一、树的概念
树是一些点的集合,这个集合可以为空,若不为空,则它是由一个根节点和0个或多个为空的子树组成,且每个子树都被一条来自根节点的有向边相连。
树叶:没有儿子的节点;兄弟:具有相同父亲的节点;类似还有祖父和孙子节点。
路径:节点n1,n2,n3,...,nk的一个序列,使得对于1 <= i <= k节点ni是ni+1的父亲;路径的长为路径上边的数量,即K+1。
深度:某节点的深度为树根到该节点的唯一路径的长度。
层次:深度相同的节点在同一层中,深度值为层数。
树高度:叶节点的深度最大值。
树宽度:树的各层中节点数最多的一层的节点数为树的宽度。
无序树:如果树中结点的各子树之间的次序是不重要的,可以交换位置。
有序树:如果树中结点的各子树之间的次序是重要的, 不可以交换位置。
森林:0个或多个不相交的树组成。对森林加上一个根,森林即成为树;删去根,树即成为森林。
二叉树:一种特殊的树,每个双亲的孩子数不超过2个(0个,1个或2个),提供对元素的高效访问。有左孩子和右孩子。
退化树:树中只有一个叶子结点,每个非叶子结点只有一个孩子。一颗退化树等价于一个链表。
树的节点结构为:
struct TreeNode{ TYPE element;//该节点的元素 TreeNode *firstChild;//指向该节点的第一个孩子 TreeNode *nextSibling;//指向该节点的兄弟节点 };

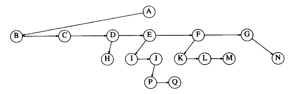
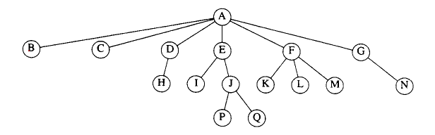
上面的左边的图是一颗树,右边是它的第一个儿子/下一个兄弟的表示法。
树的遍历分为先序遍历:先根节点,再左孩子,最后右孩子;后序遍历:先左孩子,再右孩子,最后树根;层次遍历:一层一层的遍历。
上面的树的先序遍历:ABCDHEIJPQFKLMGN;后序遍历:BCHDIPQJEKLMFNGA。
二、二叉树
二叉树是一棵树,且每个节点都不能有多于两个的儿子,且二叉树的子树有左右之分,次序不能颠倒。
二叉树的性质
- 在二叉树中的第i层上至多有2^(i-1)个结点(i>=1)。
- 深度为k的二叉树至多有2^k - 1个节点(k>=1)。
- 对任何一棵二叉树T,如果其叶结点数目为n0,度为2的节点数目为n2,则n0=n2+1。
满二叉树:深度为k且具有2^k-1个结点的二叉树。即满二叉树中的每一层上的结点数都是最大的结点数。
完全二叉树:深度为k具有n个结点的二叉树,当且仅当每一个结点与深度为k的满二叉树中的编号从1至n的结点一一对应。
- 具有n个节点的完全二叉树的深度为log2n + 1。
性质1:二叉树第i层上的结点数目最多为 2{i-1} (i≥1)
证明:下面用"数学归纳法"进行证明。
(01) 当i=1时,第i层的节点数目为2{i-1}=2{0}=1。因为第1层上只有一个根结点,所以命题成立。
(02) 假设当i>1,第i层的节点数目为2{i-1}。这个是根据(01)推断出来的!
下面根据这个假设,推断出"第(i+1)层的节点数目为2{i}"即可。
由于二叉树的每个结点至多有两个孩子,故"第(i+1)层上的结点数目" 最多是 "第i层的结点数目的2倍"。即,第(i+1)层上的结点数目最大值=2×2{i-1}=2{i}。
故假设成立,原命题得证!
性质2:深度为k的二叉树至多有2{k}-1个结点(k≥1)
证明:在具有相同深度的二叉树中,当每一层都含有最大结点数时,其树中结点数最多。利用"性质1"可知,深度为k的二叉树的结点数至多为:
20+21+…+2k-1=2k-1
故原命题得证!
性质3:包含n个结点的二叉树的高度至少为log2 (n+1)
证明:根据"性质2"可知,高度为h的二叉树最多有2{h}–1个结点。反之,对于包含n个节点的二叉树的高度至少为log2(n+1)。
性质4:在任意一棵二叉树中,若终端结点的个数为n0,度为2的结点数为n2,则n0=n2+1
证明:因为二叉树中所有结点的度数均不大于2,所以结点总数(记为n)="0度结点数(n0)" + "1度结点数(n1)" + "2度结点数(n2)"。由此,得到等式一。
(等式一) n=n0+n1+n2
另一方面,0度结点没有孩子,1度结点有一个孩子,2度结点有两个孩子,故二叉树中孩子结点总数是:n1+2n2。此外,只有根不是任何结点的孩子。故二叉树中的结点总数又可表示为等式二。
(等式二) n=n1+2n2+1
由(等式一)和(等式二)计算得到:n0=n2+1。原命题得证!
下一篇:
二叉树的结构和遍历
http://www.cnblogs.com/yeqluofwupheng/p/6661399.html
414

被折叠的 条评论
为什么被折叠?



