Task05:树
1. 视频题目
1.1 二叉树的最大深度
1.1.1 描述
给定一个二叉树,找出其最大深度。
二叉树的深度为根节点到最远叶子节点的最长路径上的节点数。
说明: 叶子节点是指没有子节点的节点。
示例:
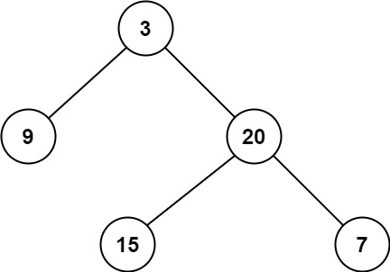
给定二叉树 [3,9,20,null,null,15,7],
返回它的最大深度 3 。
1.1.2 代码
第一种思路是自下而上地边号,也就是说叶子为1,向上则+1
还按照上面的例子演示,对于左子树,只有一个结点,9,depth是1
而对于右子树,15和7的depth都是1,20的depth是2,左右取较大再+1,为3
# Definition for a binary tree node.
# class TreeNode:
# def __init__(self, val=0, left=None, right=None):
# self.val = val
# self.left = left
# self.right = right
class Solution:
def dfs(self,root):
if not root:
return 0
# 结点为空,返回编号0
leftDepth = self.dfs(root.left)
# 继续向下探索左子树
rightDepth = self.dfs(root.right)
# 继续向下探索右子树
return max(leftDepth,rightDepth)+1
# 取左右子树中较大的编号+1
# 即找到更大的深度再+1
def maxDepth(self, root: Optional[TreeNode]) -> int:
return self.dfs(root)
第二种是自上而下地编号,然后找左右子树的更大深度
遇空则返回父亲层次,也就是叶子结点层次
# Definition for a binary tree node.
# class TreeNode:
# def __init__(self, val=0, left=None, right=None):
# self.val = val
# self.left = left
# self.right = right
class Solution:
def dfs(self,root,parentDepth):
if not root:
return parentDepth
# 如果为空就返回父节点的层次
leftDepth = self.dfs(root.left, parentDepth+1)
# parentDepth+1为当前层次,左子树向下寻找更大的层次
rightDepth = self.dfs(root.right, parentDepth+1)
# parentDepth+1为当前层次,右子树向下寻找更大的层次
return max(leftDepth,rightDepth)
# 返回两者当中更大的层次
def maxDepth(self, root: Optional[TreeNode]) -> int:
return self.dfs(root,0)
第三种思路就是层次遍历,每层+1,直到最后一层
# Definition for a binary tree node.
# class TreeNode:
# def __init__(self, val=0, left=None, right=None):
# self.val = val
# self.left = left
# self.right = right
class Solution:
def bfs(self,root):
ans = 0
queue = []
# 维护队列
queue.append(root)
# 加入根节点
while queue and queue[0]:
# 队列非空,根节点非空
ans += 1
# 层次+1
size = len(queue)
# 本层的结点个数
for _ in range(size):
# 将本层节点的左右孩子加入队列
cur = queue.pop(0)
# 弹出当前访问的节点
if cur.left:
queue.append(cur.left)
# 左孩子加入队列
if cur.right:
queue.append(cur.right)
# 右孩子加入队列
return ans
def maxDepth(self, root: Optional[TreeNode]) -> int:
return self.bfs(root)
1.1.3 总结
对于根节点要判断其是否为空,也要注意其没有左右孩子
层次遍历维护的是一个队列,每次访问到节点就将其孩子入队
1.2 将有序数组转换为二叉搜索树
1.2.1 描述
给你一个整数数组 nums ,其中元素已经按 升序 排列,请你将其转换为一棵 高度平衡 二叉搜索树。
高度平衡 二叉树是一棵满足「每个节点的左右两个子树的高度差的绝对值不超过 1 」的二叉树。
示例 1:

输入:nums = [-10,-3,0,5,9]
输出:[0,-3,9,-10,null,5]
解释:[0,-10,5,null,-3,null,9] 也将被视为正确答案:
示例 2:

