表示多对多的关系
图是一种数据结构,其中结点可以具有零个或多个相邻元素。两个结点之间的连接称为边。结点也可以称为顶点。
-
顶点(vertex)
-
边(edge)
-
路径
-
无向图:顶点之间的连接没有方向
-
有向图:顶点之间的连接有方向
-
带权图:边带权值的图,也叫网
-
图的表现方式
- 二维数组表示(邻接矩阵)
- 链表表示(邻接表)
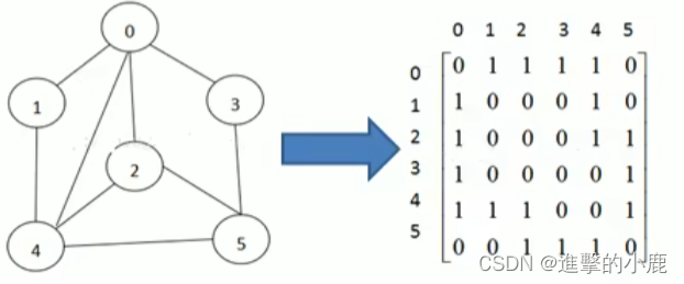
邻接矩阵
邻接矩阵是表示图形中顶点之间相邻关系的矩阵,对于n个顶点的图而言,矩阵是的row和col表示的是1……n个点

代码

package com.xiaolu.graph;
import sun.java2d.windows.GDIRenderer;
import java.util.ArrayList;
import java.util.Arrays;
/**
* 邻接矩阵
*/
public class Graph {
private ArrayList<String> vertexList; // 存储顶点集合
private int[][] edges; // 存储图对应的邻接矩阵
private int numOfEdge; // 表示边的数目
public static void main(String[] args) {
int n = 5; // 结点个数
String Vertexes[] = {"A", "B", "C", "D", "E"};
// 创建图对象
Graph graph = new Graph(n);
// 循环添加顶点
for (String vertex : Vertexes) {
graph.insertVertex(vertex);
}
// 添加边
// A-B A-C B-C B-D B-E
graph.insertEdge(0, 1, 1);
graph.insertEdge(0, 2, 1);
graph.insertEdge(1, 2, 1);
graph.insertEdge(1, 3, 1);
graph.insertEdge(1, 4, 1);
// 显示邻接矩阵
graph.showGraph();
}
public Graph(int n) { // n 表示顶点个数
// 初始化矩阵和集合
edges = new int[n][n];
vertexList = new ArrayList<>(n);
numOfEdge = 0;
}
// 插入结点
public void insertVertex(String vertex) {
vertexList.add(vertex);
}
/**
* 更新邻接矩阵的值【添加边】
*
* @param v1 表示点的下标,即第几个顶点 "A"-"B" "A"->0 "B"->1
* @param v2 表示第二个顶点对应的下标
* @param weight 表示 邻接矩阵中的权值. 此时 0 表示 不可连通,1 表示可连通【有关联】
*/
public void insertEdge(int v1, int v2, int weight) {
edges[v1][v2] = weight;
edges[v2][v1] = weight;
numOfEdge++;
}
// 添加一些图中常用方法
// 返回结点的个数
public int getNumOfEdge() {
return vertexList.size();
}
// 返回边的数目
public int getNumOfEdges() {
return numOfEdge;
}
// 返回结点i(下标)对应的数据 0 ->"A" 1->"B" 2->"C"
public String getValueByIndex(int i) {
return vertexList.get(i);
}
// 返回v1和v2的权值
public int getWeight(int v1, int v2) {
return edges[v1][v2];
}
// 显示图对应的矩阵
public void showGraph() {
for (int[] link : edges) {
System.err.println(Arrays.toString(link));
}
}
}
邻接表
- 邻接矩阵需要为每个顶点都分配n个边的空间,其实有很多边都是不存在,会造成空间的一定损失
- 邻接表的实现只关心存在的边,不关心不存在的边。因此没有空间浪费,邻接表由数组+链表组成

图的深度
图遍历介绍
所谓图的遍历,即是对结点的访问。一个图有那么多个结点,如何遍历这些结点,需要特定策略,一般有两种访问策略:
- 深度优先遍历【纵向】
- 广度优先遍历【横向】
深度优先遍历基本思想(*代码带考察)
图的深度优先搜索(Depth First Search)。代码实现需用到递归
- 深度优先遍历,从初始访问结点出发,初始访问结点可能有多个邻接结点,深度优先遍历的策略就是首先访问第一个邻接结点,然后再以这个被访问的邻接结点作为初始结点,访问它的第一个邻接结点,可以这样理解:每次都在访问完当前结点后首先访问当前结点的第一个邻接结点。
