目录
摘 要
基于springboot框架开发的红十字爱心捐赠管理系统系统旨在提升捐赠过程的透明度、效率及用户体验,从而更好地服务于社会公益事业。该系统利用现代信息技术,整合线上线下资源,为捐赠者与受助者搭建了一个高效、便捷的互动平台。通过这个平台,捐赠者可以轻松查看项目详情、选择捐赠方式并实时跟踪捐赠款项的使用情况;受助者也能更方便地申请援助和支持。
系统的核心功能包括用户管理、捐赠项目管理、资金流管理以及数据统计分析等模块。在用户管理方面,系统支持注册、登录、权限控制等功能,确保信息安全和个人隐私保护。捐赠项目管理则涵盖了从项目发布、审核到执行的全流程监控,确保每一笔捐款都能准确无误地用于指定用途。资金流管理通过与第三方支付平台集成,实现了快速安全的资金流转,并提供详细的财务报表和审计记录,增强了整个流程的透明度。
数据分析模块能够对捐赠数据进行深度挖掘,生成可视化报告,帮助决策者了解趋势、优化资源配置。通过分析不同地区、时间段内的捐赠偏好,可以更有针对性地开展公益活动,提高资源利用效率。
在全球范围内,随着人们对社会责任意识的增强和技术手段的进步,类似的爱心捐赠管理系统正变得越来越普及。这类系统不仅提高了慈善活动的公信力和执行力,也为推动社会公平正义发挥了重要作用。对于红十字会这样的国际性组织来说,采用先进的技术手段改进管理模式,不仅是适应时代发展的需要,更是为了更好地履行其人道主义使命。通过持续的技术创新和服务优化,基于springboot的红十字爱心捐赠管理系统系统将不断拓展其服务范围和社会影响力,助力构建更加和谐美好的社会环境。
关键词:红十字爱心捐赠管理系统系统;springboot框架
The Red Cross Love Donation Management System developed based on the springboot framework aims to enhance the transparency, efficiency, and user experience of the donation process, thereby better serving the public welfare cause. The system utilizes modern information technology to integrate online and offline resources, building an efficient and convenient interactive platform for donors and beneficiaries. Through this platform, donors can easily view project details, choose donation methods, and track the use of donation funds in real-time; beneficiaries can also apply for assistance and support more conveniently.
The core functions of the system include user management, donation project management, fund flow management, and data statistics and analysis modules. In terms of user management, the system supports registration, login, permission control, and other functions to ensure information security and personal privacy protection. Donation project management covers the entire process monitoring from project release, review to execution, ensuring that every donation is accurately used for the intended purpose. Fund flow management, through integration with third-party payment platforms, achieves rapid and secure fund transfers and provides detailed financial statements and audit records, enhancing the transparency of the entire process.
The data analysis module can perform in-depth mining of donation data, generate visual reports, and help decision-makers understand trends and optimize resource allocation. By analyzing donation preferences in different regions and time periods, public welfare activities can be more effectively targeted, improving the efficiency of resource utilization.
Globally, as people's awareness of social responsibility increases and technological means progress, similar love donation management systems are becoming increasingly popular. Such systems not only improve the credibility and execution of charitable activities but also play a significant role in promoting social fairness and justice. For international organizations like the Red Cross, adopting advanced technological means to improve management models is not only a need to adapt to the development of the times but also to better fulfill their humanitarian missions. Through continuous technological innovation and service optimization, the Red Cross Love Donation Management System based on springboot will continue to expand its service scope and social influence, helping to build a more harmonious and beautiful social environment.
Keywords: Red Cross Love Donation Management System; springboot framework
第一章 绪 论
1.1研究背景及意义
随着信息技术的飞速发展和社会对公益事业关注度的日益增加,构建一个高效、透明且易于管理的爱心捐赠系统显得尤为重要。红十字会作为全球最大的人道主义组织之一,在救援、健康服务、灾难应对等方面发挥着关键作用。传统的捐赠管理系统往往面临信息不透明、流程复杂和效率低下等问题,这些问题不仅影响了公众的捐赠积极性,也限制了资源的有效分配和使用。
基于springboot框架开发的红十字爱心捐赠管理系统系统通过集成现代化的信息技术。该系统提供了一个安全、便捷的平台,使捐赠者可以实时查看捐赠项目的进展和资金流向,增强了整个捐赠过程的透明度和信任度。它还优化了捐赠流程,使得无论是个人还是企业捐赠者都能快速完成捐赠,并能根据自己的意愿选择特定项目进行支持。
从社会意义来看,这样的系统不仅能提升公众参与慈善活动的积极性,还能促进社会资源的合理配置,助力实现更广泛的社会公平与和谐。对于红十字会而言,采用先进的技术手段改进管理模式,有助于提高工作效率和服务质量,进一步增强其在国际人道主义援助中的影响力和响应速度。基于springboot框架的爱心捐赠管理系统不仅是技术进步的表现,更是推动社会向更加公正、透明方向发展的有力工具。
1.2国内外研究现状
基于springboot框架开发的红十字爱心捐赠管理系统系统在全球范围内得到了广泛关注和发展。在国内,随着慈善事业的发展和互联网技术的普及,越来越多的非营利组织开始采用信息化手段提高捐赠管理的效率与透明度。由于地区发展不平衡和技术应用程度不同,部分小型慈善机构仍面临信息化建设滞后的问题。
在国外,尤其是发达国家,类似的系统已经相对成熟。美国红十字会等机构利用先进的信息技术实现了从捐赠到分配的全流程数字化管理,不仅提高了工作效率,还增强了公众对慈善机构的信任。这些系统通常具备高度的用户友好性和安全性,支持多种支付方式,并能通过数据分析优化资源配置。国外的捐赠管理系统往往更加注重数据隐私保护和合规性,符合GDPR等相关法规要求。
综合来看,无论是国内还是国外,基于springboot的爱心捐赠管理系统都在不断进步。国内系统在快速追赶国际水平的同时,也在积极探索如何更好地结合本地需求,提升系统的适用性和用户体验。而国外系统则为国内提供了宝贵的经验参考,尤其是在数据安全、用户隐私保护等方面,有助于推动我国慈善事业的健康发展。未来,这类系统有望通过新技术进一步提升其功能性和公信力。
1.3论文组织结构
本论文共分为七个主要章节,具体结构如下:
1. 绪论:介绍研究背景与意义,回顾国内外研究现状,并概述论文的组织结构。
2. 相关技术介绍:详细介绍与本研究相关的技术,包括Java语言、B/S框架、springboot框架、Vue技术和MySQL数据库。
3. 需求分析:对系统的功能需求和非功能需求进行分析,明确用户和管理员的需求,并进行可行性分析,包括技术、操作和经济可行性。
4. 系统设计:涵盖系统架构设计、系统模块设计,并进行数据库的概念设计与表设计。
5. 系统实现:具体描述各个功能模块的实现过程,展示系统如何根据需求进行开发。
6. 系统测试:阐述测试的目的,分析测试结果并得出结论,以验证系统的稳定性和功能完整性。
7. 总结:总结研究的主要成果和贡献,指出存在的不足及未来的研究方向。
第二章 关键技术
2.1Java语言
Java语言是一种广泛使用的高级编程语言,具有平台无关性、面向对象特性和丰富的标准库。Java通过Java虚拟机(JVM)实现跨平台运行,开发者可以编写一次代码,在任何支持JVM的环境中执行[1]。Java的面向对象特性使得代码复用和模块化变得更加容易,促进了软件的维护和扩展。Java支持多线程编程,允许开发者在同一程序中同时执行多个任务,提升了应用程序的性能。
Java语言的语法结构简洁且易于理解,吸引了大量开发者。Java的标准库包含数据结构、输入输出处理、网络编程等众多功能模块。这使得开发者在构建应用程序时能够高效利用已有工具,减少重复劳动。Java广泛应用于企业级应用、移动应用、Web开发和大数据处理等领域。
