意:只有OSI和TCP/IP体系结构,前者复杂不实用,后者的网络接口层无具体内容;五层协议的体系结构只是为介绍网络原理而设计的,实际应用还是TCP/IP四层体系结构。

(等学完后面的章节再回头来看这部分内容)
第2章 物理层
2.1 物理层
物理层规程:指物理层协议
物理层功能:屏蔽传输媒体和通信手段的差异,使数据链路层只需考虑本层的协议和服务
数据在计算机内部多采用并行传输的方式,在通信线路多是串行传输
2.2 数据通信的基础知识
术语概念

数据通信系统组成
- 源系统(或发送端、发送方)
源点:产生要传输的数据,即数字比特流
发送器:源点生成的数字比特流要通过发送器编码后才能够在传输系统中进行传输。典型的发送器就是调制器。现在很多计算机使用内置的调制解调器(包含调制器和解调器)
-
传输系统(或传输网络)
-
目的系统(或接收端、接收方)。
接收器:典型的是解调器,将模型信号还原成数字比特流
终点:又称目的站、信宿
信号:通信的目的是传递消息,数据是运送消息的实体,信号则是数据的电气或电磁表现
模拟信号:连续信号,调制器处理后数字信号变为模拟信号
数字信号:离散信号,未经调制器处理前、源点发出的一般是数字信号
码元:使用时域的波形表示数字信号时,代表不同离散数值的基本波形就称为码元。二进制编码时,只有两种码元,分别代表0和1
信道:向某一方向传送消息的媒体;一条通信电路往往包括一条发送信道和一条接收信道
通信方式:
单向通信:单工通信
双向交替通信:半双工通信,双方都可以发送消息,但不能同时发送
双向同时通信:全双工通信
基带信号:来自信源的信号
调制:基带信号往往包含有较多的低频成分,甚至有直流成分,许多信道并不能传输这种低频分量或直流分量。因此需要对基带信号进行调制(modulation)。
- 基带调制:仅仅对基带信号的波形进行变换,使它能与信道特性相适应,变换后仍为基带信号,称为基带调制、编码
- 带通调制:使用载波(carrier)(单一频率的连续信号,如正弦波)进行调制,把基带信号的频率范围搬移到较高的频段,并转换为模拟信号。经过载波调制后的信号称为带通信号(即仅在一段频率范围内能够通过信道),而使用载波的调制称为带通调制。
基带调制(编码方式)

不归零制:正电平代表1,负电平代表0。
归零制:正脉冲代表1,负脉冲代表0。
曼彻斯特编码:位周期中心的向上跳变代表0,位周期中心的向下跳变代表1。但也可反过来定义。
差分曼彻斯特编码:在每一位的中心处始终都有跳变。位开始边界有跳变代表0,而位开始边界没有跳变代表1。
带通调制

调幅(AM):即载波的振幅随基带数字信号而变化。例如,0或1分别对应于无载波或有载波输出。
调频(FM):即载波的频率随基带数字信号而变化。例如,0或1分别对应于低频和高频。
调相(PM):即载波的初始相位随基带数字信号而变化。例如,0或1分别对应于相位0度或180度。
其他:振幅相位混合调制方法,如正交振幅调制
信道的极限容量
在任何信道中,码元传输的速率是有上限的,传输速率超过此上限,就会出现严重的码间串扰的问颗,影响接收端对码元的识别
如果信道的频带越宽,能够通过的信号高频分量越多,那么就可以用更高的速率传送码元而不出现码间串扰
信噪比:信号强,噪声影响小。信噪比就是信号的平均功率和噪声的平均功率之比。记为S/N,以分贝(dB)作为度量单位
例如:S/N=10,则信噪比为10dB;S/N=1000,则信噪比为30dB
香农公式:信道的带宽或信道中的信噪比越大,信息的极限传输速率就越高

C是极限信息传输速率,W是带宽
影响极限容量的因素:带宽、信噪比——当这2个因素无法改变时,可以通过让每一个码元携带更多比特的信息量来提高C
2.3 传输媒体
传输媒体:发送器和接收器之间的物理通路