- 我们可以看到,这样的访问策略是优先往纵向挖掘深入,而不是对一个结点的所有邻接结点进行横向访问。
- 显然,深度优先搜索是一个递归的过程
深度优先遍历算法步骤:
- 访问初始结点v,并标记结点v为已访问。
- 查找结点v 的第一个邻接结点w。
- 若w存在,则继续执行4,如果w不存在,则回到第1步,将从v的下一个结点继续。
- 若w未被访问,对w进行深度优先遍历递归(即把w当做另一个V,然后进行步骤123)。
- 若w已被访问,查找结点v 的邻接结点w 的下一个邻接结点,转到步骤3。

/**
* 得到第一个邻接结点的下标 w
*
* @param index
* @return 如果存在就返回对应的下标,否则返回-1
*/
public int getFirstNeighbor(int index) {
for (int j = 0; j < vertexList.size(); j++) {
if (edges[index][j] > 0) {
return j;
}
}
return -1;
}
// 根据前一个邻接结点v2的下标来获取下一个邻接结点
public int getNextNeighbor(int v1, int v2) {
for (int j = v2 + 1; j < vertexList.size(); j++) {
if (edges[v1][j] > 0) {
return j;
}
}
return -1;
}
// 深度优先遍历算法
// i 第一次就是 0
private void dfs(boolean[] isVisited, int i) {
// 访问该结点并输出
System.out.print(getValueByIndex(i) + "->");
// 将结点设置为已经访问
isVisited[i] = true;
// 查找结点 i 的第一个邻接结点w
int w = getFirstNeighbor(i);
while (w != -1) {// 说明下一个结点存在
// 如果没被访问过
if (!isVisited[w]) {
dfs(isVisited, w);
}
// 若w已被访问,查找结点 i 的邻接结点w 的下一个邻接结点
w = getNextNeighbor(i, w);
}
}
// 对dfs 进行一个重载,遍历我们所有的结点,并进行dfs
public void dfs() {
// 遍历所有的结点,进行dfs [回溯]
for (int i = 0; i < getNumOfVertex(); i++) {
// 若 i 存在,则继续执行,如果i不存在,则回到第1步,将从i的下一个结点继续。
if (!isVisited[i]) { // 如果还未被访问过
dfs(isVisited, i);
}
}
}
广度优先遍历基本思想(*代码带考察)
图的广度优先搜索(Broad First Search)。代码实现需用到队列
类似于一个分层搜索的过程,广度优先遍历需要使用一个队列以保持访问过的结点的顺序,以便按这个顺序来访问这些结点的邻接结点
广度优先遍历算法步骤
- 访问初始结点v并标记结点v为已访问。
- 结点v入队列
- 当队列非空时,继续执行,否则算法结束。
- 出队列,取得队头结点u。
- 查找结点u的第一个邻接结点w:
- 若结点u的邻接结点w不存在,则转到步骤3;否则循环执行以下三个步骤:
- 若结点w尚未被访问,则访问结点w并标记为已访问。
- 结点w入队列
- 查找结点u的继w邻接结点后的下一个邻接结点w,转到步骤6。
// 广度优先遍历算法
// 对一个结点进行广度优先遍历的方法
private void bfs(boolean[] isVisited, int i) {
int u; // 表示队列的头结点对应的下标
int w; // 邻接节点w
// 队列,记录结点访问的顺序
LinkedList queue = new LinkedList();
// 访问结点,输出结点信息
System.out.println(getValueByIndex(i) + "=>");
// 标记为已访问
isVisited[i] = true;
// 将结点加入队列
queue.addLast(i);
// 循环从队列中取出头结点
while (!queue.isEmpty()) {
// 取出队列的头结点
u = (Integer) queue.removeFirst();
// 得到第一个邻接结点的下标 w
w = getFirstNeighbor(u);
while (w != -1) {// 找到
// 是否访问过
if (!isVisited[w]) {// 未访问
System.out.println(getValueByIndex(i) + "=>");
// 标记已访问
isVisited[w] = true;
// 入队列
queue.addLast(w);
}
// 以u为前驱点,找w后的下一个邻结点
