

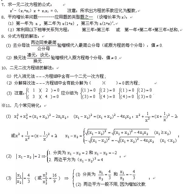
1. 一元二次方程的一般形式: a≠0时,ax2+bx+c=0叫一元二次方程的一般形式,研究一元二次方程的有关问题时,多数习题要先化为一般形式,目的是确定一般形式中的a、 b、 c; 其中a 、 b,、c可能是具体数,也可能是含待定字母或特定式子的代数式。2. 一元二次方程的解法: 一元二次方程的四种解法要求灵活运用, 其中直接开平方法虽然简单,但是适用范围较小;公式法虽然适用范围大,但计算较繁,易发生计算错误;因式分解法适用范围较大,且计算简便,是方法,配方法使用较少。3. 一元二次方程根的判别式: 当ax2+bx+c=0 (a≠0)时,Δ=b2-4ac 叫一元二次方程根的判别式.请注意以下等价命题: Δ>0 <=> 有两个不等的实根; Δ=0 <=> 有两个相等的实根; Δ<0 <=> 无实根; Δ≥0 <=> 有两个实根(等或不等)。4. 一元二次方程的根系关系: 当ax2+bx+c=0 (a≠0) 时,如Δ≥0,有下列公式:


|标签:中考数学 备战中考
|更多内容请关注微信公众号平台:中考数学,ID:zksx100
|声明:文章综合来自网络,版权归原作者所有,如有侵权请联系小编删除
------中考数学------
激发兴趣 成就高分


戳

被折叠的 条评论
为什么被折叠?