- 导引型传输媒体
双绞线,又称双扭线:最古老、使用最多;铜制;屏蔽双绞线,在外加上一层金属丝编织成的屏蔽层,可增加抗干扰能力
同轴电缆:内导体铜质芯线、绝缘层、网状编织的外导体屏蔽层、保护塑料外层所组成;传输较高速率的数据
光缆:利用光导纤维(光纤)传递光脉冲,有光脉冲为1,无光脉冲为0;光纤材料为石英玻璃,折射传播,速率极快,用于各种主干网
- 非导引型传输媒体:无线传输
微波通信:地面微波接力通信和卫星通信
2.4 信道复用技术
通过复用器和分用器完成
- 频分复用FDM:用户在同样的时间占用同一信道上不同的带宽资源(将带宽分为多个频带)。用户越多,总带宽变宽
- 时分复用TDM:用户不同的时间占用同样的频带宽度(通过分时技术,循环服务各用户)。TDM帧代表一个周期时间,有多少用户,TDM帧被分成多少段
- 统计时分复用STDM:多个用户的数据被集中器(智能复用器)合在一起,使得STDM帧的时隙数小于实际用户数,每个STDM帧的时隙数不再固定。STDM又被称为异步时分复用,TDM又被称为同步时分复用

- 波分复用WDM:光的频分复用,两种或多种不同波长的光载波信号在发送端经复用器(合波器)汇合在一起
- 码分复用CDM:指码分多址CDMA,用户使用不同码型实现信道共享,具有可靠性、抗干扰的特点
将每一个bit转换成m个bit的码片,如用8 bit码片序列00011011表示比特 1,反码表示 0;这是扩频通信的一种
常用-1代替码片中的0,要求每个站点的码片序列必须各不相同,且正交
本站码片与其他站的码片/码片反码内积为0
本站码片与本站码片/码片反码规格化内积为1/-1
例题:CDMA计算

计算方法:接收站收到的码片序列与各站的码片序列内积,再除以码片长度 m,得到 1和-1 分别代表比特 1和0
2.5 数字传输系统
问题:速率标准不统一 和 不是同步传输(时钟频率偏差)
同步光纤网(SONET, Synchronous Optical Network):整个的同步网络的各级时钟都来自一个非常精确的的主时钟
同步数字系列(SDH, Synchronous Digital Hierarchy):从SONET发展而来,存在速率上的区别
SDH/SONET定义了标准光信号
2.6 宽带接入技术
有线宽带接入技术:用户连接到ISP
- ADSL技术
非对称数字用户线ADSL技术是用数字技术对现有的模拟电话用户线进行改造,使它能够承载宽带数字业务。
ADSL在用户线(铜线)的两端各安装一个ADSL调制解调器;采用离散多音调DMT (Discrete Multi-Tone)调制技术,即多载波;
ADSL技术把0~4 kHz低端频谱留给传统电话使用,而把原来没有被利用的高端频谱留给用户上网使用。采用频分复用,划分出25个上行信道和249个下行信道,并使用不同的载波进行数字调制
基于ADSL的接入网由三大部分组成:
(1)数字用户线接入复用器DSLAM,它包含许多ADSL调制解调器
(2)ADSL 调制解调器:又称为接入端接单元ATU (Access TerminationUnit)。包括用户端的ATU-C和远端的ATU-R。
(3)电话分离器:用户电话通过电话分离器和ATU-R连在一起,经用户线到端局

- 光纤同轴混合物(HFC网)
有线电视网的基础上开发的一种居民宽带接入网,除可传送电视节目外,还能提供电话、数据和其他宽带交互型业务
最早的有线电视网是同轴电缆网络,采用模拟技术的频分复用对电视节目进行单向广播传输,改造后成为HFC网

机顶盒:连接在同轴电缆和用户的电视机之间,使模拟电视机能够接收数字电视信号;为了利用HFC网,还需要在机顶盒内部或外部按照电缆调制解调器
- FTTx技术
光纤到户、光纤到路边等等
第3章 数据链路层
数据链路层有两种信道:点对点信道,广播信道
数据链路层:研究在同一个局域网中,分组怎么从一台主机传送到另一台主机,并不经过路由转发;
网络层:研究分组怎么从一个网络,通过路由器,传送到另一个网络
从整个互联网来看,局域网仍属于数据链路层的范围。
主机通信时,路由器只涉及到物理层、链路层、网络层三层

