本论文解决的问题
-
量化数据价值(机器学习模型训练中各个数据点的贡献)
-
避免数据价值受到其所处数据集的影响,使数据点的估值更加稳定、一致
变量假设
假设 D 表示一个在全集 Z 上的数据分布。对于监督学习问题,我们通常认为 Z = X × Y,其中 X 是特征空间的一个子集,Y 是输出,它可以是离散的或连续的。
S 是从 D 中独立同分布抽取的 k 个数据点的集合。
简写:[m]={1, …, m},k ∼ [m] 表示从 [m] 中均匀随机抽取的样本。
U 表示一个取值在 [0, 1] 上的潜在函数(potential function)或性能度量(performance metric)。在本文的背景下,认为 U 表示学习算法(learning algorithm)和评估指标(evaluation metric)。对于任何 S ⊆ Z,U(S) 表示集合 S 的价值。
Data Shapley
ϕ(z;U,B)=1m∑k=1m(m−1k−1)−1∑S⊆B\{z}∣S∣=k−1(U(S∪{z})−U(S)) \phi(z ; U, B)=\frac{1}{m} \sum_{k=1}^m\binom{m-1}{k-1}^{-1} \sum_{\substack{S \subseteq B \backslash\{z\} \\|S|=k-1}}(U(S \cup\{z\})-U(S)) ϕ(z;U,B)=m1k=1∑m(k−1m−1)−1S⊆B\{z}∣S∣=k−1∑(U(S∪{z})−U(S))
解释如下:
- ϕ(z;U,B)\phi(z ; U, B)ϕ(z;U,B) :表示数据点 zzz 在数据集 BBB 中的 data Shapley 值。
- mmm :数据集 BBB 中数据点的总数。
- UUU :势函数或性能度量,用于评估数据集的价值或模型的性能。
- SSS :数据集 BBB 的任意子集,不包含点 zzz。
- (m−1k−1)\binom{m-1}{k-1}(k−1m−1) : 是从 m−1m-1m−1 个数据点中选择 k−1k-1k−1 个数据点的组合数,作为权重。
- ∑S⊆B\{z}∣S∣=k−1\sum_{\substack{S \subseteq B \backslash\{z\} \\|S|=k-1}}∑S⊆B\{z}∣S∣=k−1 :求和符号,表示遍历所有可能的子集 SSS ,这些子集是从 BBB 中除去 zzz 后剩余的数据点中选取 k−1k-1k−1 个数据点形成的。
上式为 Data Shapley 值的定义,只是改变 Data Shapley: Equitable Valuation of Data for Machine Learning 中公式的形式。
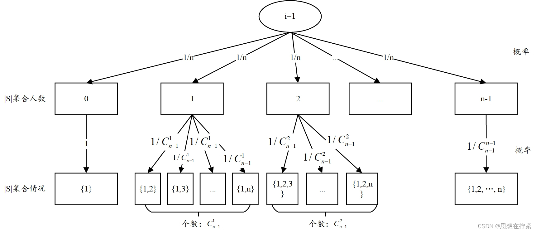
ϕi=C∑S⊆D−{i}V(S∪{i})−V(S)(n−1∣S∣)
\phi_i=C \sum_{S \subseteq D-\{i\}} \frac{V(S \cup\{i\})-V(S)}{\left(\begin{array}{c}n-1 \\ |S|\end{array}\right)}
ϕi=CS⊆D−{i}∑(n−1∣S∣)V(S∪{i})−V(S)
计算差别体现在:D-Shapley 论文中每种 |S| 集合情况下,因为权重相同,所以先求和再乘上权重 Cn−1k−1C_{n-1}^{k-1}Cn−1k−1,然后求和,最后乘上 1/m1/m1/m 权重。Data Shapley 论文中,是对于每种 |S| 情况,计算边际贡献后,就乘上对应的两个权重。

Distributional Shapley Value
Distributional Shapley Value 中数据点 zzz 的数据价值为:
ν(z;U,D,m)≜EB∼Dm−1[ϕ(z;U,B∪{z})]\nu(z ; U, \mathcal{D}, m) \triangleq \underset{B \sim \mathcal{D}^{m-1}}{\mathbf{E}}[\phi(z ; U, B \cup\{z\})]ν(z;U,D,m)≜B∼Dm−1E[ϕ(z;U,B∪{z})]
上式中的 ϕ(z;U,B∪{z})\phi(z ; U, B \cup\{z\})ϕ(z;U,B∪{z}) 可视为一个随机变量。其中,数据集 BBB 为从分布 DDD 中随机抽取的,包含 𝑚−1 个数据点的数据集。因为每次抽样会得到不同的数据集 BBB,从而导致 Data Shapley 值的不同结果,但是通过期望就能考虑所有可能的数据集的平均情况,求出数据点的价值。
下面的公式提供了 D-Shapley 值的一个等价表述。
ν(z;U,D,m)=ED∼Dm−1[ϕ(z;U,D∪{z})]=ED∼Dm−1[1m∑k=1m1(m−1k−1)∑S⊆D:∣S∣=k−1(U(S∪{z})−U(S))]=1m∑k=1m1(m−1k−1)ED∼Dm−1[∑S⊆D:∣S∣=k−1(U(S∪{z})−U(S))]=1m∑k=1mES∼Dk−1[U(S∪{z})−U(S)]=Ek∼[m]S∼Dk−1[U(S∪{z})−U(S)]
\begin{aligned}
& \nu(z ; U, \mathcal{D}, m)=\underset{D \sim \mathcal{D}^{m-1}}{\mathbf{E}}[\phi(z ; U, D \cup\{z\})] \\
& =\underset{D \sim \mathcal{D}^{m-1}}{\mathbf{E}}\left[\frac{1}{m} \sum_{k=1}^m \frac{1}{\binom{m-1}{k-1}} \sum_{\substack{S \subseteq D: \\
|S|=k-1}}(U(S \cup\{z\})-U(S))\right] \\
& =\frac{1}{m} \sum_{k=1}^m \frac{1}{\binom{m-1}{k-1}} \underset{D \sim \mathcal{D}^{m-1}}{\mathbf{E}}\left[\sum_{\substack{S \subseteq D: \\
|S|=k-1}}(U(S \cup\{z\})-U(S))\right] \\
& =\frac{1}{m} \sum_{k=1}^m \underset{S \sim \mathcal{D}^{k-1}}{\mathbf{E}}[U(S \cup\{z\})-U(S)] \\
& =\underset{\substack{k \sim[m] \\
S \sim \mathcal{D}^{k-1}}}{\mathbf{E}}[U(S \cup\{z\})-U(S)] \\
&
\end{aligned}
ν(z;U,D,m)=D∼Dm−1E[ϕ(z;U,D∪{z})]=D∼Dm−1Em1k=1∑m(k−1m−1)1S⊆D:∣S∣=k−1∑(U(S∪{z})−U(S))=m1k=1∑m(k−1m−1)1D∼Dm−1ES⊆D:∣S∣=k−1∑(U(S∪{z})−U(S))=m1k=1∑mS∼Dk−1E[U(S∪{z})−U(S)]=k∼[m]S∼Dk−1E[U(S∪{z})−U(S)]
首先 kkk 是从集合 [m][m][m] 中进行均匀随机抽样,然后对从分布 DDD 中随机抽取的 k−1k-1k−1 个数据点构成的数据集 SSS,进行期望计算,最后得到的是添加数据点 zzz 到 SSS 后性能度量函数 UUU 变化量的期望。
511






