https://www.cnblogs.com/ya-cpp/p/8282383.html
找遍了全网,也只有上边的作者小哥哥给了具体的实施步骤,非常感谢,但对于matlab白痴来说看了看了整整两天才看懂实现,真是太不容易了,为了方便自己以后不会忘记,再此纪录。
一、用到的函数:[m,fppi,missRate] = evaluateDetectionMissRate(detectionResults,trainingData)
1、用到的就是matlab2017中的这个函数,如上所示,要做的就是需要detectionResults和trainingData两种数据即可。
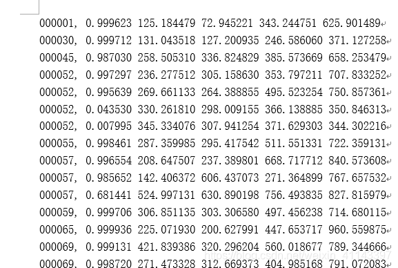
detectionResults:是你检测器生成的关于每幅图像的 boundinb boxes 和对应与每个bbox 得到的分数(说白了就是进行数据测试时候保存出来的comp4_det_test_person.txt文件中的数据)

分别代表:图片名称;准确率;框框位置(boudingbox位置)
需要转成我们matLab可以处理的数据类型格式,如下图所示,只保留“图片名称”与“框框位置信息”即可

2.trainingData:是我们每张图片的 Ground truth,即我们变动的.X

本文记录了在MATLAB中使用evaluateDetectionMissRate函数绘制FPPI曲线的过程,包括所需数据格式转换和代码实现。通过将检测结果和训练数据输入函数,转化成MATLAB可处理的格式,结合Ground truth信息,最终生成FPPI曲线。提供了代码资源的下载链接。
最低0.47元/天 解锁文章
4356





