






















数学分析教程(科大)——3.5笔记+习题
最新推荐文章于 2020-04-22 17:16:17 发布
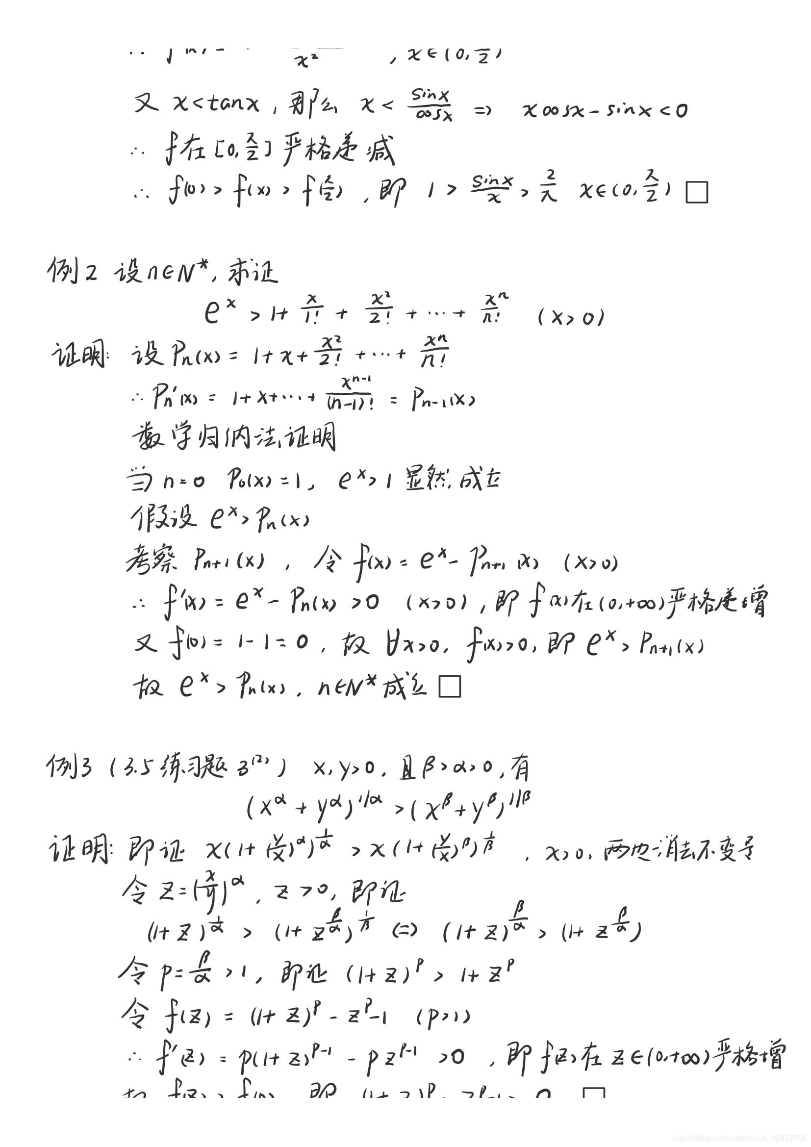