3.1 点对点信道的数据链路层
链路:从一个结点到相邻结点的一段物理线路(有线或无线),而中间没有任何其他的交换结点。数据交换经过多段链路。
数据链路:数据的传输需要一些必要的通信协议来控制,将实现这些协议的硬件和软件加到链路上,就构成了数据链路
- 网络适配器:实现数据链路最常用的方法,网络适配器既包含硬件也包含软件,能够实现通信协议。一般的适配器包括物理层和数据链路层这两层的功能
帧:数据链路层的协议数据单元。
数据链路层把网络层交下来的数据构成帧发送到链路上,以及把接收到的帧中的数据取出并上交给网络层。
1. 封装成帧

首部和尾部:在一段数据的前后分别添加首部和尾部,这样就构成了一个帧,作用:
- 帧定界:确定帧的界限;确认帧的完整性;
- 携带控制信息
数据链路层协议规定了帧首部和帧尾部的格式、所能传送的帧的数据部分长度上限—―最大传送单元MTU
帧定界符:当数据是由ASCII码组成的文本文件时,使用SOH(0x01)和EOF(0x04)作为帧定界符,这两个字符不可打印(无法通过键盘输入),因为不会和文本内容冲突

2. 透明传输
问题:当帧的数据是文本文件时,不会和SOH、EOF冲突;但帧的数据是二进制时,是有可能冲突的,这将导致仅接收部分帧
数据链路层的透明传输:无论什么样的比特组合的数据,都能够按照原样没有差错地通过这个数据链路层
解决方案:字符填充,又称字节填充,指在SOH、EOF前填充一个转义字符ESC(0x1B);如果数据也包含ESC,那就再插入一个ESC
发送端填充转义字符,接收端删除这些填充的转义字符(连续两个,删除前一个)

3. 差错检测
比特差错:比特在传输过程中可能产生差错,如从1变成0。比特差错是传输差错中的一种(主要讨论的一种)
误码率BER:传输错误的比特数占传输的比特总数的比率。提高信噪比,可以减少误码率
循环冗余检验CRC:数据链路层广泛使用的差错检测技术
- 方法:在数据后面添加n位冗余码。
- 冗余码的计算:通信双方事先约定一个n+1位的除数,(原始数据+n个0)/ 除数,将得到一个n位的余数,这个余数就是冗余码;
这样的冗余码又称为帧检验序列FCS - 例如:数据M=101001,约定的除数为P=1101,模2运算(不进位不退位)后得到商Q=110101,余数R=001,那么余数R就是冗余码,即FCS;最终传输的数据就是:M+R = 101001001
- 接收端收到数据后,除以同样的除数,余数 = 0,则表示无差错;余数 != 0,表示出现差错
- 发送端FCS的生成和接收端CRC检验都是硬件完成的,处理很快

可靠传输:数据链路层的发送端发送什么,在接收端就收到什么
数据链路层并不能保证可靠传输,只能解决传输差错中的比特差错,保证“接受的帧无差错”
其他传输差错还有:帧丢失、帧重复、帧失序
数据链路层的协议并不是可靠传输的协议,可靠传输在传输层处理,这样做是为了提高通信效率
3.2 点对点协议PPP
高级数据链路控制HDLC:数据链路层过去使用的协议,能保证可靠传输
点对点协议PPP:目前使用最广泛,不保证可靠传输
PPP协议:用户通过宽带接入技术接入到某个ISP后才能上网。PPP协议就是用户计算机和ISP进行通信时所使用的数据链路层协议

