通过之前对二叉搜索树介绍可知,将集合构造为二叉搜索树结构,该结构下对树中节点的查询、删除和插入三种操作,时间复杂度均为
。影响时间复杂度的因素即为二叉树的高,为了尽量避免树中每层上只有一个节点的情况,这里引入平衡二叉树。
定义
平衡二叉树也叫自平衡二叉搜索树(Self-Balancing Binary Search Tree),所以其本质也是一颗二叉搜索树,不过为了限制左右子树的高度差,避免出现倾斜树等偏向于线性结构演化的情况,所以对二叉搜索树中每个节点的左右子树作了限制,左右子树的高度差称之为平衡因子,树中每个节点的平衡因子绝对值不大于1,此时二叉搜索树称之为平衡二叉树。自平衡是指,在对平衡二叉树执行插入或删除节点操作后,可能会导致树中某个节点的平衡因子绝对值超过1,即平衡二叉树变得“不平衡”,为了恢复该节点左右子树的平衡,此时需要对节点执行旋转操作。
情景分析
在执行插入或删除节点操作后,平衡因子绝对值变为大于1的情况,即左右子树的高度差为2或-2的情况,可以归纳为如下四种:
- 左左情况(LL)
LL情况是指根节点的平衡因子为2,根节点的左子节点平衡因子为0或1。

LL_1
如图 LL_1 所示,当节点C的子节点被删除,或者节点D插入子节点F时,根节点A的平衡因子变为2,A的左子节点B的平衡因子为1。

LL_2
或者如图 LL_2 所示,当节点C的子节点被删除,根节点A的平衡因子变为2,A的左子节点B的平衡因子为0。。
当根节点的左子树高度比右子树的高度大2,因为平衡二叉树是一种有序结构,节点值之间具有大小关系,所以如果根节点保持不变,左右子树始终分隔两岸,则无论如何调整节点位置,二叉树始终不可能恢复平衡。所以需要更换根节点,使得新的根节点的左右子树的高度趋于平衡。
该情况下需要对平衡二叉树执行右旋操作:
- 设置根节点root的左子节点为新的根节点
;
- 将
节点的右子树作为root节点的左子树,将root节点作为
的右子树,即降低“左子树”高度,提升“右子树”高度,使得新的左右子树高度趋于平衡;
对于图 LL_1,节点B的平衡因子为1,设B节点的左子树D高度为h,则右子树E高度为h-1,因为A的平衡因子为2,所以二叉树C的高度为: h-1。则右旋操作后,B的左子树高度不变为h,右子树高度为:,此时二叉树为平衡二叉树,如下图 balanced_LL_1。

balanced_LL_1
对于图 LL_2,节点B的平衡因子为h,设B节点的左右子树高度为h,则二叉树C的高度为:h-1。右旋操作后,B的左子树高度不变为h,右子树高度为:,此时二叉树为平衡二叉树,如下图 balanced_LL_2。

balanced_LL_2
右旋代码
# rotate from left to right with the left-child node as the axis
def rotateL2R(node):
leftChild = node.lchild
leftChild.rchild,node.lchild = node,leftChild.rchild # rotate
updateHeight(node)
updateHeight(leftChild)
return leftChild
其中函数作用为更新调整后节点的平衡因子,因为右旋操作平衡因子变化的节点只有两个:原根节点和新根节点,即根节点和根节点的左子节点,所以只需要对这两个节点执行
函数。函数代码参考如下:
更新二叉树高度
# update the height of the node
def updateHeight(root):
if root.lchild and root.rchild:
root.height = max(root.lchild.height, root.rchild.height) + 1
elif root.lchild:
root.height = root.lchild.height + 1
elif root.rchild:
root.height = root.rchild.height + 1
else:
root.height = 0
树的高度也就是左右子树的高度最大值加一,若无子树,则设置树高为零。
- 右右情况(RR)
该情况与上面的左左情况具有对称性,对平衡二叉树执行插入或删除节点操作后,根节点的平衡因子变为-2,根节点的右子节点平衡因子为-1或0,为了恢复二叉树的平衡,需要进行左旋,来使得新的左右子树高度区域平衡。