2.2 B/S框架
B/S(Browser/Server)架构是一种基于浏览器和服务器的系统架构模式,用户通过浏览器与服务器进行交互。B/S架构简化了客户端的部署和管理,用户无需在本地安装复杂的软件,只需使用标准浏览器即可访问应用程序。服务器端负责处理业务逻辑和数据存储,客户端则主要负责展示用户界面和数据交互[2]。B/S架构的设计使得系统更新和维护集中在服务器端,降低了维护成本。
B/S架构通常采用Web技术进行实现,包括HTML、CSS和JavaScript等。用户在浏览器中发起请求,服务器响应并返回数据。数据传输通常通过HTTP或HTTPS协议进行,B/S架构的灵活性使其适用于在线购物、信息管理系统和社交网络等各类应用场景[3]。由于其易于扩展性,B/S架构可以方便地支持大规模用户访问,适应不断变化的业务需求。
2.3 springboot框架
springboot框架是基于Spring框架的开源项目,简化Java应用程序的开发过程。springboot通过约定优于配置的理念,减少了传统Spring应用的繁琐配置,开发者可以快速搭建和部署应用程序。框架提供了一系列默认配置,支持自动化配置,简化了应用启动的复杂性[4]。springboot内置了嵌入式Web服务器,使得开发者能够独立运行Java应用,无需外部容器。
springboot支持微服务架构,开发者可以轻松创建和管理多个微服务。框架集成了丰富的功能模块,包括安全、数据访问和消息中间件等,支持RESTful API和JSON数据格式的处理[5]。springboot还提供了强大的监控和管理功能,允许开发者实时监控应用的健康状态和性能指标。借助springboot,开发者能够高效构建和维护现代企业级应用,满足复杂业务需求。
2.4 Vue技术
Vue是一种渐进式JavaScript框架,专注于构建用户界面。Vue采用组件化的开发模式,允许开发者将应用程序拆分为独立的、可重用的组件,从而提高了开发效率和代码的可维护性[6]。框架的核心库专注于视图层,支持数据绑定和DOM操作,提供了简洁的API。Vue的虚拟DOM机制提升了应用的性能,减少了实际DOM操作的次数。
Vue支持双向数据绑定,能够自动更新视图与模型之间的变化。开发者可以通过Vue的指令系统,简化数据展示和事件处理。Vue还支持路由管理和状态管理,使得开发复杂单页面应用变得更加容易[7]。借助Vue的生态系统,开发者能够使用多种工具和库来扩展功能,满足不同的业务需求。Vue在前端开发中逐渐成为主流选择,受到广泛关注和应用。
2.5 MySQL数据库
MySQL是一种开源关系型数据库管理系统,广泛应用于Web应用和企业级数据存储。MySQL支持结构化查询语言,允许开发者通过标准语句进行数据的创建、读取、更新和删除操作[8]。数据库通过表格形式组织数据,支持数据完整性和约束条件的定义。MySQL的存储引擎机制使得用户可以根据具体需求选择不同的存储引擎,以优化性能和功能。
MySQL具有高性能和可扩展性,支持大规模数据存储和高并发访问。系统提供了丰富的用户权限管理和数据加密安全特性。
第三章 红十字爱心捐赠管理系统 系统分析
3.1系统可行性分析
3.1.1技术可行性
现代软件开发技术已经相当成熟,提供了丰富的工具和框架,可以应对各种复杂的业务需求。采用Java等成熟、稳定的语言进行开发,利用其面向对象、跨平台等特性,实现系统的模块化、可扩展性和可维护性。利用springboot等现代框架,简化开发过程,提高开发效率。对于数据库的选择,使用MySQL等关系型数据库,以满足数据存储和查询的需求。因此,从技术层面来看,开发红十字爱心捐赠管理系统是完全可行的。
3.1.2经济可行性
系统的开发成本相对较低,可以利用开源框架和工具,降低开发成本。其次,系统的运行和维护成本也相对较低,可以采用Java等技术,实现系统的自动化部署和维护。因此,从经济层面来看,开发红十字爱心捐赠管理系统也是可行的。
3.1.3社会可行性
该系统能够大幅提升捐赠流程的透明度和效率,通过实时更新捐赠状态和资金流向,增强公众对慈善机构的信任。系统支持多种支付方式和便捷的在线操作,降低了捐赠门槛,使更多人能够轻松参与慈善活动。系统的数据分析功能可以帮助慈善机构更好地规划资源分配,确保每一份捐赠都能发挥最大效用。对于管理者而言,统一的后台管理平台简化了运营流程,减少了人为错误的可能性。整体来看,这样一个现代化、信息化的捐赠管理系统不仅符合当前数字化转型的趋势,也满足了社会对公益事业公开透明的需求,促进了慈善事业的健康发展和社会和谐。
3.1.4操作可行性
系统的操作界面设计简洁明了,易于用户理解和操作。系统提供了详尽的操作指南和帮助文档,使得用户能够快速上手并熟练使用系统。系统还具备良好的容错性和错误提示功能,当用户操作失误时,能够及时给出提示信息,引导用户进行正确的操作。因此,从操作层面来看,红十字爱心捐赠管理系统同样具备可行性。
3.2系统功能分析
3.2.1功能性分析
红十字爱心捐赠管理系统划分为了前端模块和后端模块两大部分。
前端捐赠用户模块:
- 注册登录:用户可以通过注册功能创建个人账户,登录后可以享受个性化的服务体验,包括但不限于首页访问、个人信息管理等。
- 首页:用户登录后,可以访问首页,首页包含登录、注册、搜索、轮播图展示、公告通知、新闻资讯以及爱心捐赠等模块,为用户提供全面的信息和服务。
- 公告通知:用户可以查看网站公告,了解最新的活动信息和通知。同时,用户还可以了解关于我们、联系方式以及网站介绍,以便更好地了解平台。
- 新闻资讯:用户可以进行局部搜索,筛选和排序新闻资讯,对喜欢的内容进行点赞和收藏。用户还可以发表新闻、回复评论、删除不需要的内容,查看新闻热门列表,获取热点资讯。
- 爱心捐赠:用户可以进行项目名称搜索和项目类型搜索,使用下拉菜单进行更精确的搜索。用户可以重置搜索条件,捐赠资金或物资,确认捐赠信息。同时,用户可以对捐赠项目进行点赞、收藏,发表评论、回复或删除不当内容。
- 我的账户:用户可以修改个人资料和密码,退出登录,确认或取消相关操作,确保账户安全和个人信息的准确性。
- 个人中心:用户可以进行资金捐赠和物资捐赠,查询捐赠详情,进行支付操作。用户还可以查询物资分配和资金分配情况,进行收藏管理,评论管理,查询和删除操作,点击跳转到相关详情页面,查看被回复的内容,享受全面的捐赠服务体验。
后端管理员模块:
- 登录:这一部分包含了用户验证、登录操作以及密码找回服务,旨在确保管理员能够安全地进入系统。对于忘记密码的管理员,系统也提供了便捷的找回密码途径,以保障他们的账户安全和使用便捷性。
- 后台首页:此页面主要展示统计图表,方便管理员快速了解系统状态。通过直观的图形化数据,管理员可以迅速把握捐赠情况、用户活跃度等关键信息,从而做出相应的管理决策。
- 系统管理:这一模块涵盖了轮播图管理、标题搜索、查询、重置、删除、新增、筛选列、导出、打印、详情查看以及公告通知的发布与管理。这些功能为管理员提供了全面的系统配置和信息发布的功能,使得管理员能够高效地进行系统维护和信息更新。
- 用户管理:用户管理分为管理员和捐赠用户两部分。管理员部分包括昵称搜索、查询、重置、删除、新增、筛选列、导出、打印、详情查看等功能;捐赠用户部分包括用户姓名搜索、用户类型下拉选择、查询、重置、删除、新增、筛选列、导出、打印、详情查看等功能。这些功能确保管理员能够有效管理不同类型的用户账户,包括对用户信息的更新、查询和删除等操作。
- 资讯管理:新闻资讯的管理包括标题搜索、标签搜索、分类下拉搜索、查询、重置、删除、新增、筛选列、导出、打印、详情查看以及查看评论功能;资讯分类管理包括频道名称搜索、查询、重置、删除、新增、筛选列、导出、打印、详情查看等功能。这些功能方便管理员对资讯内容和分类进行细致的管理,确保资讯的及时更新和准确分类。
- 权限管理:权限列表的管理包括权限名搜索、用户组下拉选择、添加权限下拉选择、修改权限下拉选择、删除权限下拉选择、查询权限下拉选择、查询、重置、修改等功能。这些功能确保系统安全性和操作权限的合理分配,防止未授权访问和操作,保障系统的稳定运行。
- 操作日志:日志列表的管理包括操作角色、操作人、操作模块、查询、重置、删除、筛选列、导出、打印等功能。这些功能帮助管理员追踪系统操作历史,确保操作的透明性和可追溯性,便于在出现问题时进行审计和分析。
- 项目类型:项目类型的管理包括项目类型搜索、查询、重置、删除、新增、筛选列、导出、打印、详情查看等功能。这些功能为管理员提供对不同捐赠项目类型的分类和管理,使得捐赠项目能够更加有序地进行。
- 爱心捐赠:爱心捐赠项目的管理包括项目名称搜索、项目类型下拉选择、查询、重置、删除、新增、筛选列、导出、打印、查看评论、详情查看等功能。这些功能方便管理员对捐赠项目进行有效监督和管理,确保捐赠活动的透明性和公正性。
- 资金捐赠:资金捐赠项目的管理包括项目名称搜索、项目类型搜索、查询、重置、删除、新增、筛选列、导出、打印、分配、详情查看、审核等功能。这些功能确保资金捐赠的透明性和合规性,使得资金流向清晰可查,增强捐赠者的信任。
- 物资捐赠:物资捐赠项目的管理包括项目名称搜索、项目类型搜索、查询、重置、删除、新增、筛选列、导出、打印、分配、详情查看、审核等功能。这些功能为管理员提供对物资捐赠流程的全面控制,确保物资能够准确无误地分配到需要的地方。
- 物资类型:物资类型的管理包括物资类型搜索、查询、重置、删除、新增、筛选列、导出、打印、详情查看等功能。这些功能帮助管理员对捐赠物资进行分类和管理,使得物资的存储和分配更加高效有序。
- 物资库存:物资库存的管理包括物资名称搜索、物资类型下拉选择、查询、重置、删除、新增、筛选列、导出、打印、入库、出库、详情查看等功能。这些功能确保物资库存的准确性和及时更新,避免物资的浪费和损失。
- 入库信息:入库信息的管理包括物资名称搜索、物资类型搜索、查询、重置、删除、新增、筛选列、导出、打印、详情查看等功能。这些功能为管理员提供对物资入库流程的详细监控,确保物资入库的准确性和及时性。
- 出库信息:出库信息的管理包括物资名称搜索、物资类型搜索、查询、重置、删除、新增、筛选列、导出、打印、详情查看等功能。这些功能确保物资出库的准确性和合规性,使得物资能够按照既定计划和需求进行分配。
- 物资分配:物资分配的管理包括项目名称搜索、项目类型搜索、查询、重置、删除、新增、筛选列、导出、打印、详情查看等功能。这些功能帮助管理员高效地进行物资分配工作,确保物资能够及时准确地送达需要帮助的人手中。
- 资金分配:资金分配的管理包括项目名称搜索、项目类型搜索、查询、重置、删除、新增、筛选列、导出、打印、详情查看等功能。这些功能确保资金分配的合理性和透明性,使得资金能够按照既定的规则和计划进行分配,增强资金使用的效率和效果。
3.2.2非功能性分析
红十字爱心捐赠管理系统的非功能性需求比如红十字爱心捐赠管理系统的安全性怎么样,可靠性怎么样,性能怎么样,可拓展性怎么样等,具体可以表示在如下3-1表格中:
表3-1红十字爱心捐赠管理系统非功能需求表
| 安全性 | 主要指红十字爱心捐赠管理系统数据库的安装,数据库的使用和密码的设定必须合乎规范。 |
| 可靠性 | 可靠性是指红十字爱心捐赠管理系统能够安装用户的指示进行操作,经过测试,可靠性90%以上。 |
| 性能 | 性能是影响红十字爱心捐赠管理系统占据市场的必要条件,所以性能最好要佳才好。 |
| 可扩展性 | 比如数据库预留多个属性,比如接口的使用等确保了系统的非功能性需求。 |
| 易用性 | 用户只要跟着红十字爱心捐赠管理系统的页面展示内容进行操作,就可以了。 |
| 可维护性 | 红十字爱心捐赠管理系统开发的可维护性是非常重要的,经过测试,可维护性没有问题 |
3.3系统用例分析
红十字爱心捐赠管理系统的完整UML用例图分别是图3-1、3-2。
捐赠用户角色用例如下图所示。