PPP协议应满足的要求:1. 简单(首要需求);2. 封装成帧; 3. 透明传输;4. 差错检测;5. 支持多种网络层协议;6. 支持在多种链路上运行;7. 检测连接状态,即链路是否处于正常工作状态;8. 设置最大传送单元MTU(指数据部分);9. 网络层地址协商(?);10. 数据压缩协商(未标准化)
PPP协议不需要的功能:纠错、设置序号、流量控制
PPP协议的组成:
-
一个将IP数据报封装到串行链路的方法:支持异步链路(时钟不同步,每次8比特数据)和同步链路(时钟同步,连续的比特流)
-
链路控制协议LCP(Link Control Protocol):建立、配置和测试数据链路连接
-
一套网络控制协议NCP (Network Control Protocol):其中的每一个协议支持不同的网络层协议,如IP、OSI的网络层等。
PPP协议的帧格式:

-
F:Flag,标志字段,0x7E(01111110),PPT帧的定界符,标志开始或结束
-
A:Address,地址字段,0xFF(11111111),实际上未使用
-
C:Control,控制字段,0x03,和A一样,实际上未使用
-
协议:0x0021表示IP数据报;0xC021表示LCP的数据;0x8021表示网络层的控制数据
-
FCS:帧检验序列
字节填充:PPP使用异步传输时,它把转义符定义为0x7D(即01111101),并使用字节填充(1字节填充为2字节)
- 0x7E 填充为 (0x7D,0x5E)
- 0x7D 填充为 (0x7D,0x5D)
- ASCII码的控制字符(即数值小于0x20的字符),则填充+修改编码;如 0x03 填充为 (0x7D,0x23)
零比特填充:PPP协议在SONET/SDH链路上使用同步传输(一连串比特连续传送)而不是异步传输(逐个字符传送),使用零比特填充
- 发送端:每发现连续的5个1,就填入1个0
- 接收端:每发现连续的5个1,就删除5个1后面的0
PPP协议的工作状态:1. 建立用户到ISP的物理连接;2. 发送LCP分组(封装成多个PPP帧),建立LCP连接;3. 发送NCP分组,配置网络层。NCP给新接入的用户个人电脑分配一个临时的IP地址用于上网;4. 通信;5. NCP释放网络层连接,收回IP;6. LCP释放数据链路层连接;7. 释放物理层连接

-
链路静止状态:起始状态和终止状态。
-
链路建立状态:1. 用户个人电脑通过调制解调器呼叫路由器,路由器检测到载波信号,于是建立物理连接。2. 物理连接建立之后,进入“链路建立”状态,目的:建立链路层的LCP连接。3. LCP协商配置选项,发送LCP的配置请求帧
- 配置确认帧(Configure-Ack):所有选项都接受
- 配置否认帧(Configure-Nak):所有选项都理解但不能接受
- 配置拒绝帧(Configure-Reject):选项有的无法识别或不能接受,需要协商
LCP配置选项包括链路的最大帧长、所使用的鉴别协议(authentication protocol)、以及不使用PPP帧中的地址和控制字段
-
鉴别(authentication)状态:只允许传送LCP协议的分组、鉴别协议的分组以及监测链路质量的分组;鉴别协议有口令鉴别协议PAP和口令握手鉴别协议CHAP
-
网络层协议状态:双方的网络层可以运行不同的协议,并进行协商。如果是IP协议,PPP链路的每一端配置IP协议模块时就使用NCP中支持IP的协议—IP控制协议IPCP;IPCP分组也封装成PPP帧
-
链路打开状态:双方可发送分组;其中,回送请求LCP分组和回送回答LCP分组用于检测链路状态;终止请求LCP分组和终止确认LCP分组用于终止链路连接;
-
链路终止状态:收到终止确认LCP分组后转为链路终止状态。调制解调器的载波停止后,则回到链路静止状态
PPP协议包含已不是纯粹的数据链路层协议,还包含物理层和网络层的内容
3.3 广播信道的数据链路层(局域网)
局域网
局域网使用的就是广播信道,局域网的特点是:网络为一个单位所拥有,且地理范围和站点数目均有限
局域网的工作层次是跨越了物理层和数据链路层
主要优点:具有广播功能,从一个站点可以很方便地访问全网
局域网的分类:按网络拓扑分为:星形网、环状网、总线网