w = getNextNeighbor(u, w); // 体现出广度优先
}
}
}
// 遍历所有的结点,都进行广度优先搜索
public void bfs() {
for (int i = 0; i < getNumOfVertex(); i++) {
if (!isVisited[i]) {// 如果未访问
bfs(isVisited, i);
}
}
}
代码

package com.xiaolu.graph;
import java.util.ArrayList;
import java.util.Arrays;
import java.util.LinkedHashMap;
import java.util.LinkedList;
/**
* @author 林小鹿
* @version 1.0
*/
public class Graph {
private ArrayList<String> vertexList; // 存储顶点集合
private int[][] edges; // 存储图对应的邻接矩阵,0表示没有联系, 1表示有联系
private int numOfEdge; // 表示边的数目
// 定义给数组boolean[],记录某个结点是否被访问
private boolean[] isVisited;
public static void main(String[] args) {
int n = 8; // 结点个数
// String Vertexes[] = {"A", "B", "C", "D", "E"};
String Vertexes[] = {"1", "2", "3", "4", "5", "6", "7", "8"};
// 创建图对象
Graph graph = new Graph(n);
// 循环添加顶点
for (String vertex : Vertexes) {
graph.insertVertex(vertex);
}
// 添加边
// // A-B A-C B-C B-D B-E
// graph.insertEdge(0, 1, 1);
// graph.insertEdge(0, 2, 1);
// graph.insertEdge(1, 2, 1);
// graph.insertEdge(1, 3, 1);
// graph.insertEdge(1, 4, 1);
//更新边的关系
graph.insertEdge(0, 1, 1);
graph.insertEdge(0, 2, 1);
graph.insertEdge(1, 3, 1);
graph.insertEdge(1, 4, 1);
graph.insertEdge(3, 7, 1);
graph.insertEdge(4, 7, 1);
graph.insertEdge(2, 5, 1);
graph.insertEdge(2, 6, 1);
graph.insertEdge(5, 6, 1);
// 显示邻接矩阵
graph.showGraph();
// 深度优先算法遍历
System.out.println("深度优先算法遍历");
graph.dfs(); // 1->2->4->8->5->3->6->7
System.out.println();
System.out.println("广度优先算法遍历");
graph.bfs(); // 1=>2=>3=>4=>5=>6=>7=>8
}
public Graph(int n) { // n 表示顶点个数
// 初始化矩阵和集合
edges = new int[n][n];
vertexList = new ArrayList<>(n);
numOfEdge = 0;
}
/**
* 得到第一个邻接结点的下标 w
*
* @param index
* @return 如果存在就返回对应的下标,否则返回-1
*/
public int getFirstNeighbor(int index) {
for (int j = 0; j < vertexList.size(); j++) {
if (edges[index][j] > 0) {
return j;
}
}
return -1;
}
// 根据前一个邻接结点v2的下标来获取下一个邻接结点
public int getNextNeighbor(int v1, int v2) {
for (int j = v2 + 1; j < vertexList.size(); j++) {
if (edges[v1][j] > 0) {
return j;
}
}
return -1;
}
// 深度优先遍历算法
// i 第一次就是 0
private void dfs(boolean[] isVisited, int i) {
// 访问该结点并输出
System.out.print(getValueByIndex(i) + "->");
// 将结点设置为已经访问
isVisited[i] = true;
// 查找结点 i 的第一个邻接结点w
