力扣日记:【链表篇】相交链表
日期:2023.8.17
参考:代码随想录、力扣
160. 相交链表
题目描述
难度:简单
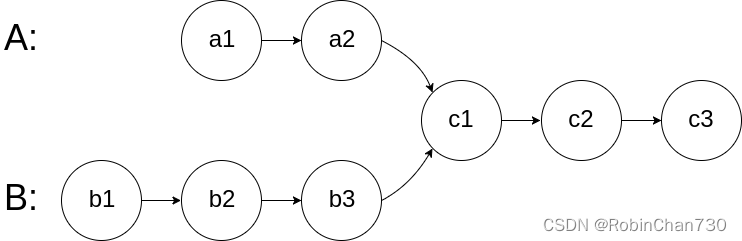
给你两个单链表的头节点 headA 和 headB ,请你找出并返回两个单链表相交的起始节点。如果两个链表不存在相交节点,返回 null 。
图示两个链表在节点 c1 开始相交:

题目数据 保证 整个链式结构中不存在环。
注意,函数返回结果后,链表必须 保持其原始结构 。
自定义评测:
评测系统 的输入如下(你设计的程序 不适用 此输入):
- intersectVal - 相交的起始节点的值。如果不存在相交节点,这一值为 0
- listA - 第一个链表
- listB - 第二个链表
- skipA - 在 listA 中(从头节点开始)跳到交叉节点的节点数
- skipB - 在 listB 中(从头节点开始)跳到交叉节点的节点数
评测系统将根据这些输入创建链式数据结构,并将两个头节点 headA 和 headB 传递给你的程序。如果程序能够正确返回相交节点,那么你的解决方案将被 视作正确答案 。
示例 1:

输入:intersectVal = 8, listA = [4,1,8,4,5], listB = [5,6,1,8,4,5], skipA = 2, skipB = 3
输出:Intersected at '8'
解释:相交节点的值为 8 (注意,如果两个链表相交则不能为 0)。
从各自的表头开始算起,链表 A 为 [4,1,8,4,5],链表 B 为 [5,6,1,8,4,5]。
在 A 中,相交节点前有 2 个节点;在 B 中,相交节点前有 3 个节点。
— 请注意相交节点的值不为 1,因为在链表 A 和链表 B 之中值为 1 的节点 (A 中第二个节点和 B 中第三个节点) 是不同的节点。换句话说,它们在内存中指向两个不同的位置,而链表 A 和链表 B 中值为 8 的节点 (A 中第三个节点,B 中第四个节点) 在内存中指向相同的位置。
示例 2:

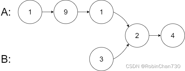
输入:intersectVal = 2, listA = [1,9,1,2,4], listB = [3,2,4], skipA = 3, skipB = 1
输出:Intersected at '2'
解释:相交节点的值为 2 (注意,如果两个链表相交则不能为 0)。
从各自的表头开始算起,链表 A 为 [1,9,1,2,4],链表 B 为 [3,2,4]。
在 A 中,相交节点前有 3 个节点;在 B 中,相交节点前有 1 个节点。
示例 3:

输入:intersectVal = 0, listA = [2,6,4], listB = [1,5], skipA = 3, skipB = 2
输出:null
解释:从各自的表头开始算起,链表 A 为 [2,6,4],链表 B 为 [1,5]。
由于这两个链表不相交,所以 intersectVal 必须为 0,而 skipA 和 skipB 可以是任意值。
这两个链表不相交,因此返回 null 。
提示:
- listA 中节点数目为 m
- listB 中节点数目为 n
- 1 <= m, n <= 3 * 104
- 1 <= Node.val <= 105
- 0 <= skipA <= m
- 0 <= skipB <= n
- 如果 listA 和 listB 没有交点,intersectVal 为 0
- 如果 listA 和 listB 有交点,intersectVal == listA[skipA] == listB[skipB]
进阶:你能否设计一个时间复杂度 O(m + n) 、仅用 O(1) 内存的解决方案?
题解
/**
* Definition for singly-linked list.
* struct ListNode {
* int val;
* ListNode *next;
* ListNode(int x) : val(x), next(NULL) {}
* };
*/
class Solution {
public:
ListNode *getIntersectionNode(ListNode *headA, ListNode *headB) {
// 同步双指针法
// 计算链表A的长度
int lenA = 0;
ListNode* curA = headA;
while (curA != NULL) {
lenA++;
curA = curA->next;
}
// 计算链表B的长度
int lenB = 0;
ListNode* curB = headB;
while (curB != NULL) {
lenB++;
curB = curB->next;
}
// 移动到距离尾部节点相同位置
curA = headA;
curB = headB;
if (lenA > lenB) {
int offset = lenA - lenB;
while (offset--) {
curA = curA->next;
}
} else if (lenB > lenA) {
int offset = lenB - lenA;
while (offset--) {
curB = curB->next;
}
}
// 同步往后移并判断
while (curA != NULL) {
if (curA == curB) { // 指向相同位置(即相交)
return curA;
}
curA = curA->next;
curB = curB->next;
}
return NULL;
}
};
执行结果
时间复杂度:O(m+n+m+n) = O(m+n)
空间复杂度:O(1)
文章介绍了如何使用同步双指针算法解决链表相交问题,通过计算链表长度差,让两个指针同时移动到相同距离尾部的位置,然后同步前进,找到相交节点。
1653