图 3-1红十字爱心捐赠管理系统捐赠用户角色用例图
管理员角色用例如下图所示。

图 3-2红十字爱心捐赠管理系统管理员角色用例图
3.4系统总体流程设计
3.4.1数据开发流程
系统开发流程的主要步骤,从需求分析到系统完成的全过程。流程包括需求分析、总体设计(结构、功能、数据)、详细设计(模块、编码)、模块整合与调用,以及测试、扩展和完善,最终完成系统的开发。本系统的开发流程如下图所示

图 3-3系统开发流程图
3.4.2用户登录流程
用户输入用户名和密码后,系统先检查输入是否为空,再验证用户名是否存在,若存在则通过用户名获取密码并校验。若密码正确则登录成功,否则提示密码错误。若用户名不存在或无法登录,提示用户操作无效。如下图所示。

图 3-4登录流程图
3.4.3系统操作流程
用户首先进入系统登录界面,输入用户名和密码后,系统验证信息是否正确。若验证失败,返回登录界面重新输入,若验证成功,则进入功能界面,执行相应功能处理后结束操作流程。操作流程如下图所示。

图 3-5 系统操作流程图
3.4.4添加信息流程
管理员可以添加信息,用户添加可以自己权限内的信息,输入信息后,要想利用这个软件来进行系统的安全管理,首先需要登录到该软件中。添加信息流程如下图所示。

图 3-6 添加信息流程图
3.4.5修改信息流程
用户首先选择需要修改的记录,输入修改后的数据,系统判断输入数据是否合法。若数据不合法,提示重新输入,若数据合法,则将修改后的数据写入数据库,完成操作后流程结束。修改信息流程图如下图所示。

图 3-7 修改信息流程图
3.4.6删除信息流程
用户选择需要删除的记录后,系统判断是否确认删除。若未确认,返回选择环节,若确认删除,则更新数据库,删除对应记录,完成操作后流程结束。删除信息流程图如下图所示。

图 3-8删除信息流程图
第四章 红十字爱心捐赠管理系统 总体设计
本章主要讨论的内容包括红十字爱心捐赠管理系统的功能模块设计、数据库系统设计。
4.1系统架构设计
本红十字爱心捐赠管理系统从架构上分为三层:表现层(UI)、业务逻辑层(BLL)以及数据层(DL)。

图 4-1红十字爱心捐赠管理系统架构设计图
表现层(UI):也称为用户界面层,它负责与用户进行直接的交互。一个优秀的UI设计能够显著提升用户的体验,确保用户在使用红十字爱心捐赠管理系统时感到舒适和便捷。为了确保良好的兼容性,UI界面设计需要适应不同版本的平台和各种屏幕尺寸的分辨率。此外,UI交互功能必须合理设计,确保用户的操作能够得到相应的反馈和结果,这要求表现层与业务逻辑层之间保持良好的通信和协同工作。
业务逻辑层(BLL):这一层主要处理红十字爱心捐赠管理系统的数据和业务逻辑。当用户通过表现层提交数据时,业务逻辑层会接收这些数据,进行处理,并将结果传递给数据层进行存储或查询。同时,当系统需要从数据层读取数据时,业务逻辑层会处理这些数据,并将其传递给表现层进行展示。
数据层(DL):虽然本红十字爱心捐赠管理系统的数据存储在服务端的MySQL数据库中,但数据层仍然作为一个独立的部分存在。它的主要功能是存储和管理红十字爱心捐赠管理系统的数据。数据层与MySQL数据库进行交互,执行数据的增、删、改、查等操作,确保数据的完整性和安全性。
这三个层次相互独立但又紧密协作,共同构成了红十字爱心捐赠管理系统的完整架构。通过合理的分层设计,可以提高系统的可维护性、可扩展性和可重用性,为用户提供更好的服务和体验。
4.2系统模块设计
在上一章节中主要对系统的功能性需求和非功能性需求进行分析,并且根据需求分析了本红十字爱心捐赠管理系统中的用例。那么接下来就要开始对本红十字爱心捐赠管理系统的架构、主要功能和数据库开始进行设计。红十字爱心捐赠管理系统根据前面章节的需求分析得出,红十字爱心捐赠管理系统的功能模块图如下图所示。

图 4-2红十字爱心捐赠管理系统功能模块图
4.3数据库设计
数据库设计一般包括需求分析、概念模型设计、数据库表建立三大过程,其中需求分析前面章节已经阐述,概念模型设计有概念模型和逻辑结构设计两部分。
4.3.1数据库概念结构设计
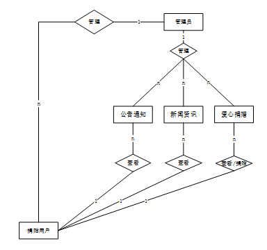
下面是整个红十字爱心捐赠管理系统中主要的数据库表总E-R实体关系图。