输入:nums = [1,3]
输出:[3,1]
解释:[1,3] 和 [3,1] 都是高度平衡二叉搜索树。
提示:
1 <= nums.length <= 104
-104 <= nums[i] <= 104
nums 按 严格递增 顺序排列
1.2.2 代码
二叉搜索树意味着中序是升序,而且保证平衡,所以要从中点分开
# Definition for a binary tree node.
# class TreeNode:
# def __init__(self, val=0, left=None, right=None):
# self.val = val
# self.left = left
# self.right = right
class Solution:
def buildBST(self, nums, low, high):
if low > high:
return None
mid = int( low + (high-low)/2 )
# 防止low+high后溢出,找中点都是这个操作
root = TreeNode(nums[mid])
# 中点作为根节点
root.left = self.buildBST(nums, low, mid-1)
# 更小的值放在左子树继续向下构建
root.right = self.buildBST(nums, mid+1, high)
# 更大的值放在右子树继续向下构建
return root
# 构建完毕后返回根节点
def sortedArrayToBST(self, nums: List[int]) -> TreeNode:
return self.buildBST(nums,0,len(nums)-1)
1.2.3 总结
二叉树相关的操作一般从递归开始考虑,每次递归只考虑最小树的情况
low + (high-low)/2, 防止low+high后溢出,找中点都是这个操作
2. 作业题目
2.1 二叉树的最小深度
2.1.1 描述
给定一个二叉树,找出其最小深度。
最小深度是从根节点到最近叶子节点的最短路径上的节点数量。
说明:叶子节点是指没有子节点的节点。
示例 1:

输入:root = [3,9,20,null,null,15,7]
输出:2
示例 2:
输入:root = [2,null,3,null,4,null,5,null,6]
输出:5
提示:
树中节点数的范围在 [0, 105] 内
-1000 <= Node.val <= 1000
2.1.2 代码
使用广度有限搜索,自上到下层次遍历更好
遇到叶子节点直接返回深度即可,因为求的是根节点到叶子节点的路径
# Definition for a binary tree node.
# class TreeNode:
# def __init__(self, val=0, left=None, right=None):
# self.val = val
# self.left = left
# self.right = right
class Solution:
def bfs(self, root):
queue = []
# 初始化队列
queue.append(root)
# 根节点入队
depth = 0
# 初始化深度
while queue and queue[0]:
# 队列不空,且根节点不空
depth += 1
# 更新深度
size = len(queue)
# 本层的节点个数
for _ in range(size):
# 遍历本次的节点
cur = queue.pop(0)
# 弹出遍历到的节点
if not(cur.left) and not(cur.right):
return depth
# 如果是叶子节点就返回深度
if cur.left:
queue.append(cur.left)
# 左孩子入队
if cur.right:
queue.append(cur.right)
# 右孩子入队
return depth
# 根节点为空,直接返回
def minDepth(self, root: TreeNode) -> int:
return self.bfs(root)
我有次提交直接改了最大深度的代码,然后就报错了
其原因还是因为深度的定义,指的是从根节点到最近叶子节点

题中测试案例给的是这个二叉树,如下图所示

我们的代码如下图所示:
# Definition for a binary tree node.
# class TreeNode:
# def __init__(self, val=0, left=None, right=None):
# self.val = val
# self.left = left
# self.right = right
class Solution:
def dfs(self,root,parentDepth):
if not root:
return parentDepth
# 如果为空就返回父节点的层次
leftDepth = self.dfs(root.left, parentDepth+1)
# parentDepth+1为当前层次,左子树向下寻找更大的层次
rightDepth = self.dfs(root.right, parentDepth+1)
# parentDepth+1为当前层次,右子树向下寻找更大的层次
return min(leftDepth,rightDepth)
# 返回两者当中更小的层次
def minDepth(self, root: Optional[TreeNode]) -> int:
return self.dfs(root,0)
所以这个代码直接就在根节点返回了,没有到叶子节点
2.1.3 总结
一定要看清楚题目当中对相关指标的定义
2.2 路径总和
2.2.1 描述
给你二叉树的根节点 root 和一个表示目标和的整数 targetSum 。判断该树中是否存在 根节点到叶子节点 的路径,这条路径上所有节点值相加等于目标和 targetSum 。如果存在,返回 true ;否则,返回 false 。
叶子节点 是指没有子节点的节点。
示例 1:

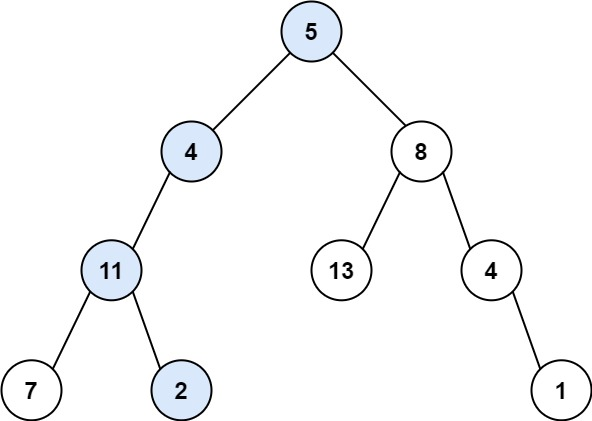
输入:root = [5,4,8,11,null,13,4,7,2,null,null,null,1], targetSum = 22
输出:true
解释:等于目标和的根节点到叶节点路径如上图所示。
示例 2:

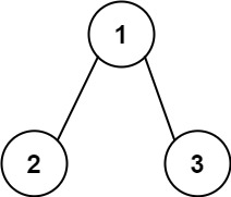
输入:root = [1,2,3], targetSum = 5
输出:false
解释:树中存在两条根节点到叶子节点的路径:
(1 --> 2): 和为 3
(1 --> 3): 和为 4
不存在 sum = 5 的根节点到叶子节点的路径。
示例 3:
输入:root = [], targetSum = 0
输出:false
解释:由于树是空的,所以不存在根节点到叶子节点的路径。
提示:
树中节点的数目在范围 [0, 5000] 内
-1000 <= Node.val <= 1000
-1000 <= targetSum <= 1000
2.2.2 代码
和上一题的最小深度类似,都是需要根节点到叶子节点
那就进行层次遍历,维护两个队列,一个是节点,一个是根节点到当前节点的值
如果当前节点是叶子节点,那就判断和是否匹配,并返回相应的结果
class Solution:
def hasPathSum(self, root: TreeNode, sum: int) -> bool:
if not root:
return False
# 遍历到空节点直接返回
que_node = collections.deque([root])
# 层次遍历的节点队列
que_val = collections.deque([root.val])
# 层次遍历的数值队列
while que_node:
# 节点队列不为空
now = que_node.popleft()
temp = que_val.popleft()
# 取出队列头部的节点和数值
if not now.left and not now.right:
if temp == sum:
return True
continue
# 遍历到当前节点
# 判断是不是叶子节点
# 如果是叶子节点就看路径和是否匹配
if now.left:
que_node.append(now.left)
# 左孩子入队
que_val.append(now.left.val + temp)
# 根节点到左孩子的和入队
if now.right:
que_node.append(now.right)
# 右孩子入队
que_val.append(now.right.val + temp)
# 根节点到右孩子的和入队
return False
我之前用深度优先搜索的时候报错了,对应的测试用例如下:

测试用例的二叉树如下图:

代码如下:
# Definition for a binary tree node.
# class TreeNode:
# def __init__(self, val=0, left=None, right=None):
# self.val = val
# self.left = left
# self.right = right
class Solution:
def dfs(self, root, sum, targetSum):
if not(root) :
if sum==targetSum:
return True
else:
return False
leftSearch = self.dfs(root.left, root.val+sum, targetSum)
rightSearch = self.dfs(root.right, root.val+sum, targetSum)
return leftSearch or rightSearch
def hasPathSum(self, root: Optional[TreeNode], targetSum: int) -> bool:
if not root :
return False
else:
return self.dfs(root, 0, targetSum)
所以报错的原因,是把根节点当作了叶子节点,也就是没有准确判断叶子节点
2.2.3 总结
注意题中对相应指标的定义,如果临界条件是叶子节点,记得用层次遍历
2.3 二叉搜索树迭代器
2.3.1 描述
实现一个二叉搜索树迭代器类BSTIterator ,表示一个按中序遍历二叉搜索树(BST)的迭代器:
BSTIterator(TreeNode root) 初始化 BSTIterator 类的一个对象。BST 的根节点 root 会作为构造函数的一部分给出。指针应初始化为一个不存在于 BST 中的数字,且该数字小于 BST 中的任何元素。
boolean hasNext() 如果向指针右侧遍历存在数字,则返回 true ;否则返回 false 。
int next()将指针向右移动,然后返回指针处的数字。
注意,指针初始化为一个不存在于 BST 中的数字,所以对 next() 的首次调用将返回 BST 中的最小元素。
你可以假设 next() 调用总是有效的,也就是说,当调用 next() 时,BST 的中序遍历中至少存在一个下一个数字。
示例:

输入
[“BSTIterator”, “next”, “next”, “hasNext”, “next”, “hasNext”, “next”, “hasNext”, “next”, “hasNext”]
[[[7, 3, 15, null, null, 9, 20]], [], [], [], [], [], [], [], [], []]
输出
[null, 3, 7, true, 9, true, 15, true, 20, false]
解释
BSTIterator bSTIterator = new BSTIterator([7, 3, 15, null, null, 9, 20]);
bSTIterator.next(); // 返回 3
bSTIterator.next(); // 返回 7
bSTIterator.hasNext(); // 返回 True
bSTIterator.next(); // 返回 9
bSTIterator.hasNext(); // 返回 True
bSTIterator.next(); // 返回 15
bSTIterator.hasNext(); // 返回 True
bSTIterator.next(); // 返回 20
bSTIterator.hasNext(); // 返回 False
提示:
树中节点的数目在范围 [1, 105] 内
0 <= Node.val <= 106
最多调用 105 次 hasNext 和 next 操作
进阶:
你可以设计一个满足下述条件的解决方案吗?next() 和 hasNext() 操作均摊时间复杂度为 O(1) ,并使用 O(h) 内存。其中 h 是树的高度。
2.3.2 代码1
看题目要求的话就是两个函数,一个是next(),另一个hasNext()
所以或许最直接最简单的操作是在初始化的时候直接中序遍历打表
class BSTIterator(object):
def __init__(self, root):
"""
:type root: TreeNode
"""
self.res = list()
def inorder(node):
if not node:
return
inorder(node.left)
self.res.append(node.val)
inorder(node.right)
inorder(root)
self.index = 0
def next(self):
"""
@return the next smallest number
:rtype: int
"""
self.index += 1
# print self.index - 1, self.res
return self.res[self.index - 1]
def hasNext(self):
"""
@return whether we have a next smallest number
:rtype: bool
"""
return self.index < len(self.res)
但是这个操作似乎不那么地Iterator,如果每次之走遍历的一步可能更像
那每次遍历的子树,其左孩子一定是全局最小的,所以每次应该都是从最左的孩子开始
也就是说,递归遍历,一直压左孩子入栈,直到叶子节点
然后每次访问的时候,弹出当前节点的值,然后压右孩子的左孩子的左孩子…到叶子节点
所以说,全局的时候是从最左的孩子开始的,下一步压入的右孩子是空
所以栈顶元素是最左的孩子的父节点,即向上一层,然后再压父节点的右孩子的左孩子的左孩子…到叶子节点
class BSTIterator(object):
def __init__(self, root):
"""
:type root: TreeNode
"""
self.stack = []
self.pushLeft(root)
def next(self):
"""
@return the next smallest number
:rtype: int
"""
popedNode = self.stack.pop()
self.pushLeft(popedNode.right)
return popedNode.val
def hasNext(self):
"""
@return whether we have a next smallest number
:rtype: bool
"""
return len(self.stack) != 0
def pushLeft(self, node):
while(node):
self.stack.append(node)
node = node.left
2.3.2 总结
果然还是打表最简单,进阶玩法需要保证栈顶为最小元素
本文介绍了如何实现二叉搜索树迭代器,通过中序遍历和栈的操作,提供hasNext和next方法的高效实现,同时讨论了进阶优化和常见示例。

370

被折叠的 条评论
为什么被折叠?