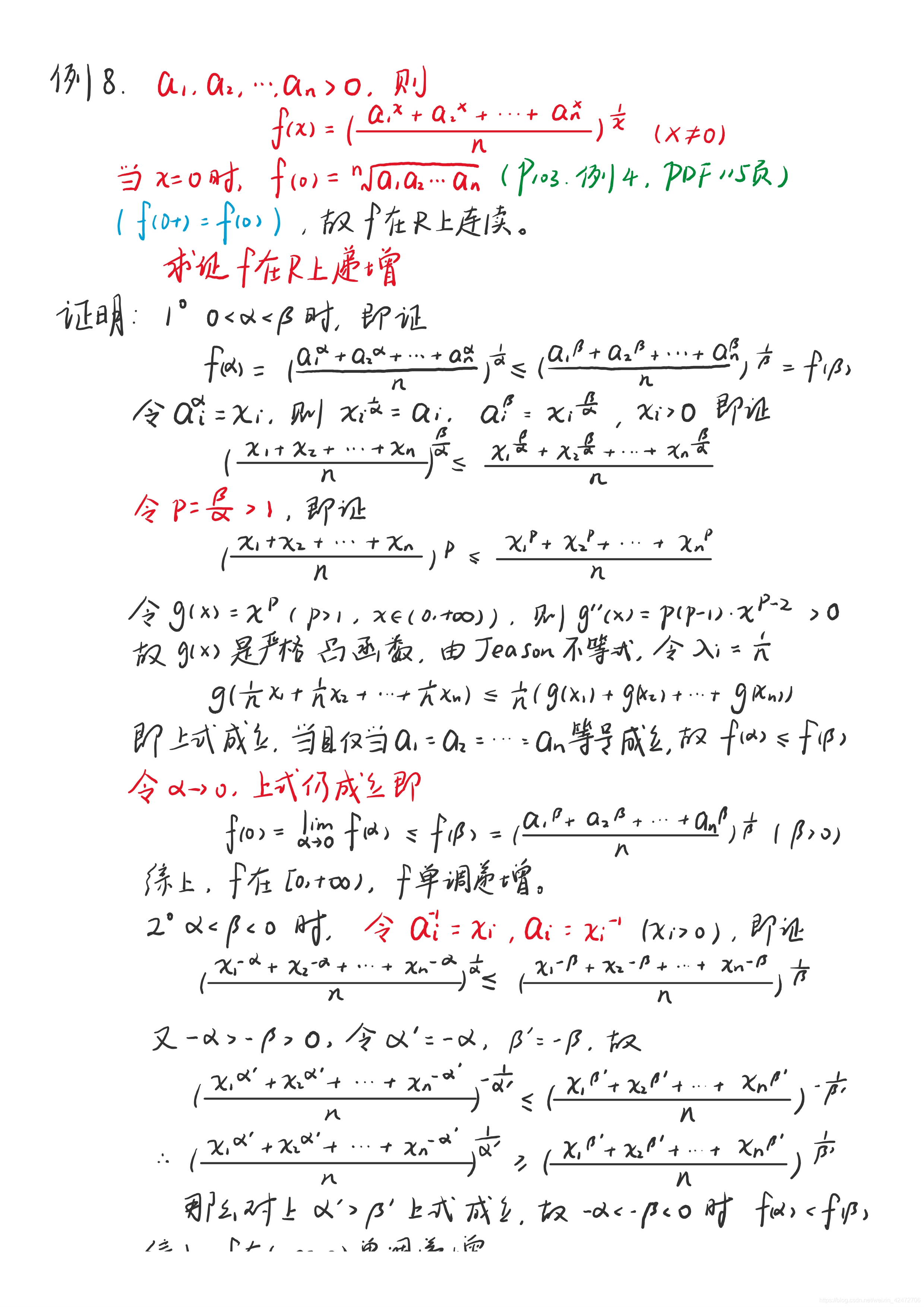
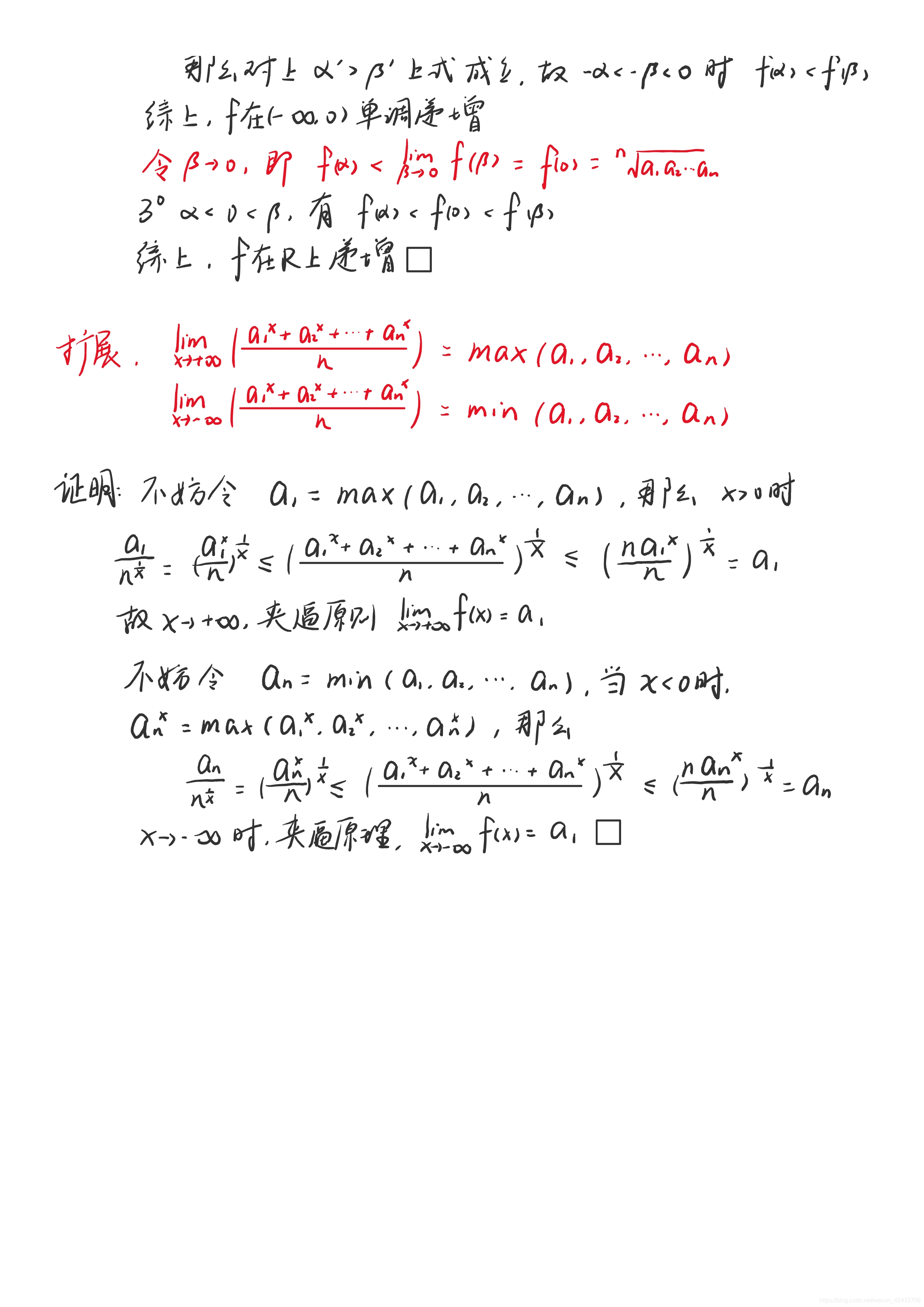
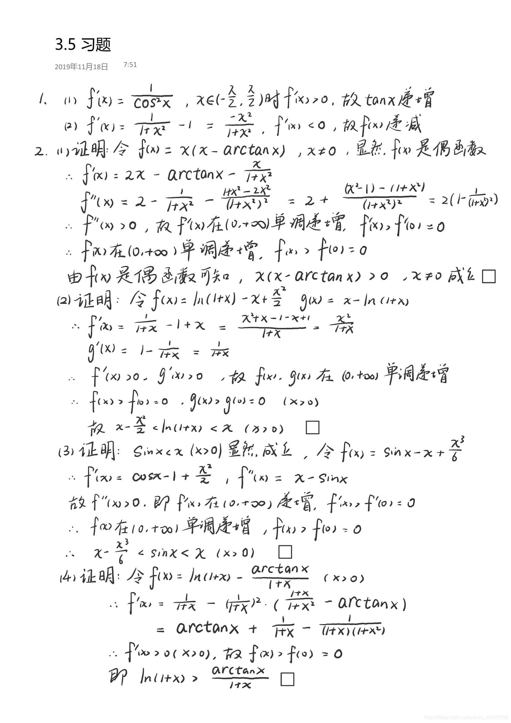