图 4-3红十字爱心捐赠管理系统总E-R关系图
4.3.2数据库逻辑结构设计
通过上一小节中红十字爱心捐赠管理系统中总E-R关系图上得出一共需要创建多个数据表。在此主要罗列几个主要的数据库表结构设计。
| 编号 | 字段名 | 类型 | 长度 | 是否非空 | 是否主键 | 注释 |
| 1 | token_id | int | 是 | 是 | 临时访问牌ID | |
| 2 | token | varchar | 64 | 否 | 否 | 临时访问牌 |
| 3 | info | text | 65535 | 否 | 否 | 信息 |
| 4 | maxage | int | 是 | 否 | 最大寿命:默认2小时 | |
| 5 | create_time | timestamp | 是 | 否 | 创建时间 | |
| 6 | update_time | timestamp | 是 | 否 | 更新时间 | |
| 7 | user_id | int | 是 | 否 | 用户编号 |
表 4-2-article(文章)
| 编号 | 字段名 | 类型 | 长度 | 是否非空 | 是否主键 | 注释 |
| 1 | article_id | mediumint | 是 | 是 | 文章id | |
| 2 | title | varchar | 125 | 是 | 是 | 标题 |
| 3 | type | varchar | 64 | 是 | 否 | 文章分类 |
| 4 | hits | int | 是 | 否 | 点击数 | |
| 5 | praise_len | int | 是 | 否 | 点赞数 | |
| 6 | create_time | timestamp | 是 | 否 | 创建时间 | |
| 7 | update_time | timestamp | 是 | 否 | 更新时间 | |
| 8 | source | varchar | 255 | 否 | 否 | 来源 |
| 9 | url | varchar | 255 | 否 | 否 | 来源地址 |
| 10 | tag | varchar | 255 | 否 | 否 | 标签 |
| 11 | content | longtext | 4294967295 | 否 | 否 | 正文 |
| 12 | img | varchar | 255 | 否 | 否 | 封面图 |
| 13 | description | text | 65535 | 否 | 否 | 文章描述 |
表 4-3-article_type(文章分类)
| 编号 | 字段名 | 类型 | 长度 | 是否非空 | 是否主键 | 注释 |
| 1 | type_id | smallint | 是 | 是 | 分类ID | |
| 2 | display | smallint | 是 | 否 | 显示顺序 | |
| 3 | name | varchar | 16 | 是 | 否 | 分类名称 |
| 4 | father_id | smallint | 是 | 否 | 上级分类ID | |
| 5 | description | varchar | 255 | 否 | 否 | 描述 |
| 6 | icon | text | 65535 | 否 | 否 | 分类图标 |
| 7 | url | varchar | 255 | 否 | 否 | 外链地址 |
| 8 | create_time | timestamp | 是 | 否 | 创建时间 | |
| 9 | update_time | timestamp | 是 | 否 | 更新时间 |
表 4-4-auth(用户权限管理)
| 编号 | 字段名 | 类型 | 长度 | 是否非空 | 是否主键 | 注释 |
| 1 | auth_id | int | 是 | 是 | 授权ID | |
| 2 | user_group | varchar | 64 | 否 | 否 | 用户组 |
| 3 | mod_name | varchar | 64 | 否 | 否 | 模块名 |
| 4 | table_name | varchar | 64 | 否 | 否 | 表名 |
| 5 | page_title | varchar | 255 | 否 | 否 | 页面标题 |
| 6 | path | varchar | 255 | 否 | 否 | 路由路径 |
| 7 | parent | varchar | 64 | 否 | 否 | 父级菜单 |
| 8 | parent_sort | int | 是 | 否 | 父级菜单排序 | |
| 9 | position | varchar | 32 | 否 | 否 | 位置 |
| 10 | mode | varchar | 32 | 是 | 否 | 跳转方式 |
| 11 | add | tinyint | 是 | 否 | 是否可增加 | |
| 12 | del | tinyint | 是 | 否 | 是否可删除 | |
| 13 | set | tinyint | 是 | 否 | 是否可修改 | |
| 14 | get | tinyint | 是 | 否 | 是否可查看 | |
| 15 | field_add | text | 65535 | 否 | 否 | 添加字段 |
| 16 | field_set | text | 65535 | 否 | 否 | 修改字段 |
| 17 | field_get | text | 65535 | 否 | 否 | 查询字段 |
| 18 | table_nav_name | varchar | 500 | 否 | 否 | 跨表导航名称 |
| 19 | table_nav | varchar | 500 | 否 | 否 | 跨表导航 |
| 20 | option | text | 65535 | 否 | 否 | 配置 |
| 21 | create_time | timestamp | 是 | 否 | 创建时间 | |
| 22 | update_time | timestamp | 是 | 否 | 更新时间 |
表 4-5-code_token(验证码)
| 编号 | 字段名 | 类型 | 长度 | 是否非空 | 是否主键 | 注释 |
| 1 | code_token_id | int | 是 | 是 | 验证码ID | |
| 2 | token | varchar | 255 | 否 | 否 | 令牌 |
| 3 | code | varchar | 255 | 否 | 否 | 验证码 |
| 4 | expire_time | timestamp | 是 | 否 | 失效时间 | |
| 5 | create_time | timestamp | 是 | 否 | 创建时间 | |
| 6 | update_time | timestamp | 是 | 否 | 更新时间 |
表 4-6-collect(收藏)
| 编号 | 字段名 | 类型 | 长度 | 是否非空 | 是否主键 | 注释 |
| 1 | collect_id | int | 是 | 是 | 收藏ID | |
| 2 | user_id | int | 是 | 是 | 收藏人ID | |
| 3 | source_table | varchar | 255 | 否 | 否 | 来源表 |
| 4 | source_field | varchar | 255 | 否 | 否 | 来源字段 |
| 5 | source_id | int | 是 | 否 | 来源ID | |
| 6 | title | varchar | 255 | 否 | 否 | 标题 |
| 7 | img | varchar | 255 | 否 | 否 | 封面 |
| 8 | create_time | timestamp | 是 | 否 | 创建时间 | |
| 9 | update_time | timestamp | 是 | 否 | 更新时间 |
表 4-7-comment(评论)
| 编号 | 字段名 | 类型 | 长度 | 是否非空 | 是否主键 | 注释 |
| 1 | comment_id | int | 是 | 是 | 评论ID | |
| 2 | user_id | int | 是 | 是 | 评论人ID | |
| 3 | reply_to_id | int | 是 | 否 | 回复评论ID | |
| 4 | content | longtext | 4294967295 | 否 | 否 | 内容 |
| 5 | nickname | varchar | 255 | 否 | 否 | 昵称 |
| 6 | avatar | varchar | 255 | 否 | 否 | 头像地址 |
| 7 | create_time | timestamp | 是 | 否 | 创建时间 | |
| 8 | update_time | timestamp | 是 | 否 | 更新时间 | |
| 9 | source_table | varchar | 255 | 否 | 否 | 来源表 |
| 10 | source_field | varchar | 255 | 否 | 否 | 来源字段 |
| 11 | source_id | int | 是 | 否 | 来源ID |
表 4-8-donate_users(捐赠用户)
| 编号 | 字段名 | 类型 | 长度 | 是否非空 | 是否主键 | 注释 |
| 1 | donate_users_id | int | 是 | 是 | 捐赠用户ID | |
| 2 | user_name | varchar | 64 | 否 | 否 | 用户姓名 |
| 3 | user_age | varchar | 64 | 否 | 否 | 用户年龄 |
| 4 | user_gender | varchar | 64 | 否 | 否 | 用户性别 |
| 5 | customer_type | varchar | 64 | 否 | 否 | 用户类型 |
| 6 | examine_state | varchar | 16 | 是 | 否 | 审核状态 |
| 7 | user_id | int | 是 | 否 | 用户ID | |
| 8 | create_time | datetime | 是 | 否 | 创建时间 | |
| 9 | update_time | timestamp | 是 | 否 | 更新时间 |
表 4-9-funding_donation(资金捐赠)
| 编号 | 字段名 | 类型 | 长度 | 是否非空 | 是否主键 | 注释 |
| 1 | funding_donation_id | int | 是 | 是 | 资金捐赠ID | |
| 2 | project_number | varchar | 64 | 否 | 否 | 项目编号 |
| 3 | entry_name | varchar | 64 | 否 | 否 | 项目名称 |
| 4 | project_type | varchar | 64 | 否 | 否 | 项目类型 |
| 5 | donate_users | int | 否 | 否 | 捐赠用户 | |
| 6 | user_name | varchar | 64 | 否 | 否 | 用户姓名 |
| 7 | customer_type | varchar | 64 | 否 | 否 | 用户类型 |
| 8 | donation_amount | double | 否 | 否 | 捐赠金额 | |
| 9 | donation_date | date | 否 | 否 | 捐赠日期 | |
| 10 | donation_remarks | text | 65535 | 否 | 否 | 捐赠备注 |
| 11 | examine_state | varchar | 16 | 是 | 否 | 审核状态 |
| 12 | pay_state | varchar | 16 | 是 | 否 | 支付状态 |
| 13 | pay_type | varchar | 16 | 否 | 否 | 支付类型: 微信、支付宝、网银 |
| 14 | fund_allocation_limit_times | int | 是 | 否 | 分配限制次数 | |
| 15 | create_time | datetime | 是 | 否 | 创建时间 | |
| 16 | update_time | timestamp | 是 | 否 | 更新时间 | |
| 17 | source_table | varchar | 255 | 否 | 否 | 来源表 |
