
平板电容器的电容值可表示为:


式中:e — 电容极板间介质的介电常数,
其中e0为真空介电常数,er为 极板间介质的相对介电常数;
A — 两平行板正对面积;
d — 两平行板之间的距离。
电容原理?,当然是从莱顿瓶开始。

通过C来表示电容。

电容分类

电容在电路中的五作用:



降压 是因为电容有抗,它和频率与电容值相关。

容抗产生的原因:
电容容抗产生的原因主要与电容器在交流电路中的行为特性有关。以下是对电容容抗产生原因的详细解释:
一、电容器的基本结构和工作原理
- 基本结构:电容器由两个相互靠近的导体(极板)以及它们之间的不导电绝缘介质构成。
- 工作原理:当电容器的两个极板之间加上电压时,电容器会储存电荷。这种储存电荷的能力是电容器的基本特性之一。
二、容抗的定义
容抗是电容器对交流电的阻碍作用,用字母Xc表示。在交流电路中,电容器极板上所带电荷对定向移动的电荷具有阻碍作用,这种阻碍作用就是容抗。
三、容抗产生的原因
- 电荷积累与电势差:在交流电路中,由于交流电的大小和方向随时间变化而变化,电容器也在不断地充电和放电。当电容器充电时,极板上积累的电荷会产生电势差,这个电势差会反抗电荷的继续运动,从而形成容抗。
- 电容器的储能特性:电容器是一个储能容器,在交流电路中,它会不断地储存和释放电能。这种储能和释放电能的过程会对交流电的流动产生阻碍,从而形成容抗。
四、容抗的计算公式
容抗的大小可以通过公式Xc=1/(2πfC)来计算,其中:
- Xc表示容抗;
- f表示交流电的频率;
- C表示电容器的容量。
从这个公式可以看出,容抗与交流电的频率和电容器的容量有关。频率越高或电容器容量越小,容抗就越小;反之,频率越低或电容器容量越大,容抗就越大。
五、容抗的作用
在交流电路中,容抗具有重要的作用。它可以用来:
- 滤波:通过选择合适的电容器和频率,可以构建滤波器来去除或减弱特定频率的交流电成分。
- 分压:在串联电路中,电容器和电阻器等元件可以共同分担电压。
- 储能:电容器可以在交流电路中储存电能,并在需要时释放出来。
电容容抗产生的原因主要与电容器在交流电路中的行为特性有关,包括电荷积累与电势差、电容器的储能特性等。容抗的大小可以通过公式Xc=1/(2πfC)来计算,并受到交流电频率和电容器容量的影响。
分压电路:
高通滤波:

(低频信号可过一部分 只是 因为电阻 原因 ,会削减相当部分)
延时,广为人知的是RC电路

(充电延时)

(放电延时)
电容能起到延时作用,主要是基于其储存电荷的特性以及电荷积累和释放的过程。以下是关于电容延时作用的详细解释:
一、电容延时原理
电容延时原理,又称为RC延时原理,是利用电容器和电阻器组成的RC电路来实现延时功能的。该原理基于电容器充电和放电的特性。在一个简单的RC电路中,电容器和电阻器串联连接。当电路中有外加电压时,电容器开始充电,电流通过电阻器流向地。充电过程中,电容器内部的电荷不断增加,电压逐渐上升,直到电容器充满。当外加电压被断开时,电容器开始放电,电荷从电容器流向电阻器,电压逐渐下降,直到电容器完全放空。这个充电和放电的过程就产生了延时效果。
二、延时时间的控制
根据RC延时原理,延时时间可通过改变电容值和电阻值来控制。具体来说:
- 电容值:当电容值较大时,电容器充电和放电的时间较长,延时时间也相应延长。
- 电阻值:当电阻值较大时,电流的流动速度减慢,充电和放电过程的时间也会增加。
因此,在实际应用中,通过调整电容和电阻的数值,可以实现不同的延时时间,从几微秒到几分钟不等。
三、RC延时电路的应用
RC延时电路在各种电子设备和系统中都有着广泛的应用。例如:
- 触摸屏:利用RC延时电路来检测触摸操作并产生相应的响应。
- 时序控制器:在时序电路中,利用RC延时电路来控制信号的时序关系。
- 计时电路:通过调整RC电路的元件值来实现精确的计时功能。
- 闪光灯控制:在摄影领域,闪光灯需要一个精确的触发时间来提供适当的照明效果。通过使用RC延时电路,可以精确控制触发时间,从而实现拍摄所需的效果。
- 信号处理和调节:在通信系统中,需要对脉冲信号进行精确的处理和调节。RC延时电路可以用来对信号进行延时、滤波或者调制等操作,以确保信号的稳定传输。
总之,电容能起到延时作用是基于其储存电荷的特性以及电荷积累和释放的过程。通过调整电容和电阻的数值,可以精确控制延时时间,从而满足各种电子设备和系统的需求。
耦合
电容安装在信号必经的路线上。过滤到直流信号