RR
如上图RR所示,该情况下需要对平衡二叉树执行左旋操作:
- 设置根节点
的右子节点为新的根节点 ;
- 将
节点的左子树作为root节点的右子树,将root节点作为
的左子树,即降低“右子树”高度,提升“左子树”高度,使得新的左右子树高度趋于平衡;
左旋操作后,平衡二叉树如图 balanced_RR 所示。

balanced_RR
左旋代码
# rotate from right to left with the right-child node as the axis
def rotateR2L(node):
rightChild = node.rchild
rightChild.lchild, node.rchild = node, rightChild.lchild # rotate
updateHeight(node)
updateHeight(rightChild)
return rightChild
左旋操作同右旋一样,只更改了原根节点和新根节点的平衡因子,所以只需要对这两个节点执行 函数。
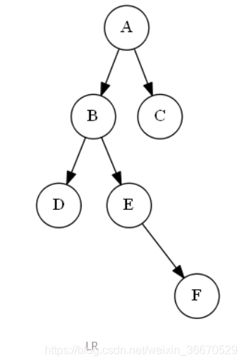
- 左右情况
该情况下根节点的平衡因子与左左情况相同,都为2,不同之处在于左子节点的平衡因子为-1,若按照之前直接进行右旋操作,则旋转操作后二叉树扔处于不平衡状态。
对于图 LR,节点B的平衡因子为-1,设B节点的左子树D高度为h,则右子树E高度为h+1,因为A的平衡因子为2,所以二叉树C的高度为: h。则右旋操作后,B的左子树高度不变为h,右子树高度为:,因为B的平衡因子为-2,所以按此方式的旋转操作没有效果。

所以该情况下,首先需要对根节点的左子节点进行调整,即将左子节点的平衡因子由-1调整为1, 使得当前情况转换为LL情况,然后再对二叉树执行右旋操作。
step 1:对左子树执行左旋操作

step_1
step 2:对二叉树执行右旋操作

step_2
- 右左情况
该情况与上面左右情况对称,根节点的平衡因子为-2,右子节点平衡因子为1,需要首先对右子树进行右旋操作,调整二叉树为RR情况,再对二叉树执行左旋操作。

RL
step 1:对右子树执行右旋操作

step_1
step 2:对二叉树执行左旋操作

step_2
性能分析
因为平衡二叉树也是二叉搜索树,回顾二叉搜索树中的操作复杂度,查询、插入和删除复杂度均为
。平衡二叉树中查询复杂度影响因素自然为树的高度;插入节点操作可以拆分为两个步骤:查询节点位置,插入节点后平衡操作;删除节点操作同理可以拆分为两个步骤:查询节点位置,删除节点后平衡操作。
平衡调节过程中可能存在旋转操作,递归执行的次数则依赖于树的高度(可以优化为当前节点平衡因子不发生变化,则取消向上递归)。所以平衡二叉树中查询、插入和删除节点操作的复杂度依赖于树高。
平衡二叉树因为左右子树的平衡因子限制,所以不可能存在类似于斜树的情况,因为任一节点的左右子树高度差最大为一,且二叉树具有对称性,所以不妨设每个子树的左子树高度大于右子树高度。

AVL
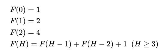
根据平衡二叉树定义可知,若二叉树左子树高度为 ,则右子树高度最少也要是h-1,方能满足平衡二叉树的平衡特性。以F(H)表示高度为H的平衡二叉树的最少节点个数,若二叉树不是空树则有:

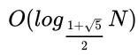
根据推导公式可知,平衡二叉树的高度最大为
。当二叉树向完全二叉树靠拢,尽量填满每层上的节点时,树的高度最小,为
。所以相对于二叉搜索树,平衡二叉树避免了向线性结构演化的倾向,查询、插入和删除节点的时间复杂度为 ![]()
。因为每个节点上需要保存平衡因子,所以空间复杂度要略高于二叉搜索树。
代码附录
python版本:3.7,树中的遍历、节点插入和删除操作使用的是递归形式
- 树节点定义
# tree node definition
class Node(object):
def __init__(self, value, height=0, lchild=None, rchild=None):
self.lchild = lchild
self.rchild = rchild
self.value = value
self.height = height
相对于二叉搜索树的节点定义,增加了height属性。
- 树定义
# tree definition
class Tree(object):
def __init__(self, root=None):
self.root = root
# node in-order traversal(LDR)
def traversal(self):
traversal(self.root)
# insert node
def insert(self, value):
self.root = insert(self.root, value)
# delete node
def delete(self, value):
self.root = delete(self.root, value)
- 模块中对树结构中的函数进行实现
# node in-order traversal(LDR)
def traversal(node):
if not node:
return
traversal(node.lchild)
print(node.value, 'height=', node.height, end=', ')
traversal(node.rchild)
# insert node
'''
the recursive insert operation has a flaw,
that the binary tree will recursively updates the height of the parent node
even if the inserted element already exists.
'''
def insert(root, value):
if not root:
return Node(value)
if value < root.value:
root.lchild = insert(root.lchild, value)
elif value > root.value:
root.rchild = insert(root.rchild, value)
return checkBalance(root)
# check whether the tree is balanced
def checkBalance(root):
if not root:
return None
if abs(heightDiffL2R(root)) < 2: # the tree is balance
updateHeight(root)
elif heightDiffL2R(root) == 2: # situation L
if heightDiffL2R(root.lchild) == -1: # situation LR
root.lchild = rotateR2L(root.lchild)
root = rotateL2R(root)
else: # situation LL
root = rotateL2R(root)
elif heightDiffL2R(root) == -2: # situation R
if heightDiffL2R(root.rchild) == 1: # situation RL
root.rchild = rotateL2R(root.rchild)
root = rotateR2L(root)
else: # situation RR
root = rotateR2L(root)
return root
# get the height difference between left-child and right-child
def heightDiffL2R(node):
if node.lchild and node.rchild:
return node.lchild.height - node.rchild.height
if node.lchild:
return node.lchild.height + 1
if node.rchild:
return -(node.rchild.height + 1)
return 0
# update the height of the node
def updateHeight(root):
if root.lchild and root.rchild:
root.height = max(root.lchild.height, root.rchild.height) + 1
elif root.lchild:
root.height = root.lchild.height + 1
elif root.rchild:
root.height = root.rchild.height + 1
else:
root.height = 0
# rotate from left to right with the left-child node as the axis
def rotateL2R(node):
leftChild = node.lchild
leftChild.rchild, node.lchild = node, leftChild.rchild
updateHeight(node)
updateHeight(leftChild)
return leftChild
# rotate from right to left with the right-child node as the axis
def rotateR2L(node):
rightChild = node.rchild
rightChild.lchild, node.rchild = node, rightChild.lchild
updateHeight(node)
updateHeight(rightChild)
return rightChild
def delete(root, value):
if not root:
return None
if root.value > value:
root.lchild = delete(root.lchild, value)
elif root.value < value:
root.rchild = delete(root.rchild, value)
else:
if root.lchild and root.rchild: # degree of the node is 2
target = transferDeleteNode(root)
root = delete(root, target)
root.value = target
else: # degree of the node is [0|1]
root = root.lchild if root.lchild else root.rchild
return checkBalance(root)
# find the maximum node or the minimum node in the tree
def transferDeleteNode(node):
if node.rchild.height > node.lchild.height:
target = node.rchild
while target.lchild:
target = target.lchild
else:
target = node.lchild
while target.rchild:
target = target.rchild
return target.value
- 测试代码与输出
if __name__ == '__main__':
arr = [5, 3, 4, 0, 2, 1, 8, 6, 9, 7,7]
T = Tree()
for i in arr:
T.insert(i)
print('BST in-order traversal------------------')
T.traversal()
print('\ndelete test------------------')
for i in arr[::-1]:
print('after delete', i, end=',BST in-order is = ')
T.delete(i)
T.traversal()
print()
- 输出结果为:
BST in-order traversal------------------
0 height= 1, 1 height= 0, 2 height= 3, 3 height= 0, 4 height= 1, 5 height= 0, 6 height= 2, 7 height= 0, 8 height= 1, 9 height= 0,
delete test------------------
after delete 7,BST in-order is = 0 height= 1, 1 height= 0, 2 height= 3, 3 height= 0, 4 height= 1, 5 height= 0, 6 height= 2, 8 height= 1, 9 height= 0,
after delete 7,BST in-order is = 0 height= 1, 1 height= 0, 2 height= 3, 3 height= 0, 4 height= 1, 5 height= 0, 6 height= 2, 8 height= 1, 9 height= 0,
after delete 9,BST in-order is = 0 height= 1, 1 height= 0, 2 height= 3, 3 height= 0, 4 height= 1, 5 height= 0, 6 height= 2, 8 height= 0,
after delete 6,BST in-order is = 0 height= 1, 1 height= 0, 2 height= 3, 3 height= 0, 4 height= 1, 5 height= 2, 8 height= 0,
after delete 8,BST in-order is = 0 height= 1, 1 height= 0, 2 height= 2, 3 height= 0, 4 height= 1, 5 height= 0,
after delete 1,BST in-order is = 0 height= 0, 2 height= 2, 3 height= 0, 4 height= 1, 5 height= 0,
after delete 2,BST in-order is = 0 height= 0, 3 height= 2, 4 height= 1, 5 height= 0,
after delete 0,BST in-order is = 3 height= 0, 4 height= 1, 5 height= 0,
after delete 4,BST in-order is = 3 height= 1, 5 height= 0,
after delete 3,BST in-order is = 5 height= 0,
after delete 5,BST in-order is =
2990

被折叠的 条评论
为什么被折叠?