| 18 | source_id | int | 否 | 否 | 来源ID | |
| 19 | source_user_id | int | 否 | 否 | 来源用户 |
表 4-10-fund_allocation(资金分配)
| 编号 | 字段名 | 类型 | 长度 | 是否非空 | 是否主键 | 注释 |
| 1 | fund_allocation_id | int | 是 | 是 | 资金分配ID | |
| 2 | project_number | varchar | 64 | 否 | 否 | 项目编号 |
| 3 | entry_name | varchar | 64 | 否 | 否 | 项目名称 |
| 4 | project_type | varchar | 64 | 否 | 否 | 项目类型 |
| 5 | donate_users | int | 否 | 否 | 捐赠用户 | |
| 6 | user_name | varchar | 64 | 否 | 否 | 用户姓名 |
| 7 | customer_type | varchar | 64 | 否 | 否 | 用户类型 |
| 8 | donation_amount | double | 否 | 否 | 捐赠金额 | |
| 9 | allocation_date | date | 否 | 否 | 分配日期 | |
| 10 | money_flow | text | 65535 | 否 | 否 | 资金流向 |
| 11 | create_time | datetime | 是 | 否 | 创建时间 | |
| 12 | update_time | timestamp | 是 | 否 | 更新时间 | |
| 13 | source_table | varchar | 255 | 否 | 否 | 来源表 |
| 14 | source_id | int | 否 | 否 | 来源ID | |
| 15 | source_user_id | int | 否 | 否 | 来源用户 |
表 4-11-hits(用户点击)
| 编号 | 字段名 | 类型 | 长度 | 是否非空 | 是否主键 | 注释 |
| 1 | hits_id | int | 是 | 是 | 点赞ID | |
| 2 | user_id | int | 是 | 否 | 点赞人 | |
| 3 | create_time | timestamp | 是 | 否 | 创建时间 | |
| 4 | update_time | timestamp | 是 | 否 | 更新时间 | |
| 5 | source_table | varchar | 255 | 否 | 否 | 来源表 |
| 6 | source_field | varchar | 255 | 否 | 否 | 来源字段 |
| 7 | source_id | int | 是 | 否 | 来源ID |
表 4-12-inventory_information(入库信息)
| 编号 | 字段名 | 类型 | 长度 | 是否非空 | 是否主键 | 注释 |
| 1 | inventory_information_id | int | 是 | 是 | 入库信息ID | |
| 2 | material_number | varchar | 64 | 否 | 否 | 物资编号 |
| 3 | material_name | varchar | 64 | 否 | 否 | 物资名称 |
| 4 | material_type | varchar | 64 | 否 | 否 | 物资类型 |
| 5 | inventory_quantity | double | 否 | 否 | 入库数量 | |
| 6 | storage_date | date | 否 | 否 | 入库日期 | |
| 7 | storage_remarks | text | 65535 | 否 | 否 | 入库备注 |
| 8 | create_time | datetime | 是 | 否 | 创建时间 | |
| 9 | update_time | timestamp | 是 | 否 | 更新时间 | |
| 10 | source_table | varchar | 255 | 否 | 否 | 来源表 |
| 11 | source_id | int | 否 | 否 | 来源ID | |
| 12 | source_user_id | int | 否 | 否 | 来源用户 |
表 4-13-love_donation(爱心捐赠)
| 编号 | 字段名 | 类型 | 长度 | 是否非空 | 是否主键 | 注释 |
| 1 | love_donation_id | int | 是 | 是 | 爱心捐赠ID | |
| 2 | project_number | varchar | 64 | 否 | 否 | 项目编号 |
| 3 | entry_name | varchar | 64 | 否 | 否 | 项目名称 |
| 4 | project_type | varchar | 64 | 否 | 否 | 项目类型 |
| 5 | cover_photo | varchar | 255 | 否 | 否 | 封面图片 |
| 6 | release_date | date | 否 | 否 | 发布日期 | |
| 7 | missing_conditions | text | 65535 | 否 | 否 | 所缺条件 |
| 8 | project_details | longtext | 4294967295 | 否 | 否 | 项目详情 |
| 9 | hits | int | 是 | 否 | 点击数 | |
| 10 | praise_len | int | 是 | 否 | 点赞数 | |
| 11 | collect_len | int | 是 | 否 | 收藏数 | |
| 12 | comment_len | int | 是 | 否 | 评论数 | |
| 13 | funding_donation_limit_times | int | 是 | 否 | 捐赠资金限制次数 | |
| 14 | material_donation_limit_times | int | 是 | 否 | 捐赠物资限制次数 | |
| 15 | create_time | datetime | 是 | 否 | 创建时间 | |
| 16 | update_time | timestamp | 是 | 否 | 更新时间 |
表 4-14-material_allocation(物资分配)
| 编号 | 字段名 | 类型 | 长度 | 是否非空 | 是否主键 | 注释 |
| 1 | material_allocation_id | int | 是 | 是 | 物资分配ID | |
| 2 | project_number | varchar | 64 | 否 | 否 | 项目编号 |
| 3 | entry_name | varchar | 64 | 否 | 否 | 项目名称 |
| 4 | project_type | varchar | 64 | 否 | 否 | 项目类型 |
| 5 | donate_users | int | 否 | 否 | 捐赠用户 | |
| 6 | user_name | varchar | 64 | 否 | 否 | 用户姓名 |
| 7 | customer_type | varchar | 64 | 否 | 否 | 用户类型 |
| 8 | material_name | varchar | 64 | 否 | 否 | 物资名称 |
| 9 | material_type | varchar | 64 | 否 | 否 | 物资类型 |
| 10 | donation_quantity | double | 否 | 否 | 捐赠数量 | |
| 11 | allocation_date | date | 否 | 否 | 分配日期 | |
| 12 | allocation_details | text | 65535 | 否 | 否 | 分配详情 |
| 13 | create_time | datetime | 是 | 否 | 创建时间 | |
| 14 | update_time | timestamp | 是 | 否 | 更新时间 | |
| 15 | source_table | varchar | 255 | 否 | 否 | 来源表 |
| 16 | source_id | int | 否 | 否 | 来源ID | |
| 17 | source_user_id | int | 否 | 否 | 来源用户 |
表 4-15-material_donation(物资捐赠)
| 编号 | 字段名 | 类型 | 长度 | 是否非空 | 是否主键 | 注释 |
| 1 | material_donation_id | int | 是 | 是 | 物资捐赠ID | |
| 2 | project_number | varchar | 64 | 否 | 否 | 项目编号 |
| 3 | entry_name | varchar | 64 | 否 | 否 | 项目名称 |
| 4 | project_type | varchar | 64 | 否 | 否 | 项目类型 |
| 5 | donate_users | int | 否 | 否 | 捐赠用户 | |
| 6 | user_name | varchar | 64 | 否 | 否 | 用户姓名 |
| 7 | customer_type | varchar | 64 | 否 | 否 | 用户类型 |
| 8 | material_name | varchar | 64 | 否 | 否 | 物资名称 |
| 9 | material_type | varchar | 64 | 否 | 否 | 物资类型 |
| 10 | donation_quantity | double | 否 | 否 | 捐赠数量 | |
| 11 | donation_date | date | 否 | 否 | 捐赠日期 | |
| 12 | donation_remarks | text | 65535 | 否 | 否 | 捐赠备注 |
| 13 | examine_state | varchar | 16 | 是 | 否 | 审核状态 |
| 14 | material_allocation_limit_times | int | 是 | 否 | 分配限制次数 | |
| 15 | create_time | datetime | 是 | 否 | 创建时间 | |
| 16 | update_time | timestamp | 是 | 否 | 更新时间 | |
| 17 | source_table | varchar | 255 | 否 | 否 | 来源表 |
| 18 | source_id | int | 否 | 否 | 来源ID | |
| 19 | source_user_id | int | 否 | 否 | 来源用户 |
表 4-16-material_inventory(物资库存)
| 编号 | 字段名 | 类型 | 长度 | 是否非空 | 是否主键 | 注释 |
| 1 | material_inventory_id | int | 是 | 是 | 物资库存ID | |
| 2 | material_number | varchar | 64 | 否 | 否 | 物资编号 |
| 3 | material_name | varchar | 64 | 否 | 否 | 物资名称 |
| 4 | material_type | varchar | 64 | 否 | 否 | 物资类型 |
| 5 | storage_location | varchar | 64 | 否 | 否 | 存放位置 |
| 6 | quantity_of_materials | double | 否 | 否 | 物资数量 | |
| 7 | remarks_information | text | 65535 | 否 | 否 | 备注信息 |
| 8 | inventory_information_limit_times | int | 是 | 否 | 入库限制次数 | |
| 9 | outbound_information_limit_times | int | 是 | 否 | 出库限制次数 | |
| 10 | create_time | datetime | 是 | 否 | 创建时间 | |
