假如要判断字符串A“AABA”是否是字符串B“AABAACAADAABAABA”的子串

最朴素的算法是枚举B的所有长度为4的子串,然后逐个与A进行对比,这样的时间复杂度是O(mn),m为A的长度,n为B的长度。
另一个做法是用哈希函数计算出A的哈希值,然后计算出B所有长度为4的子串的哈希值,这样比较就可以判断出A是否在B中。虽然这样做的时间复杂度还是O(mn),但是为接下来的滚动哈希打下了基础。
Rabin-Karp算法采用了一种叫做滚动哈希的技巧,对哈希函数的类型有要求。
Rabin-Karp算法的思想:
- 假设待匹配字符串的长度为M,目标字符串的长度为N(N>M);
- 首先计算待匹配字符串的hash值,计算目标字符串前M个字符的hash值;
- 比较前面计算的两个hash值,比较次数N-M+1:
- 若hash值不相等,则继续计算目标字符串的下一个长度为M的字符子串的hash值
- 若hash值相同,则需要使用朴素算法再次判断是否为相同的字串;
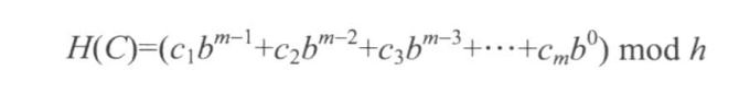
哈希函数定义如下。
其中Cm表示字符串中第m项所代表的特地数字,有很多种定义方法,我习惯于用java自带的char值,也就是ASCII码值。java中的char是16位的,用的Unicode编码,8位的ASCII码包含在Unicode中。
b是哈希函数的基数,相当于把字符串看作是b进制数。
h是防止哈希值溢出。

滚动哈希的技巧就是:如果已经算出从k到k+m的子串的哈希值H(S[k,k+1...k+m]),那么从k+1到k+m+1的子串的哈希值就可以基于前一个的哈希值计算得出

在不考虑哈希碰撞的前提下,Rabin-Karp算法的时间复杂度就是O(m+n)。
那么来看看POJ 1200
题目大意是有一个字符串,其中有NC种不同的字符,求出其长度为N的不同子串的个数。

这个题目的本意是要利用这个NC,但是我这里只是为了训练滚动哈希,就没有用NC。可以把哈希函数的基数b设为NC,就相当于把字符串转换成了NC进制
1 import java.util.HashSet; 2 import java.util.Scanner; 3 4 5 public class test { 6 7 static long pat; //原始长度为n的子串的哈希值 8 static long next; //右移一位子串的哈希值 9 static long B = 100000007; //哈希函数基数 10 static long max = Integer.MAX_VALUE; //取模防止哈希值溢出 11 12 public static void main(String[] args) { 13 14 HashSet<Long> res = new HashSet<Long>(); //把子串的哈希值放入hashset中,hashset的size就是所求子串个数 15 Scanner scanner = new Scanner(System.in); 16 17 int n = scanner.nextInt(); 18 int nc = scanner.nextInt(); 19 scanner.nextLine(); 20 String buff = scanner.nextLine(); 21 char[] s = buff.toCharArray(); 22 23 long t = 1; 24 25 //计算出B的n次方 26 for (int i = 0; i < n; i++) { 27 t = (t * B) % max; 28 } 29 30 //计算出第一个子串的哈希值 31 for (int i = 0; i < n; i++) { 32 pat = (pat * B + s[i]) % max; 33 } 34 next = pat; 35 res.add(next); 36 37 //没有考虑哈希冲突,直接右移计算 38 for (int i = 0; i + n < s.length; i++) { 39 next = (next * B + s[i + n] - s[i] * t) % max; 40 res.add(next); 41 } 42 43 System.out.println(res.size()); 44 } 45 }

被折叠的 条评论
为什么被折叠?



