只要你用 XAML 写代码,我敢打赌你一定用各种方式使(nuè)用(dài)过 Grid。不知你有没有在此过程中看到过 Grid 那些匪夷所思的布局结果呢?
本文将带你来看看 Grid 布局中的 Bug。
无限空间下的比例
先上一段代码,直接复制到你的试验项目中运行:
<Canvas>
<Grid Height="100">
<Grid.ColumnDefinitions>
<ColumnDefinition Width="100" />
<ColumnDefinition Width="*" />
<ColumnDefinition Width="2*" />
</Grid.ColumnDefinitions>
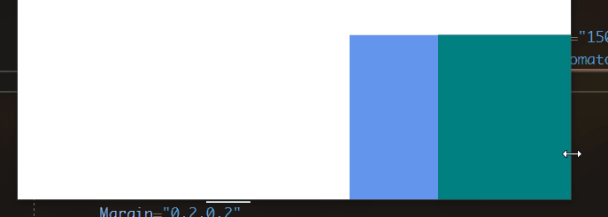
<Border Grid.Column="0" Background="CornflowerBlue" Width="150" />
<Border Grid.Column="1" Background="Tomato" Width="150" />
<Border Grid.Column="2" Background="Teal" Width="150" />
</Grid>
</Canvas>
第一列固定 100,第二列占 1 个比例的 *,第三列占 2 个比例的 *。你觉得最终的效果中,第二个 Border 和第三个 Border 的可见尺寸分别是多少呢?
按
下
F5
运
行
看
看
结
果

预料到了吗?虽然第二列和第三列的比例是 1:2,但最终的可见比例却是 1:1。
这里是有破绽的,因为你可能会怀疑第三列其实已经是第二列的两倍,只是右侧是空白,看不出来。那么现在,我们去掉 Canvas,改用在父 Grid 中右对齐,也就是如下代码:
<Grid HorizontalAlignment="Right">
<Grid.ColumnDefinitions>
<ColumnDefinition Width="100" />
<ColumnDefinition Width="*" />
<ColumnDefinition Width="2*" />
</Grid.ColumnDefinitions>
<Border Grid.Column="0" Background="CornflowerBlue" Width="150" />
<Border Grid.Column="1" Background="Tomato" Width="150" />
<Border Grid.Column="2" Background="Teal" Width="150" />
</Grid>
运行后,你会发现最右侧是没有空白的,也就是说第二列和第三列确实不存在 1:2 的比例——它们是等宽的。

那么那一段失去的空间去哪里了呢?让我们缩小窗口:

竟然在左侧还有剩余空间的情况下,右侧就开始压缩元素空间了!我们能说那段丢失的一个 * 长度的空白到左边去了吗?显然不能。
不过,我们能够猜测,压缩右侧元素开始于最小 1:2 的比例正好不足时出现。
刚好不够分的比例
右对齐能够帮助我们区分右侧是否真的占有空间。那么我们继续右对齐做试验。
现在,我们将第二列的 Border 做成跨第二和第三两列的元素。第三列的 Border 放到第二列中。(也就是说,我们第三列不放元素了。)
<Grid HorizontalAlignment="Right">
<Grid.ColumnDefinitions>
<ColumnDefinition Width="100" />
<ColumnDefinition Width="*" />
<ColumnDefinition Width="2*" />
</Grid.ColumnDefinitions>
<Border Grid.Column="0" Background="CornflowerBlue" Width="150" />
<Border Grid.Column="1" Grid.ColumnSpan="2" Background="Tomato" Width="150" />
<Border Grid.Column="1" Background="Teal" Width="150" />
</Grid>
运行看看,在得知前一节现象的情况下,新的现象并没有出现多大的意外。第三列凭空消失,第二列与之之间依然失去了 1:2 的比例关系。

然而,我们还可以缩小窗口。
缩
小
窗
口
后
竟
然

为什么在缩小窗口的时候突然间出现了那个红色的 Border?为什么在红色 Border 的右边还留有空白?
如果说第一节中我们认识到右对齐时右边剩余的空白空间会丢掉,那么为什么此时右边剩余的空白空间会突然出现?
我试着稍微增加第二个 Border 的宽度,突然间,刚刚缩小窗口时的行为也能复现!