| 11 | update_time | timestamp | 是 | 否 | 更新时间 |
表 4-17-material_type(物资类型)
| 编号 | 字段名 | 类型 | 长度 | 是否非空 | 是否主键 | 注释 |
| 1 | material_type_id | int | 是 | 是 | 物资类型ID | |
| 2 | material_type | varchar | 64 | 否 | 否 | 物资类型 |
| 3 | create_time | datetime | 是 | 否 | 创建时间 | |
| 4 | update_time | timestamp | 是 | 否 | 更新时间 |
表 4-18-notice(公告)
| 编号 | 字段名 | 类型 | 长度 | 是否非空 | 是否主键 | 注释 |
| 1 | notice_id | mediumint | 是 | 是 | 公告ID | |
| 2 | title | varchar | 125 | 是 | 否 | 标题 |
| 3 | content | longtext | 4294967295 | 否 | 否 | 正文 |
| 4 | create_time | timestamp | 是 | 否 | 创建时间 | |
| 5 | update_time | timestamp | 是 | 否 | 更新时间 |
表 4-19-operation_log(操作日志表)
| 编号 | 字段名 | 类型 | 长度 | 是否非空 | 是否主键 | 注释 |
| 1 | operation_log_id | int | 是 | 是 | 操作日志ID | |
| 2 | user_group | varchar | 64 | 否 | 否 | 用户角色 |
| 3 | user_name | varchar | 64 | 否 | 否 | 用户账号 |
| 4 | routes | varchar | 64 | 否 | 否 | 模块名称 |
| 5 | create_time | datetime | 是 | 否 | 创建时间 | |
| 6 | update_time | timestamp | 是 | 否 | 更新时间 |
表 4-20-outbound_information(出库信息)
| 编号 | 字段名 | 类型 | 长度 | 是否非空 | 是否主键 | 注释 |
| 1 | outbound_information_id | int | 是 | 是 | 出库信息ID | |
| 2 | material_number | varchar | 64 | 否 | 否 | 物资编号 |
| 3 | material_name | varchar | 64 | 否 | 否 | 物资名称 |
| 4 | material_type | varchar | 64 | 否 | 否 | 物资类型 |
| 5 | outbound_quantity | double | 否 | 否 | 出库数量 | |
| 6 | outbound_date | date | 否 | 否 | 出库日期 | |
| 7 | outbound_remarks | text | 65535 | 否 | 否 | 出库备注 |
| 8 | create_time | datetime | 是 | 否 | 创建时间 | |
| 9 | update_time | timestamp | 是 | 否 | 更新时间 | |
| 10 | source_table | varchar | 255 | 否 | 否 | 来源表 |
| 11 | source_id | int | 否 | 否 | 来源ID | |
| 12 | source_user_id | int | 否 | 否 | 来源用户 |
表 4-21-praise(点赞)
| 编号 | 字段名 | 类型 | 长度 | 是否非空 | 是否主键 | 注释 |
| 1 | praise_id | int | 是 | 是 | 点赞ID | |
| 2 | user_id | int | 是 | 是 | 点赞人 | |
| 3 | create_time | timestamp | 是 | 否 | 创建时间 | |
| 4 | update_time | timestamp | 是 | 否 | 更新时间 | |
| 5 | source_table | varchar | 255 | 否 | 否 | 来源表 |
| 6 | source_field | varchar | 255 | 否 | 否 | 来源字段 |
| 7 | source_id | int | 是 | 否 | 来源ID | |
| 8 | status | tinyint | 是 | 否 | 点赞状态:1为点赞,0已取消 |
表 4-22-project_type(项目类型)
| 编号 | 字段名 | 类型 | 长度 | 是否非空 | 是否主键 | 注释 |
| 1 | project_type_id | int | 是 | 是 | 项目类型ID | |
| 2 | project_type | varchar | 64 | 否 | 否 | 项目类型 |
| 3 | create_time | datetime | 是 | 否 | 创建时间 | |
| 4 | update_time | timestamp | 是 | 否 | 更新时间 |
表 4-23-schedule(日程管理)
| 编号 | 字段名 | 类型 | 长度 | 是否非空 | 是否主键 | 注释 |
| 1 | schedule_id | smallint | 是 | 是 | 日程ID | |
| 2 | content | varchar | 255 | 否 | 否 | 日程内容 |
| 3 | scheduled_time | datetime | 否 | 否 | 计划时间 | |
| 4 | user_id | int | 是 | 否 | 用户ID | |
| 5 | create_time | datetime | 否 | 否 | 创建时间 | |
| 6 | update_time | datetime | 否 | 否 | 更新时间 |
表 4-24-score(评分)
| 编号 | 字段名 | 类型 | 长度 | 是否非空 | 是否主键 | 注释 |
| 1 | score_id | int | 是 | 是 | 评分ID | |
| 2 | user_id | int | 是 | 否 | 评分人 | |
| 3 | nickname | varchar | 64 | 否 | 否 | 昵称 |
| 4 | score_num | double | 是 | 否 | 评分 | |
| 5 | create_time | timestamp | 是 | 否 | 创建时间 | |
| 6 | update_time | timestamp | 是 | 否 | 更新时间 | |
| 7 | source_table | varchar | 255 | 否 | 否 | 来源表 |
| 8 | source_field | varchar | 255 | 否 | 否 | 来源字段 |
| 9 | source_id | int | 是 | 否 | 来源ID |
表 4-25-slides(轮播图)
| 编号 | 字段名 | 类型 | 长度 | 是否非空 | 是否主键 | 注释 |
| 1 | slides_id | int | 是 | 是 | 轮播图ID | |
| 2 | title | varchar | 64 | 否 | 否 | 标题 |
| 3 | content | varchar | 255 | 否 | 否 | 内容 |
| 4 | url | varchar | 255 | 否 | 否 | 链接 |
| 5 | img | varchar | 255 | 否 | 否 | 轮播图 |
| 6 | hits | int | 是 | 否 | 点击量 | |
| 7 | create_time | timestamp | 是 | 否 | 创建时间 | |
| 8 | update_time | timestamp | 是 | 否 | 更新时间 |
表 4-26-upload(文件上传)
| 编号 | 字段名 | 类型 | 长度 | 是否非空 | 是否主键 | 注释 |
| 1 | upload_id | int | 是 | 是 | 上传ID | |
| 2 | name | varchar | 64 | 否 | 否 | 文件名 |
| 3 | path | varchar | 255 | 否 | 否 | 访问路径 |
| 4 | file | varchar | 255 | 否 | 否 | 文件路径 |
| 5 | display | varchar | 255 | 否 | 否 | 显示顺序 |
| 6 | father_id | int | 否 | 否 | 父级ID | |
| 7 | dir | varchar | 255 | 否 | 否 | 文件夹 |
| 8 | type | varchar | 32 | 否 | 否 | 文件类型 |
表 4-27-user(用户账户)
| 编号 | 字段名 | 类型 | 长度 | 是否非空 | 是否主键 | 注释 |
| 1 | user_id | int | 是 | 是 | 用户ID | |
| 2 | state | smallint | 是 | 否 | 账户状态:(1可用|2异常|3已冻结|4已注销) | |
| 3 | user_group | varchar | 32 | 否 | 否 | 所在用户组 |
| 4 | login_time | timestamp | 是 | 否 | 上次登录时间 | |
| 5 | phone | varchar | 11 | 否 | 否 | 手机号码 |
| 6 | phone_state | smallint | 是 | 否 | 手机认证:(0未认证|1审核中|2已认证) | |
| 7 | username | varchar | 16 | 是 | 否 | 用户名 |
| 8 | nickname | varchar | 16 | 否 | 否 | 昵称 |
| 9 | password | varchar | 64 | 是 | 否 | 密码 |
| 10 | | varchar | 64 | 否 | 否 | 邮箱 |
| 11 | email_state | smallint | 是 | 否 | 邮箱认证:(0未认证|1审核中|2已认证) | |
| 12 | avatar | varchar | 255 | 否 | 否 | 头像地址 |
| 13 | open_id | varchar | 255 | 否 | 否 | 针对获取用户信息字段 |
| 14 | create_time | timestamp | 是 | 否 | 创建时间 |
表 4-28-user_group(用户组)
| 编号 | 字段名 | 类型 | 长度 | 是否非空 | 是否主键 | 注释 |
| 1 | group_id | mediumint | 是 | 是 | 用户组ID | |
| 2 | display | smallint | 是 | 否 | 显示顺序 | |
| 3 | name | varchar | 16 | 是 | 否 | 名称 |
| 4 | description | varchar | 255 | 否 | 否 | 描述 |
| 5 | source_table | varchar | 255 | 否 | 否 | 来源表 |
| 6 | source_field | varchar | 255 | 否 | 否 | 来源字段 |
| 7 | source_id | int | 是 | 否 | 来源ID | |
| 8 | register | smallint | 否 | 否 | 注册位置 | |
| 9 | create_time | timestamp | 是 | 否 | 创建时间 | |
| 10 | update_time | timestamp | 是 | 否 | 更新时间 |
第五章 红十字爱心捐赠管理系统 详细设计与实现
红十字爱心捐赠管理系统的详细设计与实现主要是根据前面的红十字爱心捐赠管理系统的需求分析和红十字爱心捐赠管理系统的总体设计来设计页面并实现业务逻辑。主要从红十字爱心捐赠管理系统界面实现、业务逻辑实现这两部分进行介绍。
5.1前台首页模块
用户登录后,可以访问首页,首页包含登录、注册、搜索、轮播图展示、公告通知、新闻资讯以及爱心捐赠等模块,为用户提供全面的信息和服务。前台首页模块展示如下图所示。

