94. binary tree inorder traversal 二叉树的中序遍历
一、刷题内容
原题链接
https://leetcode-cn.com/problems/binary-tree-inorder-traversal/
内容描述
给定一个二叉树的根节点 root ,返回它的 中序 遍历。
示例 1:

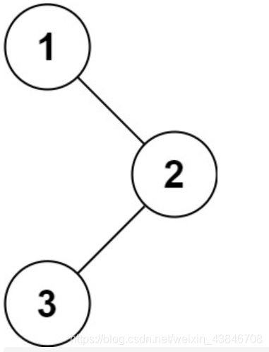
输入:root = [1,null,2,3]
输出:[1,3,2]
示例 2:
输入:root = []
输出:[]
示例 3:
输入:root = [1]
输出:[1]
示例 4:

输入:root = [1,2]
输出:[2,1]
示例 5:

输入:root = [1,null,2]
输出:[1,2]
提示:
树中节点数目在范围 [0, 100] 内
-100 <= Node.val <= 100
进阶: 递归算法很简单,你可以通过迭代算法完成吗?
二、解题方法
1.方法一:递归
# Definition for a binary tree node.
# class TreeNode:
# def __init__(self, val=0, left=None, right=None):
# self.val = val
# self.left = left
# self.right = right
class Solution:
def inorderTraversal(self, root: TreeNode) -> List[int]:
res = []
def inorder(root):
if not root:
return
inorder(root.left)
res.append(root.val)
inorder(root.right)
inorder(root)
return res
2.方法二:迭代
# Definition for a binary tree node.
# class TreeNode:
# def __init__(self, val=0, left=None, right=None):
# self.val = val
# self.left = left
# self.right = right
class Solution:
def inorderTraversal(self, root: TreeNode) -> List[int]:
res = []
if not root:
return res
stack = []
node = root
while stack or node:
while node:
stack.append(node)
node = node.left
node = stack.pop()
res.append(node.val)
node = node.right
return res
3.方法三:简递归
# Definition for a binary tree node.
# class TreeNode:
# def __init__(self, val=0, left=None, right=None):
# self.val = val
# self.left = left
# self.right = right
class Solution:
def inorderTraversal(self, root: TreeNode) -> List[int]:
if not root:
return []
return self.inorderTraversal(root.left)+[root.val]+self.inorderTraversal(root.right)
4.方法四:Morris中序遍历
Morris 遍历算法整体步骤如下(假设当前遍历到的节点为 x):
1、如果 x 无左孩子,先将 x 的值加入答案数组,再访问 x 的右孩子,即 x=x.right。
2、如果 x 有左孩子,则找到 x 左子树上最右的节点(即左子树中序遍历的最后一个节点,x 在中序遍历中的前驱节点),我们记为 predecessor。根据 predecessor 的右孩子是否为空,进行如下操作。
如果 predecessor 的右孩子为空,则将其右孩子指向 x,然后访问 x 的左孩子,即 x=x.left。
如果 predecessor 的右孩子不为空,则此时其右孩子指向 x,说明我们已经遍历完 x 的左子树,我们将 predecessor 的右孩子置空,将 x 的值加入答案数组,然后访问 x 的右孩子,即x=x.right。
3、重复上述操作,直至访问完整棵树。
其实整个过程我们就多做一步:假设当前遍历到的节点为 x,将 x 的左子树中最右边的节点的右孩子指向 x,这样在左子树遍历完成后我们通过这个指向走回了 x,且能通过这个指向知晓我们已经遍历完成了左子树,而不用再通过栈来维护,省去了栈的空间复杂度。
class Solution(object):
def inorderTraversal(self, root):
res = []
pre = None
while root:
# 如果左节点不为空,就将当前节点连带右子树全部挂到
# 左节点的最右子树下面
if root.left:
pre = root.left
while pre.right:
pre = pre.right
pre.right = root
# 将root指向root的left
tmp = root
root = root.left
tmp.left = None
# 左子树为空,则打印这个节点,并向右边遍历
else:
res.append(root.val)
root = root.right
return res
5.方法五:颜色标记法
其核心思想如下:
使用颜色标记节点的状态,新节点为白色,已访问的节点为灰色。
如果遇到的节点为白色,则将其标记为灰色,然后将其右子节点、自身、左子节点依次入栈。
如果遇到的节点为灰色,则将节点的值输出。
class Solution:
def inorderTraversal(self, root: TreeNode) -> List[int]:
WHITE, GRAY = 0, 1
res = []
stack = [(WHITE, root)]
while stack:
color, node = stack.pop()
if node is None: continue
if color == WHITE:
stack.append((WHITE, node.right))
stack.append((GRAY, node))
stack.append((WHITE, node.left))
else:
res.append(node.val)
return res
本文详细介绍了二叉树中序遍历的多种实现方法,包括递归、迭代、Morris遍历等,每种方法都给出了具体的代码实现,并解释了其背后的原理。

被折叠的 条评论
为什么被折叠?