int w = getFirstNeighbor(i);
while (w != -1) {// 说明下一个结点存在
// 如果没被访问过
if (!isVisited[w]) {
dfs(isVisited, w);
}
// 若w已被访问,查找结点 i 的邻接结点w 的下一个邻接结点
w = getNextNeighbor(i, w);
}
}
// 对dfs 进行一个重载,遍历我们所有的结点,并进行深度优先
public void dfs() {
isVisited = new boolean[vertexList.size()];
// 遍历所有的结点,进行dfs [回溯]
for (int i = 0; i < getNumOfVertex(); i++) {
// 若 i 存在,则继续执行,如果i不存在,则回到第1步,将从i的下一个结点继续。
if (!isVisited[i]) { // 如果还未被访问过
dfs(isVisited, i);
}
}
}
// 广度优先遍历算法
// 对一个结点进行广度优先遍历的方法
private void bfs(boolean[] isVisited, int i) {
int u; // 表示队列的头结点对应的下标
int w; // 邻接节点w
// 队列,记录结点访问的顺序
LinkedList queue = new LinkedList();
// 访问结点,输出结点信息
System.out.print(getValueByIndex(i) + "=>");
// 标记为已访问
isVisited[i] = true;
// 将结点加入队列
queue.addLast(i);
// 循环从队列中取出头结点
while (!queue.isEmpty()) {
// 取出队列的头结点
u = (Integer) queue.removeFirst();
// 得到第一个邻接结点的下标 w
w = getFirstNeighbor(u);
while (w != -1) {// 找到
// 是否访问过
if (!isVisited[w]) {// 未访问
System.out.print(getValueByIndex(w) + "=>");
// 标记已访问
isVisited[w] = true;
// 入队列
queue.addLast(w);
}
// 以u为前驱点,找w后的下一个邻结点
w = getNextNeighbor(u, w); // 体现出广度优先
}
}
}
// 遍历所有的结点,都进行广度优先搜索
public void bfs() {
isVisited = new boolean[vertexList.size()];
for (int i = 0; i < getNumOfVertex(); i++) {
if (!isVisited[i]) {// 如果未访问
bfs(isVisited, i);
}
}
}
// 插入结点
public void insertVertex(String vertex) {
vertexList.add(vertex);
}
/**
* 更新邻接矩阵的值【添加边】
*
* @param v1 表示点的下标,即第几个顶点 "A"-"B" "A"->0 "B"->1
* @param v2 表示第二个顶点对应的下标
* @param weight 表示 邻接矩阵中的权值. 此时 0 表示 不可连通,1 表示可连通【有关联】
*/
public void insertEdge(int v1, int v2, int weight) {
edges[v1][v2] = weight;
edges[v2][v1] = weight;
numOfEdge++;
}
// 添加一些图中常用方法
// 返回结点的个数
public int getNumOfVertex() {
return vertexList.size();
}
// 返回边的数目
public int getNumOfEdges() {
return numOfEdge;
}
// 返回结点i(下标)对应的数据 0 ->"A" 1->"B" 2->"C"
public String getValueByIndex(int i) {
return vertexList.get(i);
}
// 返回v1和v2的权值
public int getWeight(int v1, int v2) {
return edges[v1][v2];
}
// 显示图对应的矩阵
public void showGraph() {
for (int[] link : edges) {
System.err.println(Arrays.toString(link));
}
}
}
本文介绍了图的基本概念,包括顶点、边和不同类型图的表示(邻接矩阵与邻接表)。详细阐述了深度优先搜索(DFS)和广度优先搜索(BFS)的原理及其实现,通过Java代码展示了如何在图中添加顶点、边以及进行这两种遍历算法的应用。

被折叠的 条评论
为什么被折叠?