图 5-1前台首页模块图
5.2用户注册模块
不是红十字爱心捐赠管理系统中正式用户的是可以在线进行注册的,当填写上自己的账号+设置密码+确认密码+昵称+邮箱+身份等信息后再点击“注册”按钮后,即可用户注册成功。其用户注册模块展示如下图所示。

图 5-2注册模块图
5.3登录模块
红十字爱心捐赠管理系统中的前台上注册后的用户是可以通过自己的用户名+密码进行登录的,当用户输入完整的自己的用户名+密码信息并验证,验证成功后,点击“登录”按钮后,将会登录成功并自动跳转到红十字爱心捐赠管理系统的首页中,否则将会提示相应错误信息,登录模块如下图所示。

图 5-3登录模块图
5.4捐赠用户功能模块
5.4.1公告通知模块
用户可以查看网站公告,了解最新的活动信息和通知。同时,用户还可以了解关于我们、联系方式以及网站介绍,以便更好地了解平台。公告通知模块如下图所示:

图 5-4公告通知模块图
5.4.2新闻资讯模块
用户可以进行局部搜索,筛选和排序新闻资讯,对喜欢的内容进行点赞和收藏。用户还可以发表新闻、回复评论、删除不需要的内容,查看新闻热门列表,获取热点资讯。新闻资讯模块如下图所示。

图 5-5新闻资讯模块图
5.4.3爱心捐赠模块
用户可以进行项目名称搜索和项目类型搜索,使用下拉菜单进行更精确的搜索。用户可以重置搜索条件,捐赠资金或物资,确认捐赠信息。同时,用户可以对捐赠项目进行点赞、收藏,发表评论、回复或删除不当内容。爱心捐赠模块如下图所示。

图 5-6爱心捐赠模块图
5.5后端管理员功能模块
5.5.1后台首页模块
此页面主要展示统计图表,方便管理员快速了解系统状态。通过直观的图形化数据,管理员可以迅速把握捐赠情况、用户活跃度等关键信息,从而做出相应的管理决策。后台首页模块如下图所示。

图 5-7后台首页模块图
5.5.2资讯管理模块
新闻资讯的管理包括标题搜索、标签搜索、分类下拉搜索、查询、重置、删除、新增、筛选列、导出、打印、详情查看以及查看评论功能;资讯分类管理包括频道名称搜索、查询、重置、删除、新增、筛选列、导出、打印、详情查看等功能。这些功能方便管理员对资讯内容和分类进行细致的管理,确保资讯的及时更新和准确分类。资讯管理模块如下图所示。

图 5-8资讯管理模块图
5.5.3爱心捐赠模块
爱心捐赠项目的管理包括项目名称搜索、项目类型下拉选择、查询、重置、删除、新增、筛选列、导出、打印、查看评论、详情查看等功能。这些功能方便管理员对捐赠项目进行有效监督和管理,确保捐赠活动的透明性和公正性。爱心捐赠模块如下图所示。

图 5-9爱心捐赠模块图
5.5.4物资类型模块
物资类型的管理包括物资类型搜索、查询、重置、删除、新增、筛选列、导出、打印、详情查看等功能。这些功能帮助管理员对捐赠物资进行分类和管理,使得物资的存储和分配更加高效有序。物资类型模块如下图所示。

图 5-10物资类型模块图
5.5.5物资库存模块
物资库存的管理包括物资名称搜索、物资类型下拉选择、查询、重置、删除、新增、筛选列、导出、打印、入库、出库、详情查看等功能。这些功能确保物资库存的准确性和及时更新,避免物资的浪费和损失。物资库存模块如下图所示。

图 5-11物资库存模块图
5.5.6入库信息模块
入库信息的管理包括物资名称搜索、物资类型搜索、查询、重置、删除、新增、筛选列、导出、打印、详情查看等功能。这些功能为管理员提供对物资入库流程的详细监控,确保物资入库的准确性和及时性。入库信息管理模块如下图所示。

图 5-12入库信息管理模块图
5.5.7物资分配模块
物资分配的管理包括项目名称搜索、项目类型搜索、查询、重置、删除、新增、筛选列、导出、打印、详情查看等功能。这些功能帮助管理员高效地进行物资分配工作,确保物资能够及时准确地送达需要帮助的人手中。物资分配模块如下图所示。

