
某些等差数列求和,会产生最大值或最小值,在n等于多少时取得最值,最值是多少,这是一个难点,在这里我们介绍两种方法。
这是倒数第2个选择题,我们一起来看:

解:设正项等比数列{an}的公比为q(q>0),因为a3=8,a4+a5=6,


到达这里时很多同学还没有问题,依据等比数列性质,解对数,等差数列求和求得。此时需要观察左边是Tn/n数列的前n项和,并且是它的最大值都应小于t。
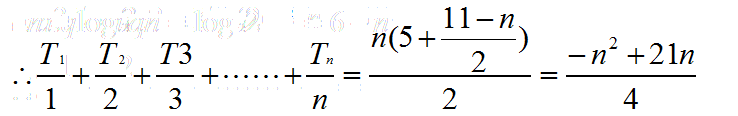
第一种通过求和表出最大值:Tn/n我们以求得,是等差数列,我们用求和公式求出它的和。

此时发现求和所得为为二次函数(关于n的二次函数),此时开口向下,即在对称轴处取得最大值。
n=-b/2a=10.5,但n要为正正整数,所以n=10或11,此时最大值为55/2,此时满足条件的最小正整数t为28。
第二种从通项观察理解:此时通项Tn/n=(11-n)/2,发现它为等差数列,并且首项为5,公差小于0,逐渐递减,要想他的和最大,只要保证他的每一项都大于等于0,下一项就小于0,此时的前n项和最大。
Tn/n=(11-n)/2大于等于0,即求得n小于等于11,即n=10或11时,此时最大值为55/2,此时满足条件的最小正整数t为28。
等差数列的求和最大最小问题,均可以通过这两种方法解决:一是求和得到二次函数,在对称轴(或离对称轴最近的正整数)取得;二是通项公式大于或小于等于0时解出的n处取得。
视频讲解
知乎视频www.zhihu.com有什么需要帮助的,关注我的公粽号“高中数学谭老师”,或者私信问我,帮你解答。
博客介绍了在r语言中解决等差数列求和最值问题的两种方法:一是通过求和公式找到二次函数的对称轴求最大值;二是观察通项公式确保每一项非负来确定最大和。当n=10或11时,取得最大值55/2,最小正整数t为28。
1991

被折叠的 条评论
为什么被折叠?