自动尺寸也能玩比例
现在,我们抛弃之前的右对齐测试方法,也不再使用预期按比例划分空间的 *。我们使用 Auto 来实现比例功能。
<Grid>
<Grid.ColumnDefinitions>
<ColumnDefinition Width="Auto" />
<ColumnDefinition Width="Auto" />
<ColumnDefinition Width="Auto" />
</Grid.ColumnDefinitions>
<Border Width="159" Grid.ColumnSpan="3" HorizontalAlignment="Center" Background="PaleGreen" />
<Border Width="28" HorizontalAlignment="Left" Background="#7FFF6347" />
<Border Width="51" Grid.Column="1" HorizontalAlignment="Center" Background="#7FC71585" />
<Border Width="28" Grid.Column="2" HorizontalAlignment="Right" Background="#7F008080" />
</Grid>
具体说来,我们有四个 Border 了,放在 Auto 尺寸的三列中。第一个 Border 横跨三列,尺寸比其他总和都长,达到了 159;剩下的三个 Border 各占一列,其中两边等长,中间稍长。

那么实际布局中各列是怎么分的呢?以下是设计器为我们显示的列宽:

46、69、46 是怎么来的?莫非是 46:69 与 28:51 相同?然而实际计算结果却并不是!
可万一这是计算误差呢?
那么我们再来看看三个 Border 的另外两组值:50:50:50 和 25:50:25。

▲ 50:50:50

▲ 25:50:25
50:50:50 最终得到的是相同比例,但是 25:50:25 得到的列宽比例与 1:2 相去甚远。也就是说,其实 Grid 内部并没有按照元素所需的尺寸来按比例计算列宽。
相同比例也能有不同尺寸
在上一节的试验中,不管比例如何,至少相同的设置尺寸带来了相同的最终可见尺寸。然而,就算是这一点,也是能被颠覆的。
现在,我们将 3 列换成 4 列,Border 数量换成 6 个。
<Grid>
<Grid.ColumnDefinitions>
<ColumnDefinition Width="Auto" />
<ColumnDefinition Width="Auto" />
<ColumnDefinition Width="Auto" />
<ColumnDefinition Width="Auto" />
</Grid.ColumnDefinitions>
<Border Width="159" Grid.ColumnSpan="3" HorizontalAlignment="Center" Background="PaleGreen" />
<Border Width="159" Grid.Column="1" Grid.ColumnSpan="3" HorizontalAlignment="Center" Background="PaleGreen" />
<Border Width="28" HorizontalAlignment="Left" Background="#7FFF6347" />
<Border Width="51" Grid.Column="1" HorizontalAlignment="Center" Background="#7FC71585" />
<Border Width="51" Grid.Column="2" HorizontalAlignment="Center" Background="#7FC71585" />
<Border Width="28" Grid.Column="3" HorizontalAlignment="Right" Background="#7F008080" />
</Grid>
具体来说,第一个 Border 跨前三列,第二个 Border 跨后三列,跟前一节的长 Border 一样长。第三和第六个 Border 分在两边,与之前的短 Border 一样短。中间的两个 Border 与之前中间的 Border 一样长。就像下图所示的这样。

那么此时布局出来的列宽是多少呢?

▲ 32:65:65:39
等等!那个 39 是怎么来的?如果前一节里相等尺寸的 Border 会得到相等尺寸的列宽,那么这里也将颠覆!事实上,即便此时列宽比例与元素所需比例一致,在这种布局下也是有无穷多个解的。WPF 只是从这无穷多个解中挑选了一个出来——而且,还无法解释!
总结 Grid 未定义的规则
总而言之,言而总之,Grid 布局在特殊情况下是有一些不合常理的。我称之为“未定义的规则”。这些未定义的规则总结起来有以下三点:
- 在无穷大布局空间时的 * 的比例
- 在跨多列布局时 * 的比例
- 在全 Auto 尺寸时各列尺寸
不过你也可能会吐槽我的用法不对,可是,作为一个连表现行为都公开的 API,其行为也是 API 的一部分,应该具有明确可追溯可文档化的行为;而不是由用户去探索,最终无法猜测可发生事情的行为。
微软没有任何官方文档公开了这些诡异的行为,我也没有在任何第三方资料中找到这样的行为(这些都是我自己总结的)。我认为,微软没有为此公开文档是因为行为太过诡异,无法编写成文档!
你可能还会质疑,可以去 Reference Source 查阅 Grid 布局的源码,那样就能解释这些诡异的行为了。确实如此,那里是这一切诡异布局背后的罪魁祸首。
我阅读过 Grid 的布局源码,但没能全部理解,而且在阅读的过程中发现了一些微软官方承认的 Bug(我也没有能力去解决它)。
不过,我整整三天的时间写了一个全新的 Grid 布局算法(感谢 @林德熙 抽出时间跟我探讨 Grid 的布局算法)。在新的算法中,对于微软公开的 Grid 布局行为,我跟它的表现是一样的。对于本文中提到的各种 Bug,我找不到手段实现跟它一模一样的布局结果,但是,我可以文档化地完全确定 Grid 整个布局的所有行为。包括以上所有我认为的“未定义的规则”。
新 Grid 布局算法的源码在 GitHub 上,我提交给了 Avalonia:A new grid layout algorithm to improve performance and fix some bugs by walterlv · Pull Request #1517 · AvaloniaUI/Avalonia。
本文通过实验揭示了WPF Grid布局中一些违反直觉的现象,包括无限空间下的比例分配、跨列布局的比例失真以及自动尺寸下的比例计算等问题。
1509

被折叠的 条评论
为什么被折叠?



