移除链表元素
题目:203. 移除链表元素
给你一个链表的头节点 head 和一个整数 val ,请你删除链表中所有满足 Node.val == val 的节点,并返回 新的头节点 。
示例 1:

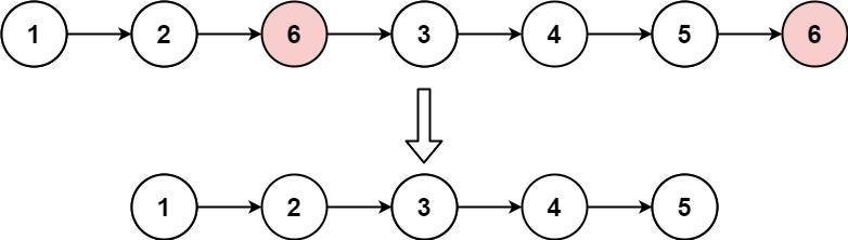
输入:head = [1,2,6,3,4,5,6], val = 6
输出:[1,2,3,4,5]
示例 2:
输入:head = [], val = 1
输出:[]
示例 3:
输入:head = [7,7,7,7], val = 7
输出:[]
提示:
- 列表中的节点数目在范围
[0, 104]内 1 <= Node.val <= 500 <= val <= 50
方法一:链表元素删除,是最简单的算法题,请务必掌握
func removeElements(head *ListNode, val int) *ListNode {
// 因为给的ListNode不带头结点,所以首元结点需要单独处理
// 删除前端值为val的节点
for head != nil && head.Val == val {
head = head.Next
}
if head == nil {
return head
}
p := head
r := head.Next
for r != nil {
if r.Val == val {
// 删除r节点
p.Next = r.Next
} else {
p = r
}
r = p.Next
}
return head
}
时间复杂度为O(n)。
也可以给传入参数加上头结点,让后续节点操作同步,快去试试吧。

8万+

被折叠的 条评论
为什么被折叠?