共享信道:
- 静态划分信道:频分、时分、波分、码分等。代价大,不适合在局域网中使用
- 动态媒体接入控制(多点接入):信道并非在用户通信时固定分配给用户
- 随机接入:用户随机发送消息,如果2个用户同时发送,产生碰撞。需要有解决碰撞的协议
- 受控接入:不能随机发送,服从一定的控制,如多点线路轮询
以太网:100Mbit/s,1Gbit/s等,传统以太网是10Mbit/s;大多数局域网采用,以太网几乎成为局域网的代名词。
-
两个标准:DIX Ethernet V2 和 IEEE的802.3标准,区别不大;
-
IEEE 802委员会将局域网的数据链路层拆分成两个子层,即逻辑链路控制LLC层和媒体接入控制MAC层

现在TCP/IP体系常用DIX Ethernet V2标准,LLC失去作用,很多适配器仅有MAC协议而无LLC协议,不再考虑LLC层
适配器:计算机与外界局域网的连接是通过通信适配器进行的,又称为网络接口卡(NIC)、网卡,现在是内嵌再计算机主板上

- 装有处理器和存储器,存储器包括RAM和ROM
- 适配器和局域网的通信:电缆或双绞线;串行传输
- 适配器和计算机的通信:计算机主板上的I/O主线;并行传输
- 适配器的功能:数据串行传输和并行传输的转换;数据缓存,解决数据率不一致;安装驱动程序到OS;实现以太网协议
- 适配器的工作:接收到有差错的帧,丢弃且不必告知计算机;接收到正常的帧,中断通知计算机,并上交网络层;将网络层的数据封装成帧后发送到局域网
- 计算的硬件地址(MAC地址)在适配器的ROM中,软件地址(IP地址)在计算机的存储器中
CSMA/CD协议
最早:所有计算机连接在一条总线上,一台计算机发送消息,其他计算机都能收到,即广播通信方式
适配器地址:广播通信并不是总是需要,为了解决这个问题,为每个适配器分配一个唯一的地址;收到数据帧时查看源地址决定是否接收
以太网:
-
无连接方式;适配器对发送的数据帧不进行编号,也不要求对方发回确认;是尽最大努力的交付,即不可靠的交付
(即便上层采用TCP协议,会发送重传帧,但以太网并不知道这是重传帧,而是当作新的数据帧来发送) -
需要协调总线上的计算机,避免碰撞,采用的协议是 CSMA/CD,即载波监听多点接入/碰撞检测(Carrier Sense Multiple Access with Collision Detection)。
-
采用曼切斯特编码方式。优点:即便出现一连串的连1或连0,接收端也能提取位同步信号;缺点:频带宽度增加一倍(每秒传送的码元数加倍了)
CSMA/CD:
- **多点接入:**多个站连接在一条总线上,竞争使用总线
- **载波监听:**不管是在发送前,还是发送中,每个站都必须不停地检测信道;
发送前检测:信道已有其他站在发送,自己就暂时不发送数据
发送中检测:碰撞检测;假设当前信道为空闲,A和B此刻都检测到信道空闲,于是都发送数据,就产生了碰撞 - **碰撞检测:**即边发送边监听。两个站同时发送数据,就产生了碰撞,又称为冲突检测。
当有多个站同时发送时,总线上的信号电压变化幅度将会增大(互相叠加)。
适配器检测到的信号电压变化幅度超过一定的门限值时,就认为总线上至少有两个站同时在发送数据
CSMA/CD检测到碰撞的时间:
如果A和B发送的数据在信道中间碰撞了,那么将导致两个帧都失效
-
最长检测到碰撞的时间:两倍的总线端到端的传播时延( 2 τ 2\tau 2τ ),即一个往返时间。

