力扣日记:【二叉树篇】701. 二叉搜索树中的插入操作
日期:2024.
参考:代码随想录、力扣
——————————————————————
天哪,上次打开力扣还是2023,转眼已经2024?!
两个星期过去了!!整整摸了两个星期啊!!!(跪地,忏悔,阴暗爬行___||||||)
701. 二叉搜索树中的插入操作
题目描述
难度:中等
给定二叉搜索树(BST)的根节点 root 和要插入树中的值 value ,将值插入二叉搜索树。 返回插入后二叉搜索树的根节点。 输入数据 保证 ,新值和原始二叉搜索树中的任意节点值都不同。
注意,可能存在多种有效的插入方式,只要树在插入后仍保持为二叉搜索树即可。 你可以返回 任意有效的结果 。
示例 1:

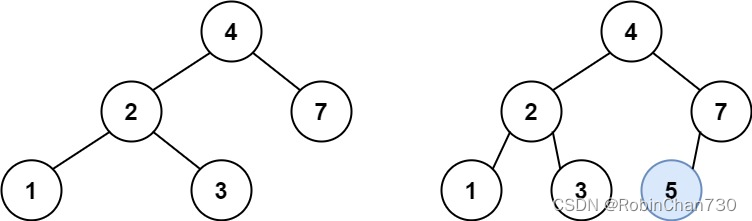
输入:root = [4,2,7,1,3], val = 5
输出:[4,2,7,1,3,5]
解释:另一个满足题目要求可以通过的树是:
示例 2:
输入:root = [40,20,60,10,30,50,70], val = 25
输出:[40,20,60,10,30,50,70,null,null,25]
示例 3:
输入:root = [4,2,7,1,3,null,null,null,null,null,null], val = 5
输出:[4,2,7,1,3,5]
提示:
- 树中的节点数将在 [0, 10^4]的范围内。
- -10^8 <= Node.val <= 10^8
- 所有值 Node.val 是 独一无二 的。
- -10^8 <= val <= 10^8
- 保证 val 在原始BST中不存在。
题解
/**
* Definition for a binary tree node.
* struct TreeNode {
* int val;
* TreeNode *left;
* TreeNode *right;
* TreeNode() : val(0), left(nullptr), right(nullptr) {}
* TreeNode(int x) : val(x), left(nullptr), right(nullptr) {}
* TreeNode(int x, TreeNode *left, TreeNode *right) : val(x), left(left), right(right) {}
* };
*/
class Solution {
public:
TreeNode* insertIntoBST(TreeNode* root, int val) {
// 被吓怕了,直接去看答案了啊啊啊啊
// 不考虑题目中提示所说的改变树的结构的插入方式,
// 只要遍历二叉搜索树,找到空节点 插入元素就可以了
if (root == nullptr) {
return new TreeNode(val); // 遇到空节点,则创建节点并返回给上一层作为其子节点
}
if (val < root->val) {
root->left = insertIntoBST(root->left, val); // 递归返回插入该元素后该子树的根节点
} else if (val > root->val) {
root->right = insertIntoBST(root->right, val); // 同理,递归返回插入该元素后该子树的根节点
}
return root;
}
};
复杂度
时间复杂度:
空间复杂度:
思路总结
- 最关键的:不考虑题目中提示所说的改变树的结构的插入方式
- 只要遍历二叉搜索树,找到空节点 插入元素就可以了!!!
- 只要遍历二叉搜索树,找到空节点 插入元素就可以了!!!
- 只要遍历二叉搜索树,找到空节点 插入元素就可以了!!!
本文介绍如何在二叉搜索树(BST)中进行插入操作,避免改变树结构,通过递归遍历找到空节点并插入新值。时间复杂度和空间复杂度分析未给出。

279

被折叠的 条评论
为什么被折叠?



