XGBoost和LightGBM
1.XGBoost
1.1 简介
XGBoost是陈天奇等人开发的一个开源机器学习项目,高效地实现了GBDT算法并进行了算法和工程上的许多改进,被广泛应用在Kaggle竞赛及其他许多机器学习竞赛中并取得了不错的成绩。XGBoost本质上还是一个GBDT,但是力争把速度和效率发挥到极致,所以叫X (Extreme) GBoosted。
1.2 XGBoost树
例子:要预测一家人对电子游戏的喜好程度,考虑到年轻和年老相比,年轻更可能喜欢电子游戏,以及男性和女性相比,男性更喜欢电子游戏,故先根据年龄大小区分小孩和大人,然后再通过性别区分开是男是女,逐一给各人在电子游戏喜好程度上打分,这样我们训练出tree1。

同理,根据平常的电脑使用情况我们训练出tree2。类似之前gbdt的原理,两棵树的结论累加起来便是最终的结论,所以小孩的预测分数就是两棵树中小孩所落到的结点的分数相加:2 + 0.9 = 2.9。爷爷的预测分数同理:-1 + (-0.9)= -1.9。具体如下图所示:

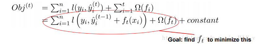
根据上面的描述,可以发现,XGBoost本质上还是GBDT,但具体而言,XGBoost与GBDT比较大的不同就是目标函数的定义:

其中:
- 红色箭头所指向的L 即为损失函数(比如平方损失函数: l ( y i , y i ^ ) = ( y i − y i ^ ) 2 l\left({y}_{i}, \hat{y_{i}}\right) = \left({y}_{i}-\hat{y_{i}}\right)^2 l(yi,yi^)=(yi−yi^)2
- 红色方框所框起来的是正则项(包括L1正则、L2正则)
- 红色圆圈所圈起来的为常数项
- 对于f(x),XGBoost利用泰勒展开三项,做一个近似。f(x)表示的是其中一颗回归树。
XGBoost的核心算法思想不难,基本就是:
- 不断地添加树,不断地进行特征分裂来生长一棵树,每次添加一个树,其实是学习一个新函数f(x),去拟合上次预测的残差。
- 当我们训练完成得到k棵树,我们要预测一个样本的分数,其实就是根据这个样本的特征,在每棵树中会落到对应的一个叶子节点,每个叶子节点就对应一个分数
- 最后只需要将每棵树对应的分数加起来就是该样本的预测值。

类似之前GBDT的套路,XGBoost也是需要将多棵树的得分累加得到最终的预测得分(每一次迭代,都在现有树的基础上,增加一棵树去拟合前面树的预测结果与真实值之间的残差)。
其中 f( ) 可以使用泰勒展开公式近似。

实质是把样本分配到叶子结点会对应一个obj,优化过程就是obj优化。也就是分裂节点到叶子不同的组合,不同的组合对应不同obj,所有的优化围绕这个思想展开。
1.3 正则项:树的复杂度
XGBoost对树的复杂度包含了两个部分:
- 一个是树里面叶子节点的个数T
- 一个是树上叶子节点的得分w的L2模平方(对w进行L2正则化,相当于针对每个叶结点的得分增加L2平滑,目的是为了避免过拟合)