-
**争用期(碰撞串口):**以太网的端到端往返时间 2 τ 2\tau 2τ;只有经过 2 τ 2\tau 2τ时间都未检测到碰撞,才认为发送成功;
-
显然,CSMA/CD只能进行半双工通信。
-
每个站在发送数据后的一小段时间内可能发送碰撞,以太网这一特点被称为:发送的不确定性
**截断二进制指数退避算法:**CSMA/CD确定碰撞后重传的时机
-
检测到碰撞后并不立即发送数据,而是推迟一个随机时间后发送
-
协议规定了基本退避时间争用期为 2 τ 2\tau 2τ,具体是 51.2 μ s 51.2\mu s 51.2μs;对于10 Mbit/s的以太网,争用期可以发送512 bit,即64字节的数据
也可以说 争用期是512比特时间 -
从整数集合 [ 0 , 1 , . . . , ( 2 k − 1 ) ] [0,1,...,(2^k-1)] [0,1,...,(2k−1)] 中随机取一个数,记为 r r r,重传的推迟时间就是 r r r 倍的争用期
其中 k = m i n ( 重 传 次 数 , 10 ) k = min(重传次数, 10) k=min(重传次数,10),例如第1次重传, k = 1 k=1 k=1, r r r 取0或1;
并且如果重传16次仍失败,则丢弃这个这个帧,并向上层报告 -
适配器每发送一个帧,就要执行依次CSMA/CD算法。如果几个站都在执行退避算法,那么某个适配器的新帧就可能趁机发送在信道上,导致可能已经推迟击几次的帧,继续等待
如果在争用期(共发送了64字节没有发生碰撞,那么后续发送的数据也不会碰撞
因此凡长度小于64字节的帧都是由于冲突而异常中止的无效帧
强化碰撞:当发送数据的站一旦发现发生了碰撞时,除了立即停止发送数据外,还要再继续发送32比特或48比特的人为干扰信号,以便让所有用户都知道现在已经发送了碰撞
以太网还规定了帧间最小间隔为9.6us,相当于96比特时间。这样做是为了使刚刚收到数据帧的站的接收缓存来得及清理,做好接收下一帧的准备。

集线器

- 星型拓扑、双绞线
- 使用电子器件来模拟实际电缆线的工作,逻辑上仍是一个总线网,各站中的适配器执行CSMA/CD协议,在同一时刻至多只允许一个站发送数据
- 一个集线器有许多接口,例如8至16个,每个接口与一台计算机上的适配器相连,像一个多接口的转发器
- 工作在物理层,每个接口仅仅简单地转发比特,不进行碰撞检测。若两个接口同时有信号输入(即发生碰撞),那么所有的接口都将收不到正确的帧
以太网的信道利用率
参数a:
a
=
τ
T
0
a = \frac{\tau}{T_0}
a=T0τ,其中
T
0
T_0
T0是发送时延,
τ
\tau
τ是成功发送时端到端的传播时延
a趋近于0时,一发生碰撞,就能立即检测处理,a越大,则争用期所占比例越大
- 当数据率一定时,以太网的连线的长度受到限制(否则 τ \tau τ太大),同时以太网的帧长不能太短(否则 T 0 T_0 T0太小)
极限信道利用率(理想情况下,不发生碰撞):
S
m
a
x
=
T
0
t
0
+
τ
=
1
1
+
a
S_{max} = \frac{T_0}{t_0+\tau} = \frac{1}{1+a}
Smax=t0+τT0=1+a1
虽然不可能达到极限利用率,但该式表明只有 a 远小于1(每发生碰撞,就要浪费更多传输数据的时间),才可能得到尽可能高的利用率
据统计,当以太网的利用率达到30%时就已经处于重载的情况
以太网的MAC层
MAC地址:
IEEE 802标准为局域网规定了一种48位的全球地址,是指局域网上的每台计算机中固化在适配器的ROM中的地址,也就是MAC地址
IEEE的注册管理机构RA (Registration Authority)是局域网全球地址的法定管理机构,它负责分配地址字段的6个字节中的前三个字节。世界上凡要生产局域网适配器的厂家都必须向IEEE购买由这三个字节构成的这个号(即地址块),这个号的正式名称是组织唯一标识符,通常也叫做公司标识符。
例如,3Com公司生产的适配器的MAC地址的前三个字节是02-60-8C。地址字段中的后三个字节则由厂家自行指派
当路由器通过适配器连接到局域网时,适配器上的硬件地址就用来标志路由器的某接口
MAC帧:
- 单播帧:一对一,即收到的帧的MAC地址与本站的硬件地址相同,不同则丢弃
- 广播帧:一对全体,即发送给本局域网上所有站点的帧(全1地址)
- 多播帧:一对多,即发送给本局域网上一部分站点的帧
混杂模式:特殊模式,常用于窃听网络上的数据
MAC帧的格式