电容耦合,又称电场耦合或静电耦合,是由于分布电容的存在而产生的一种耦合方式。电容在电子电路中的耦合作用主要体现在以下几个方面:
一、信号传递
电容具有通交流阻直流的特性,因此,在电子电路中,电容常被用作耦合元件,以传递交流信号。对于直流信号,电容相当于开路,阻止了前级电路的直流成分传递到后级电路,使得前后级的直流工作点相互独立,避免了相互干扰。而对于交流信号,只要信号频率不是极低,电容的容抗相对较小,交流信号就可以顺利通过电容从前级传输到后级,从而实现了前后级电路之间交流信号的传递,完成了电路的耦合功能。
二、干扰隔离
在交流放大电路或存在直流干扰的电路中,耦合电容还可以起到隔离干扰信号的作用。通过选择合适的电容值,可以滤除不需要的频率成分,防止这些成分对电路造成干扰。同时,耦合电容还可以阻止工频电流等不需要的电流进入弱电系统,保证电路的稳定性和安全性。
三、高频保护
在电力系统中,耦合电容器常被用于高频保护。它们的主要作用是将工频电流阻隔,而让高频信号通过。例如,在变电站内,耦合电容器可以将50Hz的工频信号阻隔不泄漏进站内,而将高频保护用二次谐波传输进站内作为高频保护通信用。这样,就可以有效地保护电力系统免受高频信号的干扰和损害。
四、电压互感器作用
带有电压抽取装置的耦合电容器,除了以上作用外,还可以抽取工频电压供保护及重合闸使用。在这种情况下,耦合电容器起到了电压互感器的作用,为电力系统的保护和控制提供了必要的电压信号。
旁路:
帮路作用和耦合电路相反 ,耦合电路是过滤掉直流信号,旁路作用是过滤掉交流信息,例如给芯片信号时候 经常要这类旁路电路配合,用多大的电容充当旁路电容,需要查询芯片手册

测量电路中的电容:
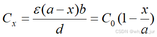
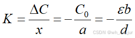
•变面积型电容传感器

•平行板式变面积电容传感器

灵敏度:

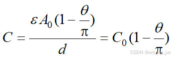
•角位移式变面积电容传感器


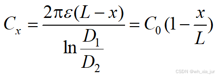
•圆筒式变面积电容传感器


•变极距型电容传感器


传感器的输出特性不是线性关系,而是非线性的,应用时需作近似线性处理。
当x/d0<<1时(即位移远小于极板初始距离时),(x/d0)2近似为0,1-(x/d0)2≈1,则上式可以简化为:

传感器灵敏度为:

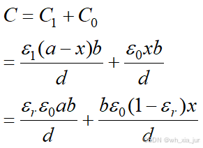
•变介质型电容传感器




电容值与位移量的关系是线性的,被测质量块移出的距离越大,电容值越小
差动结构:


2763

被折叠的 条评论
为什么被折叠?



