Given n pairs of parentheses, write a function to generate all combinations of well-formed parentheses.
For example, given n = 3, a solution set is:
[ "((()))", "(()())", "(())()", "()(())", "()()()" ]
思路一:对于给定的n,有效的括号串长度为2n,我们可以遍历所有的串,如果是有效的,就保存下来。
1 class Solution { 2 public: 3 vector<string> generateParenthesis(int n) { 4 vector<string> res; 5 if (n == 0) 6 return res; 7 generateParenthesis(0, n, "", res); 8 return res; 9 } 10 private: 11 void generateParenthesis(int current, const int n, string str, vector<string> &res) { 12 if (current == 2 * n) { 13 if (isValid(str)) 14 res.push_back(str); 15 return; 16 } 17 char c[2] = {'(', ')'}; 18 for (int i = 0; i < 2; i++) { //当前位置有两种选择 19 generateParenthesis(current + 1, n, str + c[i], res); 20 } 21 } 22 bool isValid(string s) { 23 int len = s.length(); 24 int distance = 0; 25 for (int i = 0; i < len; i++) { 26 if (s[i] == '(') { 27 distance++; 28 } else { 29 if (distance <= 0) 30 return false; 31 distance--; 32 } 33 } 34 return (distance == 0); 35 } 36 };
思路二:对于某个位置,可以放 '(' 的条件是当前'('放的个数小于n,可以放')'的条件是'('的个数大于')
1 class Solution { 2 public: 3 vector<string> generateParenthesis(int n) { 4 vector<string> res; 5 if (n == 0) 6 return res; 7 generateParenthesis(0, 0, n, "", res); 8 return res; 9 } 10 private: 11 void generateParenthesis(int open, int close, const int n, string str, vector<string> &res) { 12 if (str.length() == 2 * n) { 13 res.push_back(str); 14 return; 15 } 16 if (open < n) 17 generateParenthesis(open + 1, close, n, str + '(', res); 18 if (open > close) 19 generateParenthesis(open, close + 1, n, str + ')', res); 20 } 21 };
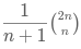
符合条件的个数是卡特兰数:
括号生成算法解析
本文详细解析了生成所有有效括号组合的算法实现,通过两种思路:遍历所有可能并验证有效性,以及基于开放和闭合括号计数的递归生成。提供了具体的C++代码示例,并解释了卡特兰数的应用。
787

被折叠的 条评论
为什么被折叠?