图 5-13物资分配模块图
第六章 系统测试
6.1系统测试的目的
测试的主要目的是确保系统的功能和性能满足预期的需求,同时识别和修复潜在的缺陷。通过系统测试,可以验证各个功能模块的正确性和稳定性,确保系统在不同使用场景下的表现符合设计要求。测试目的包括确认系统功能的完整性、验证数据处理的准确性、评估系统的性能和安全性[10]。测试还可以提高用户满意度,保证用户在使用系统时获得流畅和可靠的体验。通过全面的测试,可以降低后期维护成本,减少系统上线后出现故障的风险,从而保障系统的长期稳定运行。
6.2测试方法
在本系统中,测试方法主要依赖于测试用例的设计与执行。测试用例是根据系统需求文档编写的,覆盖所有功能模块及其边界情况。每个测试用例包含输入数据、预期结果和实际结果的对比,以验证系统的功能是否按预期工作。
常见的测试用例包括功能测试用例、边界测试用例和异常测试用例。功能测试用例针对系统的各项功能进行验证;边界测试用例则侧重于输入数据的边界条件,验证系统在极端情况下是否能够稳定运行;异常测试用例则用于验证系统在处理错误输入或异常情况时的反应。本文选择功能测试用例进行系统测试。
在测试执行过程中,记录每个用例的执行结果,并根据实际结果与预期结果的对比,判断系统是否存在缺陷。通过系统化的测试用例执行,可以有效提高测试的覆盖率和效率,为系统的最终上线提供保障。
6.3测试用例
6.3.1用户登录功能测试
表6-1 用户登录功能测试表
| 用例名称 | 用户登录系统 |
| 目的 | 测试用户通过正确的用户名和密码可否登录功能 |
| 前提 | 未登录的情况下 |
| 测试流程 | 1) 进入登录页面 2) 输入正确的用户名和密码 |
| 预期结果 | 用户名和密码正确的时候,跳转到登录成功界面,反之则显示错误信息,提示重新输入 |
| 实际结果 | 实际结果与预期结果一致 |
6.3.2创建数据测试
在系统中,创建功能也是基础功能之一,因此创建功能的测试很有代表性。在此章节主要列举在创建时各种情况下系统结果的测试。由于系统涉及创建功能操作过多,因此将多处统称创建功能。
创建数据用例如表6-2 所示。
表6-2 创建数据测试用例
| 测试用例编号 | YL_05 | |
| 测试用例名称 | 系统使用者进行创建数据 | |
| 测试用例描述 | 使用者输入要创建的数据 | |
| 系统入口 | 浏览器 | |
| 步骤 | 预期结果 | 实际结果 |
| 输入完整并且格式正确的数据 | 提示“创建成功”,并显示所有数据 | 预期结果 |
| 核心位置数据但非必要位置不输入数据 | 提示“创建成功”,并显示所有数据 | 预期结果 |
| 核心数据位置不输入数据 | 提示“创建失败” | 预期结果 |
6.3.3修改数据测试
在系统中,修改功能是系统主要实现功能,因此修改功能的测试很有代表性。在此章节主要列举在修改时各种情况下系统结果的测试。由于系统涉及修改功能操作过多,因此将多处数据表记录修改和状态修改统称修改功能。
修改数据用例如表6-3所示。
表6-3 修改数据测试用例
| 测试用例编号 | YL_06 | |
| 测试用例名称 | 系统使用者进行修改数据 | |
| 测试用例描述 | 使用者对可修改的数据项进行修改 | |
| 系统入口 | 浏览器 | |
| 步骤 | 预期结果 | 实际结果 |
| 将现有数据修改成正确的数据 | 提示“修改成功”,并显示所有数据 | 预期结果 |
| 将现有数据修改成错误的数据 | 提示“修改失败” | 预期结果 |
6.3.4查询数据测试
在系统中,查询功能是使用系统使用最多也是最基础的功能,因此查询功能的测试很有代表性。在此章节主要列举在查询时各种情况下系统结果的测试。
查询数据用例如表6-4所示。
表6-4 查询数据测试用例
| 测试用例编号 | YL_05 | |
| 测试用例名称 | 系统使用者进行查询数据 | |
| 测试用例描述 | 全部查询以及输入关键词查询 | |
| 系统入口 | 浏览器 | |
| 步骤 | 预期结果 | 实际结果 |
| 界面自动查询全部 | 显示对应所有记录 | 预期结果 |
| 输入已存在且能匹配成功的关键字 | 显示所查询到的数据 | 预期结果 |
| 输入不存在的关键字 | 显示数据界面为空 | 预期结果 |
6.4测试结果
在本次测试的过程主要针对所有功能下的添加操作,修改操作和删除操作,并以真实数据一一进行相关功能项目的输入,最终能够保证每个项目涉及的功能都能够正常运行,因此能够保证本次设计的,已实现的功能能够正常运行并且相关数据库的信息也同样保证正确。
经过本次系统测试,红十字爱心捐赠管理系统的各项功能均得到了全面的验证。测试结果显示,系统在不同使用场景下均能稳定运行,功能和性能均达到了预期的设计要求。特别是在数据创建、数据修改以及数据查询等核心功能上,系统展现出了良好的稳定性和准确性。
在测试过程中,我们发现了少量潜在的缺陷,并及时进行了修复。这些修复工作进一步提升了系统的可靠性和用户体验。通过全面的测试用例执行,我们确保了系统的测试覆盖率达到了较高水平,为系统的最终上线提供了坚实的保障。
综上所述,本次系统测试取得了圆满成功。红十字爱心捐赠管理系统的功能和性能均达到了预期目标,为系统的后续开发和维护奠定了坚实的基础。该模块将在实际应用中发挥出色的表现,为用户提供高效、便捷的资源管理服务。
- 尹应荆.JAVA编程语言在计算机软件开发中的应用[J].石河子科技,2023,(05):45-47.
- 刘江涛,王亮亮,吴庆茹,等.基于B/S模式的铁路勘测设计案例信息化管理系统设计与实现[J].铁路计算机应用,2021,30(03):32-35.
- 张丹丹,李弘.基于B/S架构的办公管理系统设计与开发[J].铁路通信信号工程技术,2024,21(09):44-48+106.
- 王志亮,纪松波.基于springboot的Web前端与数据库的接口设计[J].工业控制计算机,2023,36(03):51-53.
- 熊永平.基于springboot框架应用开发技术的分析与研究[J].电脑知识与技术,2021,15(36):76-77.
- 赵媛.基于Vue的Web系统前端性能优化分析[J].电脑编程技巧与维护,2024,(09):44-46.
- 秦冬.浅析Vue框架在前端开发中的应用[J].信息与电脑(理论版),2024,36(13):61-63.
- 李艳杰.MySQL数据库下存储过程的综合运用研究[J].现代信息科技,2023,7(11):80-82+88.
- 周晓玉,崔文超.基于Web技术的数据库应用系统设计[J].信息与电脑(理论版),2023,35(09):189-191.
- 李俊萌.计算机软件测试技术与开发应用策略分析[J].信息记录材料,2023,24(03):50-52.
- Li X ,Gu H ,Zhang P .Research on Fund Risk Management of Internet Public Welfare Crowdfunding Platform: Taking Water Drop Medical Crowdfunding as an Example[J].Financial Engineering and Risk Management,2024,7(2):
- Chonger C ,Ziwen L ,Feiying Z , et al.College students’ "Internet +" public welfare preference and cause analysis——Take Shahe Higher Education Community as an example[J].Advances in Educational Technology and Psychology,2022,6(7):
- 金 迪.The Influence of “Internet+” Public Welfare Mode on the Implementation of Public Welfare—A Case Study of Hangzhou[J].Statistics and Application,2020,09(02):208-217.
- 齐莉丽,崔莉楠,付强.“互联网+公益”中游戏化机制对用户持续参与生态保护意愿影响研究[C]//中国管理现代化研究会.第十九届(2024)中国管理学年会——大数据与商务分析专题论坛论文集.天津职业技术师范大学经济与管理学院;天津天狮学院经济管理学院;,2024:15.
- 皮磊.互联网平台让公益更简单更高效[N].公益时报,2024-09-24(009).
- 刘庆帅,黄刚.凝聚向善力量推动数字慈善高质量发展[J].杭州,2024,(15):44-46.
- 秦安兰.捐赠者网络慈善信任维护的多主体影响因素研究[J].社会工作,2024,(03):102-123+162-164.
- 赵梦策.基于区块链的慈善捐赠平台技术研究[D].天津理工大学,2024.
- 段治锐,陈欢.“互联网+慈善”发展模式下的困境及对策[J].投资与合作,2023,(09):76-78.
- 马金良.时间距离和自我建构对个人网络慈善捐赠意愿的影响[D].山西师范大学,2023.
红十字爱心捐赠管理系统设计与实现工作已结束,虽然过程中充满挑战,但内心充满自豪和满足。感谢大学四年间教导我的所有老师,他们的专业知识与人生智慧让我成长为能独立完成系统的学生。特别感谢指导老师,他耐心解答疑惑,引导我解决问题,提升自主解决能力。室友和同学们的宝贵建议和支持也让我取得长足进步。未来,我将继续努力追求卓越,不辜负所学所悟和老师期望。坚信坚定信念和不懈努力,未来定能取得更辉煌成就。期待更美好未来!
此外,红十字爱心捐赠管理系统设计与实现不仅是技术挑战,挫折和困难是成长的垫脚石,让我更深入理解问题,精确找到解决方案。每次解决问题,都感到满足和自豪。
对于未来,我充满期待和信心。无论道路多崎岖,只要保持坚定信念,持续努力,定能取得更大成就。期待将知识和技能运用到实际中,为社会做出更大贡献。
最后,感谢所有帮助和支持我的人。你们的教诲、鼓励和支持让我有今天的成就。我会继续努力,不辜负期望,为实现更美好的未来而奋斗。
代码:
连接数据库的文件在Resources 文件夹下的application.yml文件,代码如下:
server:
port: 5000
servlet:
context-path: /api
spring:
mvc:
static-path-pattern: /upload/**
resources:
static-locations: file:此处填写地址/project93355/server/src/main/resources/static
datasource:
jdbc:mysql://127.0.0.1:3306/projectxxxxx?serverTimezone=GMT%2B8&useSSL=false&characterEncoding=utf-8
username: root
password: root
driver-class-name: com.mysql.cj.jdbc.Driver
type: com.alibaba.druid.pool.DruidDataSource
jackson:
property-naming-strategy: CAMEL_CASE_TO_LOWER_CASE_WITH_UNDERSCORES
default-property-inclusion: ALWAYS
time-zone: GMT+8
date-format: yyyy-MM-dd HH:mm:ss
servlet:
项目启动文件Application.java,代码如下:
@springbootApplication(exclude = {DataSourceAutoConfiguration.class})
@EnableJpaRepositories
@MapperScan("com.project.demo.dao")
public class Application {
public static void main(String[] args) {
SpringApplication.run(Application.class,args);
}
}
修改数据代码如下:
@PostMapping("/set")
@Transactional
public Map<String, Object> set(HttpServletRequest request) throws IOException {
service.update(service.readQuery(request), service.readConfig(request), service.readBody(request.getReader()));
return success(1);
}
删除一条数据代码如下:
@RequestMapping(value = "/del")
@Transactional
public Map<String, Object> del(HttpServletRequest request) {
service.delete(service.readQuery(request), service.readConfig(request));
return success(1);
}
public void delete(Map<String,String> query,Map<String,String> config){
QueryWrapper wrapper = new QueryWrapper<E>();
toWhereWrapper(query, "0".equals(config.get(FindConfig.GROUP_BY)),wrapper);
baseMapper.delete(wrapper);
log.info("[{}] - 删除操作:{}",wrapper.getSqlSelect());
}
通过请求的参数获取列表数据,代码如下:
@RequestMapping("/get_list")
public Map<String, Object> getList(HttpServletRequest request) {
Map<String, Object> map = service.selectToPage(service.readQuery(request), service.readConfig(request));
return success(map);
}
获取某个组下面的数量,代码如下:
@RequestMapping(value = {"/count_group", "/count"})
public Map<String, Object> count(HttpServletRequest request) {
Integer value= service.selectSqlToInteger(service.groupCount(service.readQuery(request), service.readConfig(request)));
return success(value);
}
注册页登录代码如下:
/**
* 注册
* @param user
* @return
*/
@PostMapping("register")
public Map<String, Object> signUp(@RequestBody User user) {
// 查询用户
Map<String, String> query = new HashMap<>();
Map<String,Object> map = JSON.parseObject(JSON.toJSONString(user));
query.put("username",user.getUsername());
List list = service.selectBaseList(service.select(query, new HashMap<>()));
if (list.size()>0){
return error(30000, "用户已存在");
}
map.put("password",service.encryption(String.valueOf(map.get("password"))));
service.insert(map);
return success(1);
}
MD5加密,代码如下:
public String encryption(String plainText) {
String re_md5 = new String();
try {
MessageDigest md = MessageDigest.getInstance("MD5");
md.update(plainText.getBytes());
byte b[] = md.digest();
int i;
StringBuffer buf = new StringBuffer("");
for (int offset = 0; offset < b.length; offset++) {
i = b[offset];
if (i < 0)
i += 256;
if (i < 16)
buf.append("0");
buf.append(Integer.toHexString(i));
}
re_md5 = buf.toString();
} catch (Exception e) {
e.printStackTrace();
}
return re_md5;
}
登录页代码如下:
/**
* 登录
* @param data
* @param httpServletRequest
* @return
*/
@PostMapping("login")
public Map<String, Object> login(@RequestBody Map<String, String> data, HttpServletRequest httpServletRequest) {
log.info("[执行登录接口]");
String username = data.get("username");
String email = data.get("email");
String phone = data.get("phone");
String password = data.get("password");
List resultList = null;
Map<String, String> map = new HashMap<>();
if(username != null && "".equals(username) == false){
map.put("username", username);
resultList = service.selectBaseList(service.select(map, new HashMap<>()));
}
else if(email != null && "".equals(email) == false){
map.put("email", email);
resultList = service.selectBaseList(service.select(map, new HashMap<>()));
}
找回密码,接收用户输入的用户名、密码、验证码,并进行条件判断,代码如下:
/**
* 找回密码
* @param form
* @return
*/
@PostMapping("forget_password")
public Map<String, Object> forgetPassword(@RequestBody User form,HttpServletRequest request) {
JSONObject ret = new JSONObject();
String username = form.getUsername();
String code = form.getCode();
String password = form.getPassword();
// 判断条件
if(code == null || code.length() == 0){
return error(30000, "验证码不能为空");
}
if(username == null || username.length() == 0){
return error(30000, "用户名不能为空");
}
if(password == null || password.length() == 0){
return error(30000, "密码不能为空");
}
833

被折叠的 条评论
为什么被折叠?