-
类型字段:上一层使用的什么协议
-
46字节:最小长度64字节减去18字节的首部和尾部
-
PPP帧中的FCS占2字节,MAC帧的FCS占4字节
-
确定数据结尾的方法:曼切斯特编码、当接口电压不在变化,就知道一个帧结束了,往前推4字节,就是数据尾部
-
数据字段长度小于46字节时,就在后面加一个整数字节的填充字段;因此上层协议必须具有识别有效的数据字段长度的功能
-
从MAC子层向下传到物理层时,需要在前面插入8字节来完成时钟同步(刚开始接收时未同步,会导致前面的个别字节无法接收)
-
插入的8个字节,前7个是前同步码,目的是使接收端适配器迅速调整时钟频率。第8个字节是帧开始定界符10101011,其中前6位也是同步,后2位是告知MAC数据即将到来(SONET/SDH同步传输不需要前同步码)
无效的MAC帧:(直接丢弃)
- 帧的长度不是整数个字节
- 用收到的帧检验序列FCS查出有差错
- 收到的帧的MAC客户数据字段的长度不在46~1500字节之间。
扩展的以太网
1. 在物理层扩展:集线器

优点:能够进行跨“系”的通信;距离扩展了
缺点:合到一个碰撞域,总的吞吐量变小;(a)的总吞吐量是10*3=30 Mbit/s,(b)的总吞吐量为10 Mbit/s
采用不同的以太网技术(如不同数据率),集线器就不能将它们相连
2. 在数据链路层拓展
扩展以太网更常用的方法是在数据链路层进行
最初使用的是网桥(bridge)。网桥对收到的帧根据其MAC 帧的目的地址进行转发和过滤。当网桥收到一个帧时,并不是向所有的接口转发此帧,而是根据此帧的目的 MAC地址,查找网桥中的地址表,然后确定将该帧转发到哪一个接口,或者是把它丢弃(即过滤)
交换式集线器淘汰了网桥,常称为以太网交换机(switch)或第二层交换机(L2 switch),强调这种交换机工作在数据链路层。
-
以太网交换机
实质上就是一个多接口的网桥,通常都有十几个或更多的接口,每个接口都直接与一个单台主机或另一个以太网交换机相连
全双工方式
并行性:同时连通多对接口,使多对主机能同时通信(而网桥只能一次分析和转发一个帧)。相互通信的主机都是独占传输媒体,无碰撞地传输数据
接口有存储器,对方端口繁忙时,会将收到的缓存在自己端口,以后再发送出去
性能远远超过普通的集线器,价格并不贵,使得集线器逐渐地退出了市场 -
以太网交换机的自学习功能

(1)A向B发送一帧,从接口1进入到交换机
(2)接口1查找交换表,没有找到目的地址B的端口:向其他端口广播帧,并将 {A, 1} 写入交换表
(3)C、D舍弃帧,B收下,并在交换表中添加 {B, 3}
交换表中每个项目都有一定的有效时间,以应对更换适配器等情况
-
以太网交换机组网

为避免循环问题,IEEE的802.1D制定了生成树协议STP,切断某些链路
使用交换机的以太网采用全双工、不再使用CSMA/CD,但仍然采用以太网的帧结构,且需要支撑对总线以太网的兼容性
-
虚拟局域网VLAN:
逻辑划分,广播只在同一个虚拟局域网中进行,避免了广播风暴

增加了4字节的VLAN标记
本文深入探讨了计算机网络的作用、互联网的特性和分类,重点解析了数据链路层的点对点与广播信道协议,包括PPP、以太网和宽带接入技术,如ADSL和光纤接入。讲解了物理层、数据通信基础、信道复用和带宽概念。
2140

被折叠的 条评论
为什么被折叠?



