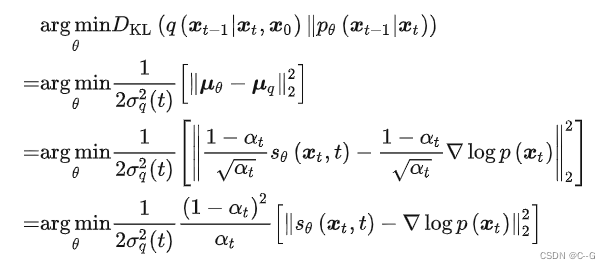
DDIM中遇到的Score-based SDE
这里采用表示神经网络的预测值,用
表示
。同时
等价于
![]()
DDPM回顾
贝叶斯公式

原始公式

前向过程

表示连乘
反向过程


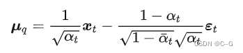
由前向过程可知:
所以:
正态分布:
重参数技巧:
反向过程:
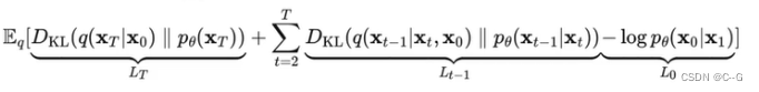
优化目标:
对于两个单一变量的高斯分布 p 和 q而言,KL散度为
最终简化为:
经验贝叶斯估计
根据经验贝叶斯估计,对于应该高斯变量
,有以下结论:

将上式代入前向过程可得

前向过程展开后为:
,对
做等价变换
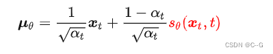
同样的,在DDPM中推导优化目标的时候,是需要先建模出
,然后再用一个神经网络来学习近似它,当时推导的结论是:
替换
即可以得到一个新的建模方式
将逆向估计过程建模成
重新推导DDPM中的优化目标

表示神经网络的预测值,用
表示
。同时
等价于
最低0.47元/天 解锁文章
1万+





