首先:
support vector classify(SVC)支持分类机做二分类的,找出分类面,解决分类问题
support vector regression(SCR)支持回归机做曲线拟合、函数回归 ,做预测,温度,天气,股票
这些都会用于数据挖掘、文本分类、语音识别、生物信息,具体问题具体分析
其中:
C-Support Vector Classication和v-Support Vector Classication区别:
C-SVC:参数C[0,无穷大]
v-SVC:使用参数v[0,1]用来控制支持向量的数量和训练错误。
One-class SVM是用来估计数据的分布的(Distribution Estimation)
e-Support Vector Regression。
v-Support Vector Regression增加了控制支持向量参数的参数
每个对应不同的Formulations
从目标函数和约束条件上的区别:
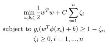
SVC:

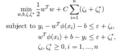
SVR:

约束中松弛变量
与惩罚项的关系。
最后总结:
分类是找一个平面,边界上点到平面的距离最远,回归是让每个点到回归线的距离最小。SVM 回归机引入一个 ε-不敏感损失函数作 为损失函数

本文主要介绍了SVC和SVR。SVC是支持分类机,用于二分类,找出分类面;SVR是支持回归机,用于曲线拟合和预测。还提及了C-SVC、v-SVC等不同类型的区别,以及SVC和SVR在目标函数、约束条件上的差异。最后总结了分类和回归的特点,SVM回归机引入了ε - 不敏感损失函数。
1023

被折叠的 条评论
为什么被折叠?