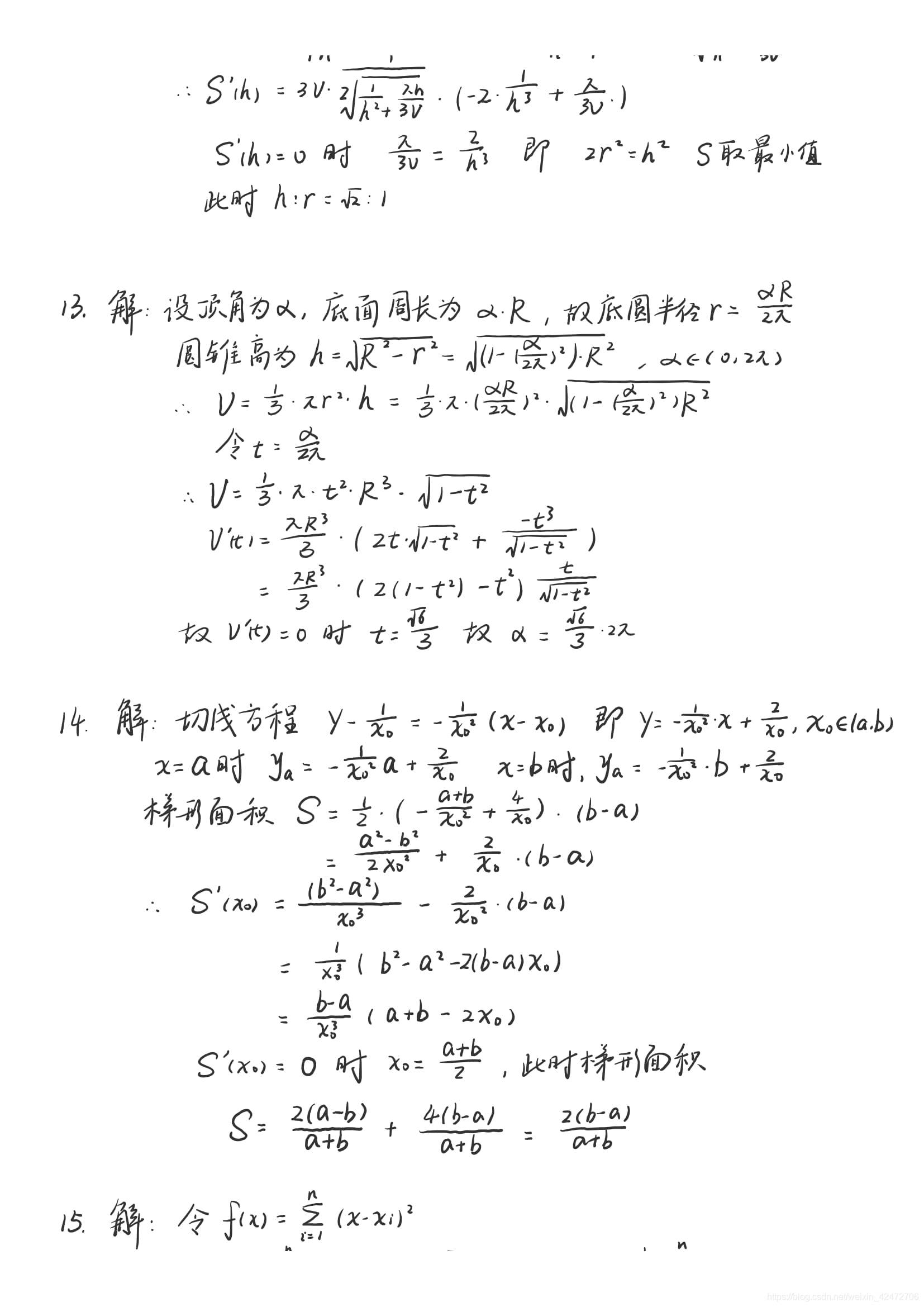
博客涉及中科大史济怀的数学分析内容,包含相关笔记以及习题答案,为学习数学分析的人提供了有价值的参考资料。
博客涉及中科大史济怀的数学分析内容,包含相关笔记以及习题答案,为学习数学分析的人提供了有价值的参考资料。























1314
2183
1611
1016
2348
1983

被折叠的 条评论
为什么被折叠?