总时差与自由时差
总时差:本活动的最晚开始-最早开始 / 本活动最晚结束-最早结束
自由时差:min(紧后工作的最早开始)-本工作的最早完成
eg:你和前女友排队买面包,共有两个小时,一个人一个小时的购买时间,购买面包只需要半个小时。你的时间是9:00-10:00,前女友的时间是10:00-11:00,你买完了,你前女友接着买。
总时差:你若只考虑卡结束时间,那你磨蹭了一下9:30才开始购买,10:00完成。那么总时差就是9:30减去9:00,即0.5h。
自由时差:为了不出现差错哦影响前女友购买,你9:00立马就开始买,九点半结束。那么前女友10:00可以开始购买。自由时差就是10:00减去9:30,考虑前女友的最早开始时间,你也尽早开始。(紧后工作可能不止一个,哪个前女友的时间最早就按哪个来)
单代号网络图与双代号网络图
单代号网络图与双代号网络图主要有三个区别:箭线、节点和虚工作
1.箭线
单代号网络图中,箭线仅表示各项工作之间的逻辑关系。在双代号网络图中,箭线直接表示某项工作。
2.节点
在单代号网络图中,节点表示工作。节点必须编号,此编号为工作的代号。在双代号网络图中,节点表示工作之间的联结。同样用圆圈表示,圆圈中编上整数号码,称为事件编号。 在时间上,它表示指向某节点的工作全部完成后,该节点后面的工作才能开始。
3.虚工作
单代号网络中没有虚工作。在双代号网络图中,虚工作仅表示工作之间的先后顺序,用虚线矢箭表示。
即当网络图中有多项开始工作时,应增设一项虚拟的工作(S),作为该网络图的起点节点;当网络图中有多项结束工作时,应增设一项虚拟的工作(F),作为该网络图的终点节点。
单代号网络图
七个参数:

例:
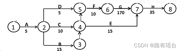
双代号网络图
六个参数:

例1

例2


342

被折叠的 条评论
为什么被折叠?