XGBoost的目标函数(损失函数揭示训练误差 + 正则化定义复杂度):
L
(
ϕ
)
=
∑
i
l
(
y
^
i
,
y
i
)
+
∑
t
Ω
(
f
t
)
\mathcal{L}(\phi)=\sum_{i} l\left(\hat{y}_{i}, y_{i}\right)+\sum_{t} \Omega\left(f_{t}\right)
L(ϕ)=i∑l(y^i,yi)+t∑Ω(ft)
对于上式而言,
y
i
′
y'_i
yi′是整个累加模型的输出,正则化项
∑
k
Ω
(
f
k
)
\sum_{k} \Omega\left(f_{k}\right)
∑kΩ(fk)是则表示树的复杂度的函数,值越小复杂度越低,泛化能力越强。
1.4 树的生长
对于一个叶子节点如何进行分裂,XGBoost作者在其原始论文中给出了一种分裂节点的方法:枚举所有不同树结构的贪心法
不断地枚举不同树的结构,然后利用打分函数来寻找出一个最优结构的树,接着加入到模型中,不断重复这样的操作。这个寻找的过程使用的就是贪心算法。选择一个feature分裂,计算loss function最小值,然后再选一个feature分裂,又得到一个loss function最小值,你枚举完,找一个效果最好的,把树给分裂,就得到了小树苗。
总而言之,XGBoost使用了和CART回归树一样的想法,利用贪婪算法,遍历所有特征的所有特征划分点,不同的是使用的目标函数不一样。具体做法就是分裂后的目标函数值比单子叶子节点的目标函数的增益,同时为了限制树生长过深,还加了个阈值,只有当增益大于该阈值才进行分裂。从而继续分裂,形成一棵树,再形成一棵树,每次在上一次的预测基础上取最优进一步分裂/建树。
1.2.3 树的停止生长
设置树的最大深度、当样本权重和小于设定阈值时停止生长以防止过拟合。具体而言,则
- 当引入的分裂带来的增益小于设定阀值的时候,我们可以忽略掉这个分裂,所以并不是每一次分裂loss function整体都会增加的,有点预剪枝的意思,阈值参数为(即正则项里叶子节点数T的系数);
- 当树达到最大深度时则停止建立决策树,设置一个超参数max_depth,避免树太深导致学习局部样本,从而过拟合;
- 样本权重和小于设定阈值时则停止建树。什么意思呢,即涉及到一个超参数-最小的样本权重和min_child_weight,和GBM的 min_child_leaf 参数类似,但不完全一样。大意就是一个叶子节点样本太少了,也终止同样是防止过拟合;
1.5 XGBoost与GBDT的区别
除了算法上与传统的GBDT有一些不同外,XGBoost还在工程实现上做了大量的优化。总的来说,两者之间的区别和联系可以总结成以下几个方面。
- GBDT是机器学习算法,XGBoost是该算法的工程实现。
- 在使用CART作为基分类器时,XGBoost显式地加入了正则项来控制模 型的复杂度,有利于防止过拟合,从而提高模型的泛化能力。
- GBDT在模型训练时只使用了代价函数的一阶导数信息,XGBoost对代 价函数进行二阶泰勒展开,可以同时使用一阶和二阶导数。
- 传统的GBDT采用CART作为基分类器,XGBoost支持多种类型的基分类 器,比如线性分类器。
- 传统的GBDT在每轮迭代时使用全部的数据,XGBoost则采用了与随机 森林相似的策略,支持对数据进行采样。
- 传统的GBDT没有设计对缺失值进行处理,XGBoost能够自动学习出缺失值的处理策略。
1.6 XGBoost代码实现
GitHub:点击进入
1.7 简单示例
import xgboost
# First XGBoost model for Pima Indians dataset
from numpy import loadtxt
from xgboost import XGBClassifier
from sklearn.model_selection import train_test_split
from sklearn.metrics import accuracy_score
# load data
dataset = loadtxt('pima-indians-diabetes.csv', delimiter=",")
# split data into X and y
X = dataset[:,0:8]
Y = dataset[:,8]
# split data into train and test sets
seed = 7
test_size = 0.33
X_train, X_test, y_train, y_test = train_test_split(X, Y, test_size=test_size, random_state=seed)
# fit model no training data
model = XGBClassifier()
model.fit(X_train, y_train)
# make predictions for test data
y_pred = model.predict(X_test)
predictions = [round(value) for value in y_pred]
# evaluate predictions
accuracy = accuracy_score(y_test, predictions)
print("Accuracy: %.2f%%" % (accuracy * 100.0))
2. LightGBM
2.1 简介
LightGBM是微软DMTK(分布式机器学习工具包)团队在GitHub上开源了性能超越其他boosting工具。
特点:“速度惊人”,“非常有启发”,“支持分布式”,“代码清晰易懂”,“占用内存小”等。
1.速度对比:

2.准确率对比:

3.内存使用量对比:

2.2 LightGBM的优化 (区别XGBoost)
- 基于Histogram的决策树算法
- 带深度限制的Leaf-wise的叶子生长策略
- 直方图做差加速直接
- 支持类别特征(Categorical Feature)
- Cache命中率优化
- 基于直方图的稀疏特征优化多线程优化。
Histogram算法
直方图算法的基本思想是先把连续的浮点特征值离散化成k个整数(其实又是分桶的思想,而这些桶称为bin,比如[0,0.1)→0, [0.1,0.3)→1),同时构造一个宽度为k的直方图。
在遍历数据的时候,根据离散化后的值作为索引在直方图中累积统计量,当遍历一次数据后,直方图累积了需要的统计量,然后根据直方图的离散值,遍历寻找最优的分割点。

优点:
- 内存消耗的降低,直方图算法不仅不需要额外存储预排序的结果,而且可以只保存特征离散化后的值,而这个值一般用8位整型存储就足够了,内存消耗可以降低为原来的1/8。
- 计算上的代价也大幅降低,预排序算法每遍历一个特征值就需要计算一次分裂的增益,而直方图算法只需要计算k次(k可以认为是常数)
- 时间复杂度从O(#data*#feature)优化到O(k*#features)。
带深度限制的Leaf-wise的叶子生长策略
在XGBoost中,树是按层生长的,称为Level-wise tree growth,同一层的所有节点都做分裂,最后剪枝,如下图所示:

Level-wise过一次数据可以同时分裂同一层的叶子,容易进行多线程优化,也好控制模型复杂度,不容易过拟合。但实际上Level-wise是一种低效的算法,因为它不加区分的对待同一层的叶子,带来了很多没必要的开销,因为实际上很多叶子的分裂增益较低,没必要进行搜索和分裂。
在Histogram算法之上,LightGBM进行进一步的优化。首先它抛弃了大多数GBDT工具使用的按层生长 (level-wise) 的决策树生长策略,而使用了带有深度限制的按叶子生长 (leaf-wise)算法。

Leaf-wise则是一种更为高效的策略,每次从当前所有叶子中,找到分裂增益最大的一个叶子,然后分裂,如此循环。因此同Level-wise相比,在分裂次数相同的情况下,Leaf-wise可以降低更多的误差,得到更好的精度。Leaf-wise的缺点是可能会长出比较深的决策树,产生过拟合。因此LightGBM在Leaf-wise之上增加了一个最大深度的限制,在保证高效率的同时防止过拟合。
直方图差加速
LightGBM另一个优化是Histogram(直方图)做差加速。
一个叶子的直方图可以由它的父亲节点的直方图与它兄弟的直方图做差得到。通常构造直方图,需要遍历该叶子上的所有数据,但直方图做差仅需遍历直方图的k个桶。
利用这个方法,LightGBM可以在构造一个叶子的直方图后,可以用非常微小的代价得到它兄弟叶子的直方图,在速度上可以提升一倍。
直接支持类别特征
实际上大多数机器学习工具都无法直接支持类别特征,一般需要把类别特征,转化到多维的0/1特征,降低了空间和时间的效率。而类别特征的使用是在实践中很常用的。基于这个考虑,LightGBM优化了对类别特征的支持,可以直接输入类别特征,不需要额外的0/1展开。并在决策树算法上增加了类别特征的决策规则。在Expo数据集上的实验,相比0/1展开的方法,训练速度可以加速8倍,并且精度一致。据我们所知,LightGBM是第一个直接支持类别特征的GBDT工具。
2.3代码实现
GitHub:点击进入
2.4 简单示例
import json
import lightgbm as lgb
import pandas as pd
from sklearn.metrics import mean_squared_error
from sklearn.datasets import load_iris
from sklearn.model_selection import train_test_split
from sklearn.datasets import make_classification
iris = load_iris() # 载入鸢尾花数据集
data=iris.data
target = iris.target
X_train,X_test,y_train,y_test =train_test_split(data,target,test_size=0.2)
# 创建成lgb特征的数据集格式
lgb_train = lgb.Dataset(X_train, y_train) # 将数据保存到LightGBM二进制文件将使加载更快
lgb_eval = lgb.Dataset(X_test, y_test, reference=lgb_train) # 创建验证数据
# 将参数写成字典下形式
params = {
'task': 'train',
'boosting_type': 'gbdt', # 设置提升类型
'objective': 'regression', # 目标函数
'metric': {'l2', 'auc'}, # 评估函数
'num_leaves': 31, # 叶子节点数
'learning_rate': 0.05, # 学习速率
'feature_fraction': 0.9, # 建树的特征选择比例
'bagging_fraction': 0.8, # 建树的样本采样比例
'bagging_freq': 5, # k 意味着每 k 次迭代执行bagging
'verbose': 1 # <0 显示致命的, =0 显示错误 (警告), >0 显示信息
}
print('Start training...')
# 训练 cv and train
gbm = lgb.train(params,lgb_train,num_boost_round=20,valid_sets=lgb_eval,early_stopping_rounds=5) # 训练数据需要参数列表和数据集
print('Save model...')
gbm.save_model('model.txt') # 训练后保存模型到文件
print('Start predicting...')
# 预测数据集
y_pred = gbm.predict(X_test, num_iteration=gbm.best_iteration) #如果在训练期间启用了早期停止,可以通过best_iteration方式从最佳迭代中获得预测
# 评估模型
print('The rmse of prediction is:', mean_squared_error(y_test, y_pred) ** 0.5) # 计算真实值和预测值之间的均方根误差
参考:
[1]. https://github.com/NLP-LOVE/ML-NLP
[2]. https://github.com/datawhalechina/team-learning-data-mining/tree/master/EnsembleLearning
本文详细介绍了XGBoost和LightGBM两种梯度提升算法的区别与优化策略。XGBoost通过目标函数的正则化和泰勒展开提高效率,采用贪心算法构建决策树。LightGBM则引入了基于Histogram的决策树算法,使用Leaf-wise生长策略,支持类别特征,并优化了内存使用。两者在工程实现上各有优势,广泛应用于机器学习竞赛和实际问题中。
17万+

被折叠的 条评论
为什么被折叠?



